相关产品推荐更多 >
万千商家帮你免费找货
0 人在求购买到急需产品
- 详细信息
- 文献和实验
- 技术资料
- 库存:
1
- 英文名:
μCaler® DNA Full Screen System
- 供应商:
纳昂达(南京)
- 保存条件:
-20℃
μCaler® DNA Full Screen System 全流程解决方案搭载 MSRE (Methylation Sensitive Restriction Endonuclease) 技术和独家专利超灵敏度探针的杂交捕获系统 (μCaler® Hybrid System),仅需 1 份起始样本 + 1 个杂交反应 + 1 套捕获探针,即可简单、快速、稳定实现超高灵敏度 DNA 甲基化与全景式突变 (SNV/InDel/CNV/Fusion 等) 共检测。
产品特色
● 仅需 1 份样本,通过 1 个杂交反应和 1 套捕获探针即可实现多组学分析
● 无需 BS 转化,充分保留原始序列丰富度,提升数据利用率
● 简便快速的工作流程,单日内高效完成突变与甲基化同时检测
● 提升低丰度甲基化与超低频突变信号的检测灵敏度
方案流程

方案表现
稳定高效的酶切效率

图 1. NadPrep® Epi 酶切模块对不同类型样本的酶切效率。 A. 不同甲基化水平的模拟样本与不同起始投入量的人类基因组 DNA 标准品 (Promega, G1471);B. 临床 FFPE 和 cfDNA 样本。
注:甲基化阳性对照 100% Methylated DNA (zymo, D5014-2) 和阴性对照 0% Methylated DNA (zymo, D5014-1),经不同比例混合以模拟不同甲基化水平 (0%,10%,50%) 。不同甲基化水平的模拟样本以及临床 FFPE 和 cfDNA 样本的起始投入量均为 10 ng。
充分保留原始序列信息,提升甲基化检测的有效覆盖深度

图 2. μCaler® DNA Full Screen System 可提升数倍于 BS 处理方式的 CpG 位点的有效覆盖深度。A. 10 ng 起始投入不同甲基化水平模拟样本和 B. 不同起始投入 5% 甲基化水平模拟样本的 13 个 CpG 位点的平均覆盖深度。模拟样本分别利用 μCaler® DNA Full Screen System 全流程解决方案 (Full Screen) 和 μCaler® 靶向甲基化捕获解决方案 (BS) 完成杂交捕获。测序模式为 Illumina® Novaseq 6000,PE150;随机选取 1 M reads pair 进行数据分析。
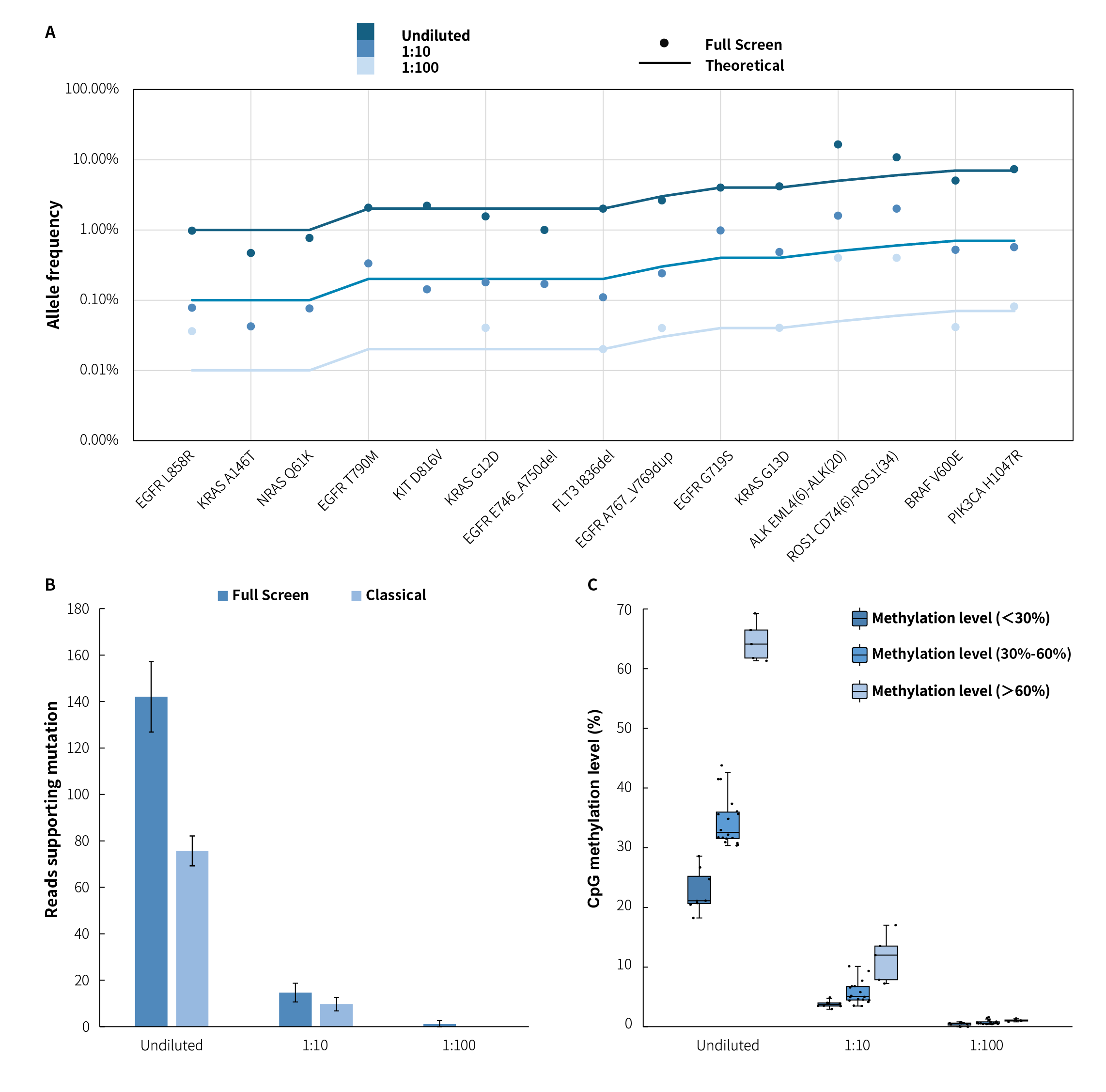
精准定量甲基化水平,有效提升检测稳定性

图 3. μCaler® DNA Full Screen System 对不同甲基化水平样本的检测结果与理论值一致。A. 不同甲基化水平的模拟样本;B. 随机选取 1 例临床结直肠癌组织样本。
注:Traditional_BS 利用 NadPrep® Hybrid Capture Reagents (过夜杂交) 完成捕获。
提升低丰度甲基化与超低频突变信号的检测灵敏度

图 4. μCaler® DNA Full Screen System 全流程解决方案联合分析应用于超低频突变与低丰度甲基化同时检测的表现。80 ng 模拟样本利用 μCaler® DNA Full Screen System 全流程解决方案,以 μCaler® Full Screen LF Custom Panel (<5 Kb,覆盖 31 个 CpG 位点) 完成杂交捕获,随机选取 3 Gb 进行数据分析。 A. 不同位点的突变频率与标准品标称频率一致 [预文库含 UMI 分子标签,分析过滤标准为双链一致性序列 (Duplex Consensus Sequences, DCS211)];B. 支持突变位点检出的平均 unique reads 数 (DCS211);C. 不同模拟样本的甲基化水平。
