相关产品推荐更多 >
万千商家帮你免费找货
0 人在求购买到急需产品
- 详细信息
- 询价记录
- 文献和实验
- 技术资料
- 保存条件:
-20℃
- 保质期:
6个月
- 英文名:
Intracellular calcium fluorescence probe
- 库存:
708
- 供应商:
北京百奥莱博科技有限公司
特别声明:本产品及我公司所售其他产品均为科研类试剂产品,严禁用于药物、医疗及其他非科研用途。
细胞内钙离子荧光探针(Fluo-4 AM) 探针标记及检测由专业试剂供应商北京百奥莱博提供,用于科研目的生化试验项目,本产品质量好,且极具价格优势,深为用户称道,了解更多细胞内钙离子荧光探针(Fluo-4 AM)等探针标记及检测产品请联系我司咨询订购。
名称:细胞内钙离子荧光探针(Fluo-4 AM) 探针标记及检测
品牌:百奥莱博
英文名:Intracellular calcium fluorescence probe
规格:25微升
编号:YT948
本品是最常用的检测细胞内钙离子浓度的荧光探针之一.用于细胞内钙离子检测时,Fluo-4 AM的常用浓度为0.5-5μM。通常用含有0.5-5μM的Fluo-4 AM的适当溶液和细胞一起在20-37℃孵育10-60分钟进行荧光探针装载,随后适当洗涤,洗涤后可以考虑适当再孵育20-30分钟以确保Fluo-4 AM在细胞内充分转变成Fluo-4。本Fluo-4 AM(钙离子荧光探针) 是配制于无水DMSO (anhydrous DMSO)中的储存母液,浓度为2mM。
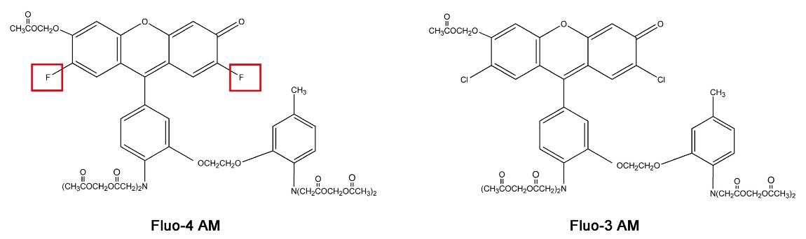
分子式:C51H50F2N2O23
分子量:1096.95
Fluo-4 AM在Fluo-3 AM的基础上改进而成,其特点是加载更快并且在相同条件下荧光更加明亮。Fluo-4 AM将Fluo-3 AM结构中的氯原子替换成了氟原子,导致它的最大激发波长会向短波长处偏离12nm左右。这个波长更接近于氩激光器的波长488nm,所以用氩激光器激发时,Fluo-4的荧光强度会比Fluo-3强一倍。由于Fluo-4与钙离子的亲和力和Fluo-3相近,所以使用上和Fluo-3也基本相同,可以使用激光共聚焦显微镜、荧光酶标仪等荧光检测仪器来测定细胞内钙离子浓度的变化。Fluo-4 AM和Fluo-3 AM的结构式参考下图。

Fluo-4 AM是Fluo-4的乙酰甲酯衍生物,是一种可以穿透细胞膜的荧光染料。Fluo-4 AM的荧光非常弱,其荧光不会随钙离子浓度升高而增强。Fluo-4 AM进入细胞后可以被细胞内的酯酶剪切形成Fluo-4,从而被滞留在细胞内。Fluo-4可以和钙离子结合,结合钙离子后可以产生较强的荧光,最大激发波长为494nm,最大发射波长为516nm。实际检测时推荐使用的激发波长为488nm左右,发射波长为512-520nm。Fluo-4的激发光谱和发射光谱参考下图。

注意事项:
1. Fluo-4 AM遇水极易分解,建议第一次使用时,母液分装并密封保存,同时注意保持干燥。
2. Fluo-4 AM在4℃、冰浴等较低温度情况下会凝固而粘在离心管管底、管壁或管盖内,可以20-25℃水浴温育片刻至全部融解后使用。
3. 探针的工作浓度、细胞量、孵育温度和时间等需要根据不同实验预先摸索。
4. 荧光染料均存在淬灭问题,请尽量注意避光,以减缓荧光淬灭。
储存条件:-20℃,有效期6个月。
欲了解更多细胞内钙离子荧光探针(Fluo-4 AM) 探针标记及检测的品牌、产地、价格及说明书等产品信息,请致电北京百奥莱博科技有限公司,我们将竭诚为您服务,另外,以下产品正在火爆促销:
·乙醇脱氢酶
编号:YT538
英文名称:Alcohol Dehydrogenase (Crude Enzyme)
规格:100ml|1L
本酶为大肠杆菌表达的乙醇脱氢酶,并经简单纯化获得的可以确保达到一定酶活力的粗酶液,用于催化氧化伯醇和二级醇成为醛和酮
CAS:9028-12-0
酶促反应:an alcohol + NADP+ = an aldehyde + NADPH + H+
储存条件:-20℃,有效期1个月。
注意事项:
1. 由于本产品需新鲜制备,在您确认订购后约8个工作日才能发货。
2. 粗酶液的每次冻融均可能会引起部分失活,所以收到酶液后请根据需要进行分装,并置于-20℃或更低温度保存。
3. 随着保存时间的延长,酶活力会有一定程度的下降,收到产品后应尽快使用。
4. 本产品在生产和保存的过程中可能会有混浊或沉淀产生,融化后混匀即可,不影响正常使用。
细胞内钙离子荧光探针(Fluo-4 AM) 探针标记及检测关键词:Fluo-4 AM,YT948,Intracellular calcium fluorescence probe,细胞内钙离子荧光探针,细胞内钙离子荧光探针(Fluo-4 AM)
BTN3674 一管式病毒DNAOUT One-Tube Viral DNAOUT
分子筛5A型 N-P-K 69912-79-4
衣康酸 Trans-2-Hexenoic acid 97-65-4
甲酸钾 LAP 590-29-4
ARB10389 人可溶性E选择素(sE-selectIn)ELISA代测服务 Human soluble e-selectin,se-selectin ELISA KIT
L-酪氨酸二钠盐 Norfloxacin 69847-45-6
002000 无菌脱纤维绵羊血 100ml|500ml
5-胞苷三磷酸三钠盐 Acridine red 123334-07-6
