相关产品推荐更多 >

卵清蛋白OVA-mRNA(3-O-Me-GAG, N1-Me-Pseudo UTP)
¥3800
COVID-19-Spike Protein Pseudovirus Beta (β) strain COVID-19-S蛋白假病毒Beta (β)株
¥5455
Alexa Fluor® 488 NHS Ester (Succinimidyl Ester) Alexa Fluor® 488-N-羟基琥珀酰亚胺酯
¥2768
COVID-19-Spike Protein Pseudovirus Delta (δ) strain (COVID-19-S蛋白假病毒 Delta (δ)株)
¥5455
Hippuryl-L-Arg
¥495
万千商家帮你免费找货
0 人在求购买到急需产品
- 详细信息
- 文献和实验
- 技术资料
- 保存条件:
4℃
- 保质期:
有效期1年
- 英文名:
Adenosine 5'-monophosphate (AMP) Disodium Salt
- 库存:
大量
- 供应商:
翌圣生物科技(上海)股份有限公司
- CAS号:
4578-31-8
- 规格:
5g
| 产品名称 | 产品编号 | 规格 | 储存 | 价格(元) |
| Adenosine 5'-monophosphate (AMP) disodium salt 5’-磷酸腺苷二钠盐 |
60603ES08 | 5 g | 4℃ | 169.00 |
| 60603ES25 | 25 g | 4℃ | 709.00 |
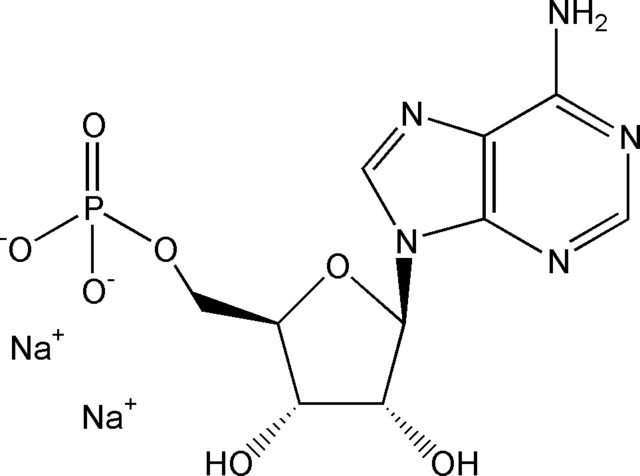
单磷酸腺苷(Adenosine Monophosphate,简称AMP),又名5'-腺嘌呤核苷酸或腺苷酸,是一种在核糖核酸(RNA)中发现的核苷酸,广泛存在于自然界中。结构上由磷酸盐官能团、戊糖核酸糖及碱基腺嘌呤所组成。可结合磷酸基团形成二磷酸腺苷(ADP)和三磷酸腺苷信号(ATP)。也是ATP完全水解的产物。细胞信号转导中AMP可作为AMPK激酶(AMP-activated protein kinase)的激活剂。
产品性质
| 英文别名(English Synonym) | Adenosine-5’-monophosphate disodium salt; 5’-AMP⋅2Na; |
| 中文别名(Chinese Synonym) | 5'-腺嘌呤核苷酸二钠盐;5'-腺苷酸二钠盐; |
| CAS号(CAS NO.) | 4578-31-8 |
| 分子式(Formula) | C10H12N5O7PNa2·6H2O |
| 分子量(Molecular Weight) | 499.19 (anhydrous) |
| 外观(Appearance) | 白色结晶粉末 |
| A250/A260 | 0.79-0.90 |
| A280/A260 | 0.18-0.22 |
| 纯度(Purity) | ≥99% |
| 溶解性(Solubility) | 溶于水(50 mg/ml),DMSO,甲醇 |
| 结构式(Structure) | ![]() |
冰袋运输。4℃保存,开瓶前需先回温至室温。
注意事项
为了您的安全和健康,请穿实验服并戴一次性手套操作。
HB170615
风险提示:丁香通仅作为第三方平台,为商家信息发布提供平台空间。用户咨询产品时请注意保护个人信息及财产安全,合理判断,谨慎选购商品,商家和用户对交易行为负责。对于医疗器械类产品,请先查证核实企业经营资质和医疗器械产品注册证情况。
文献和实验Nature 重磅:林圣彩院士团队七年攻坚!首次破解「神药」二甲双胍作用靶点之谜
截至目前,二甲双胍发挥作用的多种机制被提出。比如说,二甲双胍可以抑制肝细胞线粒体电子传递链的复合物 I,从而降低线粒体氧耗,并抑制三磷酸腺苷(ATP)的生成,使 AMP/ATP 比值升高。增加的 AMP 还可以抑制果糖-1,6-二磷酸酶-1 和腺苷酸环化酶,从而阻止糖异生;二甲双胍也被认为可以改变细胞氧化还原状态,从而增加 NAD+/NADH 比值,抑制糖异生底物的利用。 在二甲双胍的各种潜在效应物中,腺苷酸活化蛋白激酶(AMP-activated protein kinase , AMPK
了恶性表型。 代谢组学、蛋白质组学以及 ECAR 和 OCR 测试揭示了 ADPGK 显著加速了 PCa 的糖酵解。 ADPGK 与丙酮酸激酶 C(ALDOC)结合,通过 AMP 激活蛋白激酶(AMPK)磷酸化促进糖酵解。 图 2 用于 ADPGK 过表达的慢病毒结构示意图及 ADPGK 过表达结果。 案例 2:用慢病毒载体递送 RNA 干扰工具,研究脯氨酸羟化酶结构域蛋白在调节心肌细胞钙水平中的功能[2] 由于高氧消耗,心肌细胞对环境中的氧气极为敏感。脯氨酸羟化酶结构域蛋白 2(PHD
磷酸化和 S6 激酶的高水平,但这种信号在低氧下培养的细胞中却不存在。 图片来源:Molecular Cell 上述的实验证明,低氧环境下的衰老细胞表现为 mTOR 通路的下调,而 mTOR 通路的抑制可由多种机制实现,包括 AMPK,一种在低氧环境中帮助维持能量平衡的传感器。此前有报道指出,二甲双胍是一种具有激活 AMPK 等多种分子功能的抗糖尿病药物,可降低常氧衰老细胞的 SASP。 因此,研究人员通过基因过表达或选择性 AMPK 激活剂 A769662 对细胞进行处理,结果发现,在常氧衰老
技术资料需要更多技术资料 索取更多技术资料