有效区分肿瘤和健康人群

图 5. μCaler® DNA Full Screen System 全流程解决方案应用于临床结直肠癌患者和健康人 cfDNA 检测的捕获表现。A. 靶区域 CpG 位点的甲基化水平;B. Z 值分析。
注:始投入量为 10 ng。T:临床结直肠癌患者血浆 cfDNA,其中 T-1~4 为结直肠癌早期患者,T-5 为晚期患者;N:健康人血浆 cfDNA。
本产品仅限研究使用,不用于临床诊断。
| 类别 | 产品名称 | 规格 | 货号 |
| 建库模块 | NadPrep® DNA Library Preparation Module v2, 24 rxn | 24 rxn | 1002421 |
| NadPrep® DNA Library Preparation Module v2, 96 rxn | 96 rxn | 1002422 | |
| 通用截短型双端唯一 接头模块 |
NadPrep® Universal Stubby Adapter (UDI) Module Set A1, 24 rxn | Index 1-12 | 1003240 |
| NadPrep® Universal Stubby Adapter (UDI) Module Set B1, 96 rxn | Index 1-24 | 1003241 | |
| NadPrep® Universal Stubby Adapter (UDI) Module Set B2, 96 rxn | Index 25-48 | 1003242 | |
| NadPrep® Universal Stubby Adapter (UDI) Module Set E1, 96 rxn | Index 1-96 | 1003251 | |
| NadPrep® Universal Stubby Adapter (UDI) Module Set E2, 96 rxn | Index 97-192 | 1003252 | |
| NadPrep® Universal Stubby Adapter (UDI) Module Set E3, 96 rxn | Index 193-288 | 1003253 | |
| NadPrep® Universal Stubby Adapter (UDI) Module Set E4, 96 rxn | Index 289-384 | 1003254 | |
| NadPrep® Universal Stubby Adapter (UDI) Module Set F1, 1152 rxn | Index 1-96 | 1003261 | |
| NadPrep® Universal Stubby Adapter (UDI) Module Set F2, 1152 rxn | Index 97-192 | 1003262 | |
| NadPrep® Universal Stubby Adapter (UDI) Module Set F3, 1152 rxn | Index 193-288 | 1003263 | |
| NadPrep® Universal Stubby Adapter (UDI) Module Set F4, 1152 rxn | Index 289-384 | 1003264 | |
| 双端唯一接头模块 (for MGI) | NadPrep® Universal Adapter (MDI) Module Set A1 (for MGI), 24 rxn | MDI 1-12 | 1003711 |
| NadPrep® Universal Adapter (MDI) Module Set B1 (for MGI), 96 rxn | MDI 1-24 | 1003721 | |
