相关产品推荐更多 >
万千商家帮你免费找货
0 人在求购买到急需产品
- 详细信息
- 询价记录
- 技术资料
- 库存:
1
- 英文名:
NadPrep®️ Plasma Cell-Free DNA Double-Stranded Molecular Barcode Library Preparation Kit (for Illumina®️)
- 供应商:
纳昂达(南京)
- 保存条件:
-20℃
NadPrep®️ 血浆游离 DNA 双端分子标签文库构建试剂盒(for Illumina®️)是针对基于 Illumina 高通量测序平台开发的双链 DNA 文库构建试剂盒。该试剂盒基于 A-T 连接原理,操作流程简单,适用于血浆游离 DNA 的全基因组测序 ,同时兼容液相杂交靶向捕获测序。
该试剂盒搭配双端分子标签(Unique Molecular Identifier, UMI)接头,可满足血浆游离 DNA 超低频突变分析的需求。
产品特色
- 适用于血浆游离 DNA
- 样本起始量低,文库转化率高
- 双端分子标签接头助力低频突变分析
- 包含 DNA 纯化磁珠,并适配优化的片段筛选方案
建库流程

产品表现
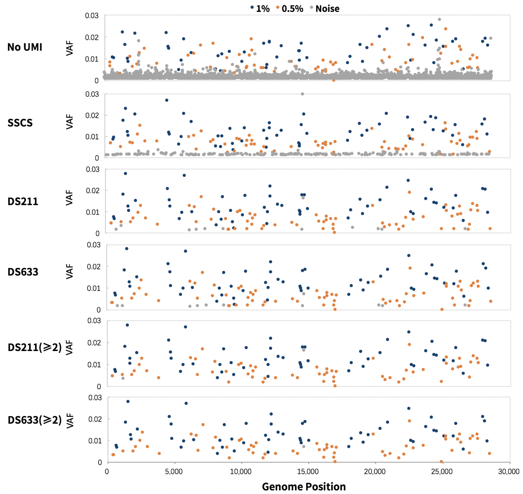
来源于 2 个健康捐献者的血浆游离 DNA 以 1% 比例混合,用于模拟游离血浆 DNA 中低频突变位点的检测,文库制备总投入量为 10 ng;针对已知 SNP 位点设计捕获 panel(图 1)。通过 Illumina HiSeq X, PE150 平台测序后,利用双端分子标签(UMI),在不同分析与过滤方法下进行低频突变分析(表 1)。

图 1. 低频突变模拟模型。来源于2个健康捐献者的 cfDNA 以 1% 比例混合,文库制备总投入量为 10 ng。1% 及 0.5% 模拟突变位点数量统计如右表所示。
表 1. 分析与过滤方法
|
分析模式 |
详情 |
|
No UMI |
根据片段在基因组上比对的起始、终止位点去除重复。 |
|
SSCS |
利用单链分子标签进行一致性分析(Call Molecular Consensus Reads),形成单链一致性序列(Single Strand Consensus Sequences, SSCS)。 |
|
DCS211 |
利用双链分子标签,即互补链(Top / Bottom)分子标签进行一致性分析,形成双链一致性序列(Duplex Consensus Sequences, DCS),且Top与Bottom Reads均 ≥ 1。 |
|
DCS633 |
利用双链分子标签,即互补链(Top / Bottom)分子标签进行一致性分析,形成 DCS,且 Top 与 Bottom Reads 均 ≥ 3。 |
|
DCS211 (≥ 2) |
在 DCS211 的基础上,支持该突变的 DCS 一致性序列 ≥ 2。 |
|
DCS633 (≥ 2) |
在 DCS633 的基础上,支持该突变的 DCS 一致性序列 ≥ 2。 |
突变频率符合预期

图 2. 1% 与 0.5% 模拟突变位点的频率估算。
不同分析模式过滤背景“噪音”

图 3. 不同分析模式对背景噪音的过滤。
灵敏度与阳性预测值

图 4. 1% 和 0.5% 模拟突变位点在不同分析模式下的灵敏度(A)与阳性预测值(B)。
产品订购信息
|
产品 |
详情 |
货号 |
|
NadPrep®️ DNA Library Preparation Kit (for Illumina®️) G24 |
24 rxn |
1002101 |
|
NadPrep®️ DNA Library Preparation Kit (for Illumina®️) E96 |
96 rxn |
1002103 |
|
NadPrep®️ UMI Adapter Kit Set B1 (for Illumina®️), 96 rxn |
96 rxn |
1003431 |
|
NadPrep®️ UMI Adapter Kit Set B2 (for Illumina®️), 96 rxn |
96 rxn |
1003432 |
|
NadPrep®️ UMI Adapter Kit Set D1 (for Illumina®️), 480 rxn |
480 rxn |
1003439 |
本产品仅限研究使用,不用于临床诊断。
风险提示:丁香通仅作为第三方平台,为商家信息发布提供平台空间。用户咨询产品时请注意保护个人信息及财产安全,合理判断,谨慎选购商品,商家和用户对交易行为负责。对于医疗器械类产品,请先查证核实企业经营资质和医疗器械产品注册证情况。
- 作者
- 内容
- 询问日期
技术资料暂无技术资料 索取技术资料










