相关产品推荐更多 >
万千商家帮你免费找货
0 人在求购买到急需产品
- 详细信息
- 文献和实验
- 技术资料
- 保存条件:
-20℃
- 保质期:
6个月
- 英文名:
Intracellular calcium fluorescence probe
- 库存:
679
- 供应商:
北京百奥莱博科技有限公司
- 规格:
25微升
特别声明:本产品及我公司所售其他产品均为科研类试剂产品,严禁用于药物、医疗及其他非科研用途。
北京百奥莱博专注于生命科学和生物技术领域,致力于为客户提供包括细胞内钙离子荧光探针(Fluo-4 AM)现货在内的一系列分子生物学试剂产品,并提供一系列相关的技术服务。
名称:细胞内钙离子荧光探针(Fluo-4 AM)现货
品牌:百奥莱博
产地:国产|进口
英文名:Intracellular calcium fluorescence probe
编号:YT948
本品是最常用的检测细胞内钙离子浓度的荧光探针之一.用于细胞内钙离子检测时,Fluo-4 AM的常用浓度为0.5-5μM。通常用含有0.5-5μM的Fluo-4 AM的适当溶液和细胞一起在20-37℃孵育10-60分钟进行荧光探针装载,随后适当洗涤,洗涤后可以考虑适当再孵育20-30分钟以确保Fluo-4 AM在细胞内充分转变成Fluo-4。本Fluo-4 AM(钙离子荧光探针) 是配制于无水DMSO (anhydrous DMSO)中的储存母液,浓度为2mM。
分子式:C51H50F2N2O23
分子量:1096.95
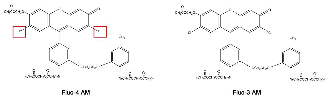
Fluo-4 AM在Fluo-3 AM的基础上改进而成,其特点是加载更快并且在相同条件下荧光更加明亮。Fluo-4 AM将Fluo-3 AM结构中的氯原子替换成了氟原子,导致它的最大激发波长会向短波长处偏离12nm左右。这个波长更接近于氩激光器的波长488nm,所以用氩激光器激发时,Fluo-4的荧光强度会比Fluo-3强一倍。由于Fluo-4与钙离子的亲和力和Fluo-3相近,所以使用上和Fluo-3也基本相同,可以使用激光共聚焦显微镜、荧光酶标仪等荧光检测仪器来测定细胞内钙离子浓度的变化。Fluo-4 AM和Fluo-3 AM的结构式参考下图。

Fluo-4 AM是Fluo-4的乙酰甲酯衍生物,是一种可以穿透细胞膜的荧光染料。Fluo-4 AM的荧光非常弱,其荧光不会随钙离子浓度升高而增强。Fluo-4 AM进入细胞后可以被细胞内的酯酶剪切形成Fluo-4,从而被滞留在细胞内。Fluo-4可以和钙离子结合,结合钙离子后可以产生较强的荧光,最大激发波长为494nm,最大发射波长为516nm。实际检测时推荐使用的激发波长为488nm左右,发射波长为512-520nm。Fluo-4的激发光谱和发射光谱参考下图。

注意事项:
1. Fluo-4 AM遇水极易分解,建议第一次使用时,母液分装并密封保存,同时注意保持干燥。
2. Fluo-4 AM在4℃、冰浴等较低温度情况下会凝固而粘在离心管管底、管壁或管盖内,可以20-25℃水浴温育片刻至全部融解后使用。
3. 探针的工作浓度、细胞量、孵育温度和时间等需要根据不同实验预先摸索。
4. 荧光染料均存在淬灭问题,请尽量注意避光,以减缓荧光淬灭。
储存条件:-20℃,有效期6个月。
想要了解更多关于细胞内钙离子荧光探针(Fluo-4 AM)现货的价格、品牌、厂家、说明书、促销信息,请和我们联系。此外我公司还销售下面的产品:
·封闭液(用TBS配置,不含去垢剂)
编号:YT874
英文名称:Blocking Buffer(TBS)
规格:100ml
本品是最新一代的快速高效封闭液,总体效果显著优于传统的基于BSA(牛血清白蛋白)、脱脂奶粉、酪蛋白(Casein)等的封闭液及国外同类产品,可以用于Western blot (WB)、Immunofluorescence (IF)、Immunohistochemistry (IHC)、Immunocytochemitry (IC) 等实验中的封闭、一抗或二抗的稀释。本产品配制在TBS中,不含去垢剂。 按照每张膜封闭需要5-10ml封闭液计算,一个包装的本产品 可以封闭10-20张膜。