ARB13497 鸡烟酰胺腺嘌呤二核苷酸磷酸(NADPH)定量分析 Chicken nicotinamide adenine dinucleotide phosphate,nadph ELISA KIT
ARB12437 大鼠骨钙素/骨谷氨酸蛋白(OT/BGP)酶标法分析 Rat osteocalcin/bone gla protein,ot/bgp ELISA KIT
亲和硅烷 Xylanase
甲基百里酚蓝 Cerous chloride 1945-77-3
ARB11554 人烟酰胺腺嘌呤二核苷酸磷酸(NADPH)Elisa定量检测
BTN131056 TCEP溶液 TCEP Solution
ARB10545 人半胱氨酸蛋白酶抑制剂/胱抑素C(Cys-C)ELISA代测服务 Human cystatin c,cys-c ELISA KIT
CYB163057 羊抗鸡IgG-FITC
458-37-7 Curcumin 姜黄素
ARB14054 猴载脂蛋白A1(Apo-A1)酶联免疫定量检测 Monkey apoprotein a1,apo-a1 ELISA KIT
细胞内钙离子荧光探针(Fluo-4 AM) 探针标记及检测关键词:Fluo-4 AM,YT948,Intracellular calcium fluorescence probe,细胞内钙离子荧光探针,细胞内钙离子荧光探针(Fluo-4 AM)
·C端EGFP标签融合蛋白质粒(绿色荧光蛋白)
编号:YT466
英文名称:C-EGFP plasmid(with CMV promoter)
规格:1μg
本质粒是哺乳动物细胞表达质粒,用于表达C端含EGFP(Enhanced GreenFluorescent Protein, 增强绿色荧光蛋白)标签的融合蛋白。该质粒含有CMV启动子,可以高效启动目的蛋白在细胞中的表达。在多克隆位点的后面有一个EGFP的完整编码序列,因此在多克隆位点根据阅读框插入目的基因就可以表达C端含有EGFP标签的融合蛋白。利用EGFP的荧光特性可以比较容易地观察融合蛋白的表达水平和细胞内定位,也可以利用EGFP抗体来检测或免疫沉淀融合蛋白。该质粒为卡那霉素抗性。转染细胞后,可以使用G418筛选稳定表达目的蛋白的细胞株。
本质粒的主要信息如下:
| Feature Nucleotide | Position |
| CMV promoter | 1-602 |
| T3 promoter and T3 primer binding site | 620-639 |
| Multiple cloning site | 651-740 |
| EGFP | 741-1460 |
| T7 promoter and T7 primer binding site | 1510-1531 |
| SV40 polyAsignal | 1543-1926 |
| f1 origin of ss-DNA replication | 2064-2370 |
| bla promoter | 2395-2519 |
| SV40 promoter | 2539-2877 |
| Neomycin/kanamycin resistance ORF | 2912-3703 |
| HSV-thymidine kinase (TK) polyA signal | 3704-4162 |
| pUC origin | 4291-4958 |
本质粒(5010bp)的图谱如下:
使用说明:
1. 首次使用时请先取少量本质粒转化大肠杆菌,进行质粒小量、中量或大量抽提后再用于后续用途。抽提获得的质粒可以通过酶切电泳进行鉴定,或通过测序进行鉴定。
2. 本质粒在其多克隆位点适当酶切后可以插入待表达的目的基因,构建的质粒可以用常规方法转染细胞。
储存条件:-20℃。
我公司正在优惠促销探针标记及检测等系列产品,期待您的咨询选购细胞内钙离子荧光探针(Fluo-4 AM) 探针标记及检测。
风险提示:丁香通仅作为第三方平台,为商家信息发布提供平台空间。用户咨询产品时请注意保护个人信息及财产安全,合理判断,谨慎选购商品,商家和用户对交易行为负责。对于医疗器械类产品,请先查证核实企业经营资质和医疗器械产品注册证情况。
- 作者
- 内容
- 询问日期
文献和实验清洗在三次,加2&;mu;m的Fluo-3/AM,避光,37度,30分钟 2。细胞负载后,用D&;rsquo;-HANKS清洗二次 3。在confocal上分析细胞内钙离子浓度
rongshenghao 加入激活剂或抑制剂后打算用Fura-2或者Fluo-3测量细胞内钙离子浓度 问: 1.Fura-2和Fluo-3区别? 2.测量的是游离钙还是总钙呀? 3.还有什么需要注意的? 谢了! 2010tiger Fura-2采用双波长检测,Fluo-3是单波长检测,Fura-2的激发波长是340nm和380nm,发射波长为510nm。Fluo-3的激发波长是506nm
wori1123 我的研究课题需要动态观察细胞内钙离子浓度,大概每隔10秒观察一次,想跟大虾们请教下怎么样能解决连续观察时温度的恒定问题,因为试了好多次都不行,谢谢 DarrenWONG 您要观察多久?几分钟?几小时? 用Fluo-4的Flexstation 或 Flipr (Molecular Devices公司)可以实时检测细胞钙流(比如加药后),可以控制温度、湿度,但是读出来的荧光信号,没有
技术资料暂无技术资料 索取技术资料