| NadPrep® Universal Adapter (MDI) Module Set B2 (for MGI), 96 rxn | MDI 25-48 | 1003722 | |
| NadPrep® Universal Adapter (MDI) Module Set B3 (for MGI), 96 rxn | MDI 49-72 | 1003725 | |
| NadPrep® Universal Adapter (MDI) Module Set B4 (for MGI), 96 rxn | MDI 73-96 | 1003726 | |
| NadPrep® Universal Adapter (MDI) Module Set E1 (for MGI), 96 rxn | MDI 1-96 | 1003751 | |
| NadPrep® Universal Adapter (MDI) Module Set E2 (for MGI), 96 rxn | MDI 97-192 | 1003752 | |
| NadPrep® Universal Adapter (MDI) Module Set E3 (for MGI), 96 rxn | MDI 193-288 | 1003753 | |
| NadPrep® Universal Adapter (MDI) Module Set E4 (for MGI), 96 rxn | MDI 289-384 | 1003754 | |
| NadPrep® Universal Adapter (MDI) Module Set F1 (for MGI), 1152 rxn | MDI 1-96 | 1003761 | |
| NadPrep® Universal Adapter (MDI) Module Set F2 (for MGI), 1152 rxn | MDI 97-192 | 1003762 | |
| NadPrep® Universal Adapter (MDI) Module Set F3 (for MGI), 1152 rxn | MDI 193-288 | 1003763 | |
| NadPrep® Universal Adapter (MDI) Module Set F4 (for MGI), 1152 rxn | MDI 289-384 | 1003764 | |
| 分子标签接头模块 | |||
| NadPrep® BMI Adapter (MDI) Module Set A1 (for MGI), 24 rxn | MDI 1-12 | 1003911 | |
| NadPrep® BMI Adapter (MDI) Module Set B1 (for MGI), 96 rxn | MDI 1-24 | 1003921 | |
| NadPrep® BMI Adapter (MDI) Module Set B2 (for MGI), 96 rxn | MDI 25-48 | 1003922 | |
| NadPrep® BMI Adapter (MDI) Module Set B3 (for MGI), 96 rxn | MDI 49-72 | 1003925 | |
| NadPrep® BMI Adapter (MDI) Module Set B4 (for MGI), 96 rxn | MDI 73-96 | 1003926 | |
| NadPrep® UMI Adapter Kit Set A1 (with 10 nt Index), 24 rxn | 1-12 | 1103111 | |
| NadPrep® UMI Adapter Kit Set B1 (with 10 nt Index), 96 rxn | 1-24 | 1103121 | |