本封闭液快速高效。封闭时间通常仅需5-15分钟,并且和BSA、脱脂奶粉、酪蛋白等传统封闭液以及国外同类的快速 封闭液相比,显示出更强的信噪比(参考下图)。
本封闭液封闭后背景极低。本封闭液不含血清和白蛋白,确保极高的信噪比。
本封闭液兼容性好,兼容辣根过氧化物酶、碱性磷酸酶和生物素标记的二抗。本产品中添加了不影响HRP和AP活性的防腐剂,不会干扰HRP或AP标记二抗的检测。同时本产品不含生物素,不会干扰基于生物素的检测。
本封闭液使用灵活。本产品配制在TBS中,可以直接用于相关实验,但也可以根据实验需要自行添加Tween-20或Triton X-100 至终浓度为0.05%-0.1%后用于封闭、一抗或二抗的稀释。
本产品与BSA及国外同类产品的封闭效果对比参见下图。在相同样品和实验条件下,仅封闭液及封闭时间存在如下图所示的差异时,我公司的本封闭液封闭后的整体背景明显低于BSA封闭后的背景,而且目的条带亮度明显高于国外同类品牌产品。

每组实验从左到右依次为:5μl蛋白Marker,2.5μg蛋白量的HeLa细胞裂解液,5μg蛋白量的HeLa细胞裂解液。请注意对于抗体A,本封闭液比BSA和国外同类产品具有更低 的背景,并且和国外同类产品相比信号明显更强。对于抗体B,本封闭液比BSA具有更低的背景,和国外同类产品相比信号明显更强。实际实验结果会因样品、抗体、实验条件等的不同而存在差异,图中数据仅供参考。
注意事项:
1. 本产品推荐仅使用一次,重复使用可能会导致封闭效果下降。但对于一些信噪比很高的一抗,例如一些内参抗体,本封闭液可以重复使用2-3次。回收的封闭液请勿与未使用 过的封闭液混合。
2. 通常本产品用于PVDF膜及NC膜时的封闭时间为5-15分钟。对于一些背景非常高的抗体,可以尝试将封闭时间延长为30-60分钟。此外,如有特殊需要,也 完全可以4℃封闭过夜。
3. 由于没有任何一种封闭液是适用于所有实验体系的,因此对于一些特殊的实验,可能需要根据具体情况考虑使用其它更合适的封闭液。
4. 取放PVDF膜和NC膜应使用平头镊子,并仅轻轻夹取其边角,操作过程须避免膜表面产生划痕、折痕或压痕等痕迹。
5. PVDF膜一经浸润和活化,需一直保持湿润,根据Western进行到的具体步骤可放置于western转膜液或洗涤液等适当溶液中,否则可能会产生难以封闭的异 常背景。
6. 在背景较高的情况下,为进一步提高信噪比,本产品中可以自行添加Tween-20或Triton X-100至终浓度为0.05%-0.1%。
储存条件:4℃,有效期一年。
细胞内钙离子荧光探针(Fluo-4 AM)现货关键词:细胞内钙离子荧光探,YT948,Fluo-4 AM,Intracellular calcium fluorescence probe,细胞内钙离子荧光探针(Fluo-4 AM)
BL1149 10×DNA上样缓冲液
SJ0818 水合茚三酮
ARB10291 人山梨醇脱氢酶(SDH)免费代测 Human sorbitol dehydrogenase,sdh ELISA KIT
ARB13213 小鼠凋亡诱导因子(AIF)Elisa定量检测 Mouse apoptosis inducing factor,aif ELISA KIT
F030830 BIOTIN标记兔抗人IgG抗体 Rabbit Anti-Human IgG*BIOTIN
ARB13116 小鼠钙通道阻滞剂(CCB)尿液中含量检测 Mouse calcium channel blockers,ccb ELISA KIT
PY01-030 胰酶粉(1:3500) 250|100克
左氧氟沙星 2,6-Di-O-methyl-β-cyclodextrin 100986-85-4
ARB10086 人CXC趋化因子配体16(CXCL16)Elisa分析 Human cxc-chemokine ligand 16,cxcl16 ELISA KIT
ARB13470 鸡免疫球蛋白G(IgG)含量分析 Chicken immunoglobulin g,IgG ELISA KIT
PP0201 Bradford法蛋白定量试剂盒
ARB13196 小鼠脂氧素(LXA4)免费代测
F030833 BIOTIN标记山羊抗人IgG(H+L)抗体 Polyclonal Goat Anti-Human IgG*BIOTIN
