相关产品推荐更多 >
万千商家帮你免费找货
0 人在求购买到急需产品
- 详细信息
- 询价记录
- 文献和实验
- 技术资料
- 库存:
大量
- 英文名:
JC-1
- CAS号:
3520-43-2
- 保质期:
有效期1年
- 供应商:
翌圣生物科技(上海)股份有限公司
- 保存条件:
-20℃保存
- 规格:
1mg
产品信息
| 产品名称 |
产品编号 |
规格 |
外观 |
储存 |
价格(元) |
| JC-1 线粒体膜电位荧光探针 |
40705ES03 |
1 mg (5 mg/mL) |
溶液 |
-20℃避光保存 |
615.00 |
| JC-1 线粒体膜电位荧光探针 |
40705ES08 |
5 mg |
红褐色粉末 |
-20℃避光保存 |
2450.00 |
产品描述
JC-1 是一种广泛用于检测线粒体膜电△Ψm位的理想荧光探针。JC-1染料以电势依赖性的方式积聚在线粒体内,可以用来检测细胞、组织或纯化的线粒体膜电位。正常线粒体内,JC-1聚集在线粒体基质中形成聚合物,聚合物发出强烈的红色荧光(Ex=585 nm, Em=590 nm);不健康的线粒体由于膜电位的下降或丧失,JC-1只能以单体的形式存在于胞浆中,产生绿色荧光(Ex=514 nm, Em=529 nm)。JC-1不仅可用于定性检测,因颜色的变化可以非常直接的反映出线粒体膜电位的变化。也可以用于定量检测,因线粒体的去极化程度可以通过红/绿荧光强度的比例来衡量。观察时,只需使用常规的观察红色荧光和绿色荧光的设置即可。
JC-1 用于检测细胞的线粒体膜电位时常用的浓度范围为 1~20 µg/mL,对于很多细胞适宜采用的 JC-1浓度为 10 µg/mL。
产品性质

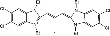
| 化学名称(Chemical name) |
5,5‘,6,6’-Tetrachloro-1,1‘,3,3’-tetraethylbenzimidazolylcarbocyanine iodide |
| CAS号(CAS NO.) |
3520-43-2 |
| 分子式(Formula) |
C25H27Cl4IN4 |
| 分子量(Molecular Weight) |
652.23 |
| 纯度(Purity) |
>95%(HPLC) |
| 外观(Appearance) |
红褐色粉末 |
| 溶解性(Solubility) |
溶于DMSO和DMF,不溶于水 |
| 荧光光谱 (Fluorescent spectrum) |
单体形式(monomer form):Ex=514 nm, Em=529 nm 聚合物形式(J-aggregate form):Ex=585 nm, Em=590 nm |
| 结构式 |
|
运输与保存方法
冰袋(wet ice)运输。
粉末-20℃干燥避光保存,至少一年有效。储存液分装成单次使用量,-20℃干燥避光保存,避免反复冻融,约一年有效。
使用方法
1. 工作液配制:
1)JC-1粉末(5 mg):直接加1 mL DMSO到粉末内,室温颠倒混匀使其充分溶解,即得到5 mg/mL的储存液。溶液分装成小量储存于-20℃,避光干燥,避免反复冻融。
2)JC-1储存液(1 mg in DMSO):本品是JC-1的DMSO储存液,浓度为5 mg/mL。使用者需要根据单次用量来分装,-20℃避光干燥,避免反复冻融。
3)工作液配制:将冻存的储存液置于室温充分融化,之后用缓冲液或者预热的培养基直接稀释储存液(5 mg/mL)到需要的工作液浓度,边震荡边稀释,充分混匀。为了去除任何不溶颗粒,建议13,000 x g离心JC-1工作液1 min,小心吸取上清转移到新的管子内。整个过程要避光操作。注意:因JC-1不溶于水,很可能在稀释到工作液的过程中形成聚集颗粒,则建议细胞染色前用离心或者过滤的方法去除这些颗粒后再使用。
2. JC-1染色步骤(流式细胞仪)
1)于6-,12或24-孔板上进行细胞铺板,密度为5×105 cells/mL。37℃,5%CO2培养箱培养过夜。选择合适的化合物根据特定的步骤进行凋亡诱导。 注:进行凋亡诱导时的细胞密度建议不超过1×106 cells/mL,也可根据自己的细胞类型培养至合适的密度。
2)取0.5 mL细胞悬液至无菌的离心管内;
3)室温条件400 x g离心5 min;吸掉上清。
4)用0.5 mL JC-1工作液重悬细胞,于37℃,5%CO2培养箱孵育15-30 min;注意:一般情况,15 min足以进行充分的染色。
5)室温条件400 x g离心5 min;吸掉上清;
