相关产品推荐更多 >
万千商家帮你免费找货
0 人在求购买到急需产品
- 详细信息
- 技术资料
- 保存条件:
-20℃避光干燥,有
- 保质期:
一年
- 英文名:
DiO (DiOC18(3))
- 库存:
348
- 供应商:
北京百奥莱博科技有限公司
- 规格:
10mg
特别声明:本产品及我公司所售其他产品均为科研类试剂产品,严禁用于药物、医疗及其他非科研用途。
北京百奥莱博专业生产销售北京细胞膜绿色荧光探针哪里卖,我公司供应的分子生物学试剂品类齐全,且具有优势价格,欢迎新老客户垂询订购。
名称:北京细胞膜绿色荧光探针哪里卖
编号:SY0560
英文名:DiO (DiOC18(3))
品牌:百奥莱博
规格:10mg
DiO是一种亲脂性的荧光染料,可以用来染细胞膜和其它脂溶性生物结构。进入细胞膜后,DiO在整个细胞膜上扩散,最佳浓度时可以使整个细胞膜染色。DiO在进入细胞膜之前荧光非常弱,当与细胞膜结合后其荧光强度大大增强,被激发后可以发出绿色的荧光,具有很高的淬灭常数和激发态寿命。可以用标准的FITC滤光片检测。
DiO通常不会明显影响细胞的生存力,因此被广泛用于正向或逆向的,活的或固定的神经等细胞或组织的示踪剂或长期示踪剂(long-term tracer)。除了最简单的细胞膜荧光标记外,还可以用于检测细胞的融合和粘附,检测发育或移植过程中细胞迁移,通过FRAP(Fluorescence Recovery After Photobleaching)检测脂在细胞膜上的扩散,检测细胞毒性和标记脂蛋白等。
CAS :34215-57-1
分子式:C53H85ClN2O6
分子量:881.72
外观:橘色至红色固体
Ex/Em:484/501 nm
推荐滤光器:XF23-Omega, 31001-Chroma
纯度:>97%
溶解性:溶于DMF,DMSO,甲醇
储存条件:-20℃避光干燥,有效期一年。
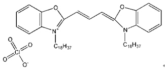
结构式

北京细胞膜绿色荧光探针哪里卖极具性价比,此外,我公司正火爆促销以下产品:
PY02-127 双料乳糖胆盐培养基 250克
ARB12704 大鼠糖原磷酸化酶同工酶Ⅱ(GP-Ⅱ)Elisa定量检测 Rat glycogen phosphorylase Ⅱ,gp-Ⅱ ELISA KIT
ARB11055 人苯丙氨酸(LPA)含量检测 Human l-phenylalanine,lpa ELISA KIT
ARB12180 大鼠白细胞介素16(IL-16)elisa测定使用说明书 Rat interleukin16,IL-16 ELISA KIT
F020114 兔抗人丙型肝炎病毒抗体 Polyclonal Rabbit Anti-HCV
SJ0613 UDP-glucose UDP-葡萄糖
BTN100819 MDS 42T7lac菌种 MDS 42T7lac Strain
002015 肝素钠抗凝兔血 100ml|500ml
ARB11678 人超氧化物歧化酶(SOD)酶免分析 Human super oxidase dimutase,sod ELISA KIT
ARB12434 大鼠骨形成蛋白(BMPs)ELISA检测服务 Rat bone morphogenetic proteins,bmps ELISA KIT
BL0807 HRP标记羊抗人IgG抗体
ARB10877 人抗胶原蛋白抗体(CLA)酶免分析 Human collagen autoantibody,cla ELISA KIT
ARB10835 人抗纺锤体抗体(MSA)Elisa方法检测 Human mitotic spindle appaRatus antibody,msa ELISA KIT
ARB11232 人细胞毒素相关蛋白A(CAgA)Elisa分析 Human cytotoxin-associated protein,caga ELISA KIT
CYB161025 小鼠IgG(液体-pH7.2PBS)
BL0843 羊抗大鼠IgG纯化抗体
BTN120720 柱式冻存血液DNAOUT Column Frozen Blood DNAOUT
直链淀粉 Sodium DL-lactate 9005-82-7
北京细胞膜绿色荧光探针哪里卖关键词:DiO (DiOC18(3)),细胞膜绿色荧光探针,SY0560
·VDR萤火虫荧光素酶报告基因质粒
编号:SY0060
英文名称:VDR(Vitamin D Receptor) luciferase reporter plasmid
规格:1μg
VDR-Luc荧光素酶报告基因(报告基因质粒)(VDR luciferase reporter plasmid)用于检测VDR转录活性水平为目的的报告基因。VDR(Vitamin D Receptor)在本质上是类固醇受体超家族的成员之一。它在维持机体钙、磷代谢,调节细胞增殖、分化等方面起重要作用,已成为近年骨和内发泌学领域研究的焦点。
VDR报告基因主要应用于检测细胞中VDR的转录活性、药物研究以及基因过表达和RNAi的表型分析等。
pGMVDR-Lu是改造后的哺乳动物真核表达载体,在其多克隆位点插入了多个VDR结合位点,可以高灵敏度地检测VDR的激活水平。同时,对载体中预测出的其它转录因子以外的结合位点进行了适当的突变,增加了质粒的转录因子结合特异性。另外,由于质粒体积减小,使得VDR报告基因质粒更易于转染。
质粒图谱

注意事项
本质粒未经我公司允许不得用于任何商业用途,也不得移交给订货人实验室以外的任何人或单位。
为了您的健康,实验操作时请穿实验服和带一次性手套。
使用说明
pGMVDR-Lu可以采用常规转染方法转染哺乳动物细胞。用荧光素酶检测试剂盒或双荧光素酶检测试剂盒进行检测。
储存条件:-20℃。
北京细胞膜绿色荧光探针哪里卖关键词:DiO (DiOC18(3)),细胞膜绿色荧光探针,SY0560
·V5 Tag多肽
编号:SY0425
英文名称:V5 Tag Peptide
规格:5mg
V5 Tag多肽(V5 Tag Peptide)是一种合成的多肽,这是一种从猴副流感病毒5(simian virus 5,SV5)的P和V蛋白中分离得到的由14个氨基酸组成的多肽。在免疫分析实验中,V5 Tag多肽与V5融合蛋白竞争性结合anti-V5抗体,V5 Tag多肽与抗体的结合是特异性的,因此,V5 Tag多肽是一种温和的、理想试剂可用于洗脱V5-tag融合蛋白。用于洗脱V5-tag融合蛋白时,V5 Tag多肽的推荐工作浓度是100-400μg/ml。
多肽序列(Amino acid sequence):H-Gly-Lys-Pro-Ile-Pro-Asn-Pro-Leu-Leu-Gly-Leu-Asp-Ser-Thr-OH
分子式:C64H108N16O20
分子量:1421.64
外观:白色粉末
纯度:>99%
溶解性:溶于水或1%醋酸
储存条件:-20℃,有效期1年
我公司正在打折促销探针标记及检测全系列产品,恭候您的咨询选购北京细胞膜绿色荧光探针哪里卖。
风险提示:丁香通仅作为第三方平台,为商家信息发布提供平台空间。用户咨询产品时请注意保护个人信息及财产安全,合理判断,谨慎选购商品,商家和用户对交易行为负责。对于医疗器械类产品,请先查证核实企业经营资质和医疗器械产品注册证情况。
技术资料暂无技术资料 索取技术资料