PY06-008 弧菌显色培养基 1000ml,用于弧菌属细菌的快速分离与鉴别
ARB12021 大鼠β2微球蛋白(BMG/β2-MG)elisa测定使用说明书 Rat β2-microglobulin,bmg/β2-mg ELISA KIT
M0102 酶(HRP)标记物保存稀释液
BL1355 预染超低分子量蛋白MARKER
ARB10176 人α1β糖蛋白(α1β-GP)尿液中含量检测 Human α1β glycoprotein,α1β-gp ELISA KIT
ARB11448 人套膜蛋白(INV)代做ELISA实验 Human involucrin,inv ELISA KIT
ARB10742 人纤溶酶抗纤溶酶复合物(PAP)含量测试 Human plasmin-antiplasmin complex,pap ELISA KIT
水合萜品 (H-Cys-OMe)2?2HCl 2451-01-6
细胞内钙离子荧光探针(Fluo-4 AM)现货关键词:细胞内钙离子荧光探,YT948,Fluo-4 AM,Intracellular calcium fluorescence probe,细胞内钙离子荧光探针(Fluo-4 AM)
·Alexa Fluor 555标记驴抗小鼠IgG(H+L)
编号:YT861
英文名称:Alexa Fluor 555-labeled Donkey Anti-Mouse IgG(H+L)
规格:0.1ml
本Alexa Fluor 555标记驴抗小鼠IgG(H+L)用于免疫荧光染色。
Alexa Fluor 555是一种常用的非常明亮的红色荧光探针。它比绝大部分常用的红色荧光探针更加明亮,更加不容易淬灭,而且背景更低。Alexa Fluor 555的荧光光谱和Cy3非常接近。Alexa Fluor 555的吸收峰555nm、发射峰565nm。
本抗体为用纯化的小鼠IgG免疫驴,然后用亲和纯化柱对获得的抗血清进行纯化,并经过人IgG、兔IgG和大鼠IgG吸附纯化的优质二抗。
本Alexa Fluor 555标记驴抗小鼠IgG(H+L)用于免疫荧光染色时的推荐稀释比例为1:500。实际实验操作过程中需根据抗原和抗体的具体情况适当调节荧光标记二抗的稀释比例,推荐的调节范围为1:200-1000。
本抗体如果用于常规的免疫染色,以每次检测需1毫升1:500稀释的荧光标记二抗计,至少可以检测50次。如果适当重复使用已经使用过的荧光标记二抗,至少可以多检测150-250次。
储存条件:-20℃,有效期一年。
北京百莱博科技有限公司是探针标记及检测产品的专业生产供应销售商,恭候您的咨询选购细胞内钙离子荧光探针(Fluo-4 AM)现货。
风险提示:丁香通仅作为第三方平台,为商家信息发布提供平台空间。用户咨询产品时请注意保护个人信息及财产安全,合理判断,谨慎选购商品,商家和用户对交易行为负责。对于医疗器械类产品,请先查证核实企业经营资质和医疗器械产品注册证情况。
文献和实验清洗在三次,加2&;mu;m的Fluo-3/AM,避光,37度,30分钟 2。细胞负载后,用D&;rsquo;-HANKS清洗二次 3。在confocal上分析细胞内钙离子浓度
rongshenghao 加入激活剂或抑制剂后打算用Fura-2或者Fluo-3测量细胞内钙离子浓度 问: 1.Fura-2和Fluo-3区别? 2.测量的是游离钙还是总钙呀? 3.还有什么需要注意的? 谢了! 2010tiger Fura-2采用双波长检测,Fluo-3是单波长检测,Fura-2的激发波长是340nm和380nm,发射波长为510nm。Fluo-3的激发波长是506nm
wori1123 我的研究课题需要动态观察细胞内钙离子浓度,大概每隔10秒观察一次,想跟大虾们请教下怎么样能解决连续观察时温度的恒定问题,因为试了好多次都不行,谢谢 DarrenWONG 您要观察多久?几分钟?几小时? 用Fluo-4的Flexstation 或 Flipr (Molecular Devices公司)可以实时检测细胞钙流(比如加药后),可以控制温度、湿度,但是读出来的荧光信号,没有
技术资料暂无技术资料 索取技术资料