6)用2 mL细胞培养液或者缓冲液重悬细胞,之后室温条件400 x g离心5 min;吸掉上清;
7)重复步骤6);
8)用0.5 mL新鲜培养液或者缓冲液重悬细胞,即可进行后续的流式分析。注意:请马上进行流式定量分析,此细节很重要。
数据分析:含有红色JC-1聚集物的健康细胞线粒体用FL2通道检测;含有绿色JC-1单体的凋亡或不健康细胞用FL1(FITC)通道检测。
3. JC-1染色步骤(荧光显微镜)
A. 悬浮细胞
1)-6)同上JC-1染色步骤(流式细胞仪);
7)用0.3 mL的缓冲液重悬细胞,即可进行荧光显微镜检测。注意:请马上进行荧光显微分析,此细节重要。
数据分析:使用可同时检测荧光素fluorescein/罗丹明或者荧光素fluorescein/Texas Red™的双带带通滤波器进行检测。未凋亡的活细胞因JC-1聚集后线粒体呈红色,最大发射波长为590 nm。凋亡和坏死细胞染料一直以单体形式存在,线粒体呈现绿色。最大发射波长为530 nm。
B. 贴壁细胞
1)培养皿内用盖玻片进行细胞爬片或者细胞培养在腔室玻片(chamber slide)上。选择合适的化合物根据特定的步骤进行凋亡诱导。
2)染色前开始配制JC-1工作液,配制步骤见上。
3) 吸掉细胞培养液,然后加入足够覆盖所有细胞的JC-1工作液。于37℃,5%CO2培养箱孵育15-30 min;注意:一般情况,15 min足以进行充分的染色。
4)吸掉培养液,然后用合适的缓冲液来清洗细胞2次。
5)加入2 mL细胞培养液(培养液可含有血清和酚红)或者PBS缓冲液,于荧光显微镜或者共聚焦显微镜下观察。数据分析同A. 悬浮细胞。
4. JC-1染色步骤(荧光酶标仪)
1)-7)同上JC-1染色步骤(流式细胞仪);
9)用300 μL缓冲液重悬细胞;然后按照每孔100 μL的量将染色好的细胞转移到黑色的96孔板内,即可进行荧光酶标板分析。注意:请马上进行荧光显微分析,此细节重要。
数据分析:健康细胞内,JC-1单体聚集形成聚合物,线粒体呈现强烈的红色荧光(激发波长550 nm, 发射波长600 nm)。凋亡或坏死细胞内JC-1以单体形式存在,线粒体呈强烈的绿色荧光(激发波长485 nm, 发射波长535 nm)。然后计算红色荧光信号与绿色荧光信号的比值,用来判断细胞健康程度。
注意事项
1)JC-1是光敏感性的,所有染色步骤的操作过程中避免强光接触。
2)JC-1染色完成后,立即进行后续的结果分析非常必要;
3)为了您的安全和健康,请穿实验服并戴一次性手套操作。
风险提示:丁香通仅作为第三方平台,为商家信息发布提供平台空间。用户咨询产品时请注意保护个人信息及财产安全,合理判断,谨慎选购商品,商家和用户对交易行为负责。对于医疗器械类产品,请先查证核实企业经营资质和医疗器械产品注册证情况。
- 作者
- 内容
- 询问日期
文献和实验一、线粒体膜电位检测原理 线粒体膜电位下降是细胞凋亡早期的标志性事件,发生在细胞核凋亡特征(染色质浓缩、DNA断裂)出现之前,一旦线粒体膜电位崩溃,细胞凋亡便不可逆转。 JC-1是一种广泛用于检测线粒体膜电位∆Ψm的理想荧光探针,可以检测细胞、组织或纯化的线粒体膜电位。JC-1有单体和多聚体两种存在状态,两者发射光谱不同。在正常细胞内,线粒体膜电位较高,JC-1聚集在线粒体的基质中,形成聚合物,可产生红色荧光;凋亡早期,线粒体膜电位降低,JC-1不能聚集在线粒体基质中,此时JC-1为单体
线粒体荧光探针大全:TMRM,Mitotracker,JC-1
线粒体荧光探针信息大全 (Probes for Mitochondria)包括各种常用探针,如JC-1,JC-9,TMRM,TMRE等 Mitochondria are found in eukaryotic cells, where they make up as much as 10% of the cell volume. They are pleomorphic organelles with structural variations depending on cell type
染料的浓度,引起假去极化。荧光探针JC-1是一种阳离子型的亲脂性染料,能够自由穿过细胞膜,随细胞膜电位的变化而在膜两侧保持动态平衡。其特点是线粒体膜电位低时浓度低,主要以单体形式存在,488nm激发时最大发射波长为527nm,呈绿色荧光,胞浆相对线粒体为低电位,形成流式图中所有细胞FL1均为阳性;膜电位高时浓度高形成聚集体,488nm激发时的最大发射波长为590nm,红色荧光。活细胞线粒体膜电位高,线粒体内JC-1聚集体的浓度高,红色荧光很强,在流式图上表现为FL1和FL2双阳性,而凋亡细胞则大多













