相关产品推荐更多 >
万千商家帮你免费找货
0 人在求购买到急需产品
- 详细信息
- 文献和实验
- 技术资料
- 保存条件:
-20℃
- 英文名:
HiSNP Panel
- 库存:
1
- 供应商:
纳昂达(南京)
HiSNP Ultra Panel v1.0 是一款高分辨 SNP 骨架 Panel,靶向 > 52,000 个高 MAF 值的 SNP 位点,以约 50 Kb 的间隔覆盖整个人基因组,可用于提供反映基因组组成状态的信息。 HiSNP Panel v1.0 是一款基础 SNP 骨架 Panel,靶向 > 9,000 个高 MAF 值的 SNP 位点,以约 300 Kb 的间隔覆盖整个人基因组,可用于提供反映基因组组成状态的信息。
产品特色
- 杂合率高:针对中国人群(MAF=0.2-0.5),兼顾其他人群(欧洲、非洲、美洲、东亚、南亚,AF=0.05-0.95)
- 捕获稳定:GC 均衡、侧翼序列唯一并经 WGS 验证
- 均衡性佳:连续区间均匀分布并去除连锁不平衡
- 兼容性强:可与任何 CDS Panel 混合使用,也可独立使用
产品应用
| 产品 | 应用范围 |
| HiSNP Panel v1.0 | 拷贝数变异分析以及样本识别 |
| HiSNP Ultra Panel v1.0 | HRD Score 分析、拷贝数变异分析以及样本识别 |
产品表现
HiSNP Panel v1.0 捕获表现 
图 1. HiSNP Panel v1.0 在双测序平台的捕获表现。 A. 比对率和中靶率;B. 覆盖度;C. 覆盖均一性。
注:样本为人类男性基因组 DNA (Promega-male, G1471);测序平台分别为 MGISEQ 2000,PE150 和 Illumina NovaSeq 6000,PE150。
HiSNP Ultra Panel v1.0 捕获表现
图 2. HiSNP Ultra Panel v1.0 在双测序平台的捕获表现。 A. 比对率和中靶率;B. 覆盖度;C. 覆盖均一性。
注:样本为人类男性基因组 DNA (Promega-male, G1471);测序平台分别为 MGISEQ 2000,PE150 和 Illumina NovaSeq 6000,PE150。
HRD 标准品捕获表现
图 3. HiSNP Ultra Panel v1.0 在 MGI 平台的捕获表现。 A. 比对率和中靶率;B. 覆盖度;C. 覆盖均一性。
注:样本为菁良 HRD 标准品(GW3、GW9 和 GW12),配对样本,包含 T/N 细胞系;测序平台为 MGISEQ 2000,PE150。
图 4. HiSNP Ultra Panel v1.0 在 Illumina 平台的捕获表现。 A. 比对率和中靶率;B. 覆盖度;C. 覆盖均一性。
注:样本为菁良 HRD 标准品(GW3、GW9 和 GW12),配对样本,包含 T/N 细胞系;测序平台为 Illumina NovaSeq 6000,PE150。
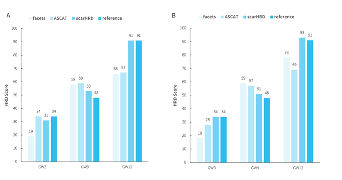
HRD Score 分析
图 5. 不同软件分析的 HRD Score 。 A. MGI 平台;B. Illumina 平台。
注:捕获 Panel 为 HiSNP Ultra Panel v1.0,样本:菁良 HRD 标准品(GW3、GW9 和 GW12),配对样本,包含 T/N 细胞系;测序平台分别为 MGISEQ 2000,PE150 和 Illumina NovaSeq 6000,PE150。
|
产品 |
详情 |
货号 |
|
HiSNP Panel v1.0, 96 rxn |
96 rxn |
1001831 |
|
HiSNP Ultra Panel v1.0, 960 rxn |
960 rxn |
1001838 |
|
HiSNP Ultra Panel v1.0, 1920 rxn |
1920 rxn |
1001839 |
本产品仅限研究使用,不用于临床诊断。
风险提示:丁香通仅作为第三方平台,为商家信息发布提供平台空间。用户咨询产品时请注意保护个人信息及财产安全,合理判断,谨慎选购商品,商家和用户对交易行为负责。对于医疗器械类产品,请先查证核实企业经营资质和医疗器械产品注册证情况。
文献和实验= "Times" 设置字体族, face = "italic" 设置样式, colour = "darkred" 设置颜色, size=rel(0.9) 设置大小> p + xlab("Number of data") #修改坐标文本(3)误差线修饰文章中使用了大量的误差线条形图:误差线是大家经常需要的通常用于显示潜在的误差或相对于系列中每个数据标志的不确定程度。误差线可以用标准差 (平均偏差) 或标准误差, 用以下这个命令可以为图表添加误差线:p + geom_bar(position = "dodge
光抗体沉淀和聚集,影响抗体的效价,随着先进技术的出现,冻干粉形式的抗体已经上市,如美天旎品牌的StainExpress™系列抗体可以在19−25°C环境下保存。 抗体选择 大多数只标明用于WB、IP、IHC、IF、ChIP的抗体都不适用于流式实验(FC,flowcytometry)。选择标明用于FC实验的抗体,在Panel设计上咨询专业人士,通过自己的实验结果进行改进,采用专业的工具进行配色辅助,文献和实验数据图作为参考。
-HillConcise Dictionary of Modern Medicine) 3.AcuteCare Panel 包括Sodium (NA),Potassium (K), Chloride (CL) Total CO2 (Bicarbonate), Creatinine, Glucuose,Urea nitrogen, eGFR 八项生化指标:翻译成“急诊生化八项”符合临床习惯。 4.Anecdotal pertaining to knowledge based