| NadPrep® UMI Adapter Kit Set B2 (with 10 nt Index), 96 rxn | 25-48 | 1103122 | |
| Epi 酶切模块 | NadPrep® Epicut Module, 24 rxn | 24 rxn | 1002811 |
| Lambda DNA 参考品 | Unmethylated Lambda DNA Control, 30 ng | 30 ng | 1005501 |
| 杂交捕获试剂 | μCaler® Hybrid Capture Reagents v2, 16 rxn | 16 rxn | 1105202 |
| μCaler® Hybrid Capture Reagents v2, 96 rxn | 96 rxn | 1105201 | |
| 封阻序列 | μCaler® NanoBlockers (for Illumina®), 16 rxn | 16 rxn | 1106102 |
| μCaler® NanoBlockers (for Illumina®), 96 rxn | 96 rxn | 1106101 | |
| μCaler® NanoBlockers (for MGI, DI), 16 rxn | 16 rxn | 1106212 | |
| μCaler® NanoBlockers (for MGI, DI), 96 rxn | 96 rxn | 1106211 |
本产品仅限研究使用,不用于临床诊断。
风险提示:丁香通仅作为第三方平台,为商家信息发布提供平台空间。用户咨询产品时请注意保护个人信息及财产安全,合理判断,谨慎选购商品,商家和用户对交易行为负责。对于医疗器械类产品,请先查证核实企业经营资质和医疗器械产品注册证情况。
文献和实验越发火热的 CRISPR Screen 技术又发大文章,耶鲁大学 Cell 揭示在 CD8 T 细胞中筛选出免疫治疗新靶点!
(NF-kB) p65 和 PDCD11 相互作用,共同调节 CD8 T 细胞的 NF-kB 通路活性该研究结果表明,在体内进行高通量的基因筛选可以用于探索免疫治疗靶点,并确定 DHX37 可调节 CD8 受体阳性 T 淋巴细胞功能,作为三阴性乳腺癌免疫治疗靶点。作为一种强大的基因编辑工具,近年来随着 CRISPR/Cas9 技术的发展,其被广泛地应用于基因敲除、敲入,转录激活、抑制,DNA 甲基化,组蛋白修饰以及全基因组筛选等领域[2]。Cas9 蛋白功能的多样性[2]图片来源:Nat Rev
一种基于手动芯片点样仪的快捷高效的转基因植物PCR-dot-blot鉴定法
无误后,从剩余产物中采用DNA产物纯化试剂盒(北京天根生化科技有限公司)回收纯化PCR产物,去除过量引物分子,用紫外分光光度计进行定量,均调整DNA浓度约为20ng/μl。1.2.2 手动芯片点样仪的使用 本试验使用V&P Scientific VP478手动芯片点样仪,包括4部分:玻片复印仪(Glass Slide Replicator)、手动玻片定位系统(Manual Glass Slide Indexing Unit)、清洗装置(Glass Slide Microarrayer Wash
将溶液混合,6000rpm短暂离心。管家基因反应体系:序号 反应物 剂量1 SYBR Green 1 染料 10μl2 内参照上游引物F 0.5μl3 内参照下游引物R 0.5μl4 dNTP 0.5μl5 Taq酶 1μl6 待测样品cDNA 5μl7 ddH2O 32.5μl8 总体积 50μl轻弹管底将溶液混合,6000rpm短暂离心。③制备好的阳性标准品和检测样本同时上机,反应条件为:93℃ 2分钟,然后93℃ 1分钟,55℃ 2分钟,共40个循环。5 制备用于绘制梯度稀释标准曲线的DNA











