相关产品推荐更多 >
万千商家帮你免费找货
0 人在求购买到急需产品
- 详细信息
- 文献和实验
- 技术资料
- 库存:
1
- 英文名:
NadPrep® DNA Library Preparation Kit v2
- 保存条件:
-20℃
产品介绍
NadPrep® DNA Library Preparation Kit v2 是基于 A-T 连接原理,针对 MGI & Illumina 高通量测序平台开发的双链 DNA 文库构建试剂盒。该试剂盒适用于 1‒500 ng DNA 的全基因组测序,同时兼容液相杂交靶向捕获测序。在 v1 版本的基础上,升级后的试剂盒提高了文库转化效率,同时对低质量的样本包容度更好,因此能在维持高保真度的同时,提升文库的丰富度.
产品特色
● 快速便捷
3 hr 内完成全基因组文库制备全流程
● 稳定高效
更高的文库产出
更高的文库转化率
低 GC 偏好性
更高的文库丰富度
● 灵活兼容
自由选择搭配多类型接头
兼容 1 ng-500 ng 起始投入量
兼容 gDNA、FFPE DNA、cfDNA 等样本类型
兼容液相杂交捕获
建库流程

产品表现
文库产出稳定高效
兼容宽泛的投入量

图 1. NadPrep® DNA 文库构建试剂盒 v2 对不同起始量 gDNA 样本的建库产出。利用 NadPrep® DNA Library Preparation Module v2 分别搭配 NadPrep® Universal Adapter (MDI) Module (for MGI) 和 NadPrep® Universal Stubby Adapter (UDI) Module 进行文库构建。A. 文库产出(MGI);B. 文库产出 (Illumina)。
注:样本为人类基因组 DNA 标准品 (Promega,G1521)。
兼容不同类型样本

图 2. NadPrep® DNA 文库构建试剂盒 v2 对不同类型样本的建库产出。不同类型样本利用 NadPrep® DNA Library Preparation Module v2 分别搭配 A. NadPrep® Universal Stubby Adapter (UDI) Module 和 B. NadPrep® BMI Adapter (MDI) Module (for MGI) 和 NadPrep® UMI Adapter Kit (with 10 nt Index) 进行文库构建,扩增循环数参考相应说明书。
注:样本分级标准 | gDNA:~ 15 kb 有明亮单一不拖尾条带;FFPE C:条带主要分布在 200-2500 bp,呈弥散状。
兼容不同类型接头

图 3. NadPrep® DNA 文库构建试剂盒 v2 显著提升文库产出。不同投入量样本利用 NadPrep® DNA Library Preparation Kit/Module (for Illumina®/MGI) (NadPrep® v1) 和 NadPrep® DNA Library Preparation Module v2 (NadPrep® v2) 分别搭配 NadPrep® Universal Stubby Adapter (UDI) Module [Universal Stubby (UDI)]、NadPrep® Universal Adapter (MDI) Module (for MGI) [MDI]、NadPrep® UMI Adapter Kit (with 10 nt Index) [UMI] 和 NadPrep® BMI Adapter (MDI) Module (for MGI) [BMI] 进行文库构建。
注:gDNA 样本为人类基因组 DNA 标准品 (Promega,G1471)。
低 GC 偏好性

图 4. NadPrep® DNA 文库构建试剂盒 v2 对宏基因组样本的建库表现。A. ST菌,B. 大肠埃希菌和 C. 铜绿假单胞菌等不同 GC 含量的全基因组文库的 GC 偏好性。
更高的文库转化率

图 5. NadPrep® DNA 文库构建试剂盒 v2 具有更高的文库转化率。10 ng 血浆 cfDNA 样本利用 NadPrep® DNA Library Preparation Module v2 分别搭配 NadPrep® BMI Adapter (MDI) Module (for MGI) 和 NadPrep® UMI Adapter Kit (with 10 nt Index) 进行预文库构建,以 2 Kb Panel 搭配 μCaler 杂交捕获系统完成杂交捕获。测序模式分别为 DNBSEQ-T7,PE 150 和 Illumina Novaseq 6000,PE 150。每个样本随机选取 1.0 Gb 用于数据分析,以双链一致性序列 (Duplex Consensus Sequences, DCS211) 为标准进行过滤。
注:相对文库转化率:NadPrep® v2 及竞品建库试剂盒文库转化率与 NadPrep® DNA Library Preparation Kit/Module (for Illumina®/MGI) (NadPrep® v1) 文库转化率的比值 ( NadPrep® v1 文库转化率统一归一化为 1 )。
更高的文库丰富度

图 6. NadPrep® DNA 文库构建试剂盒 v2 具有更高的文库丰富度。10 ng 血浆 cfDNA 样本利用 NadPrep® DNA Library Preparation Module v2 搭配 NadPrep® UMI Adapter Kit (with 10 nt Index) 进行预文库构建,以 2 Kb Panel 搭配 μCaler 杂交捕获系统完成杂交捕获。测序模式为 Illumina Novaseq 6000,PE 150。每个样本随机选取 1.0 Gb 用于数据分析,以双链一致性序列 (Duplex Consensus Sequences,DCS211) 、单链一致性序列 (SSCS) 为标准进行过滤。
兼容液相杂交捕获

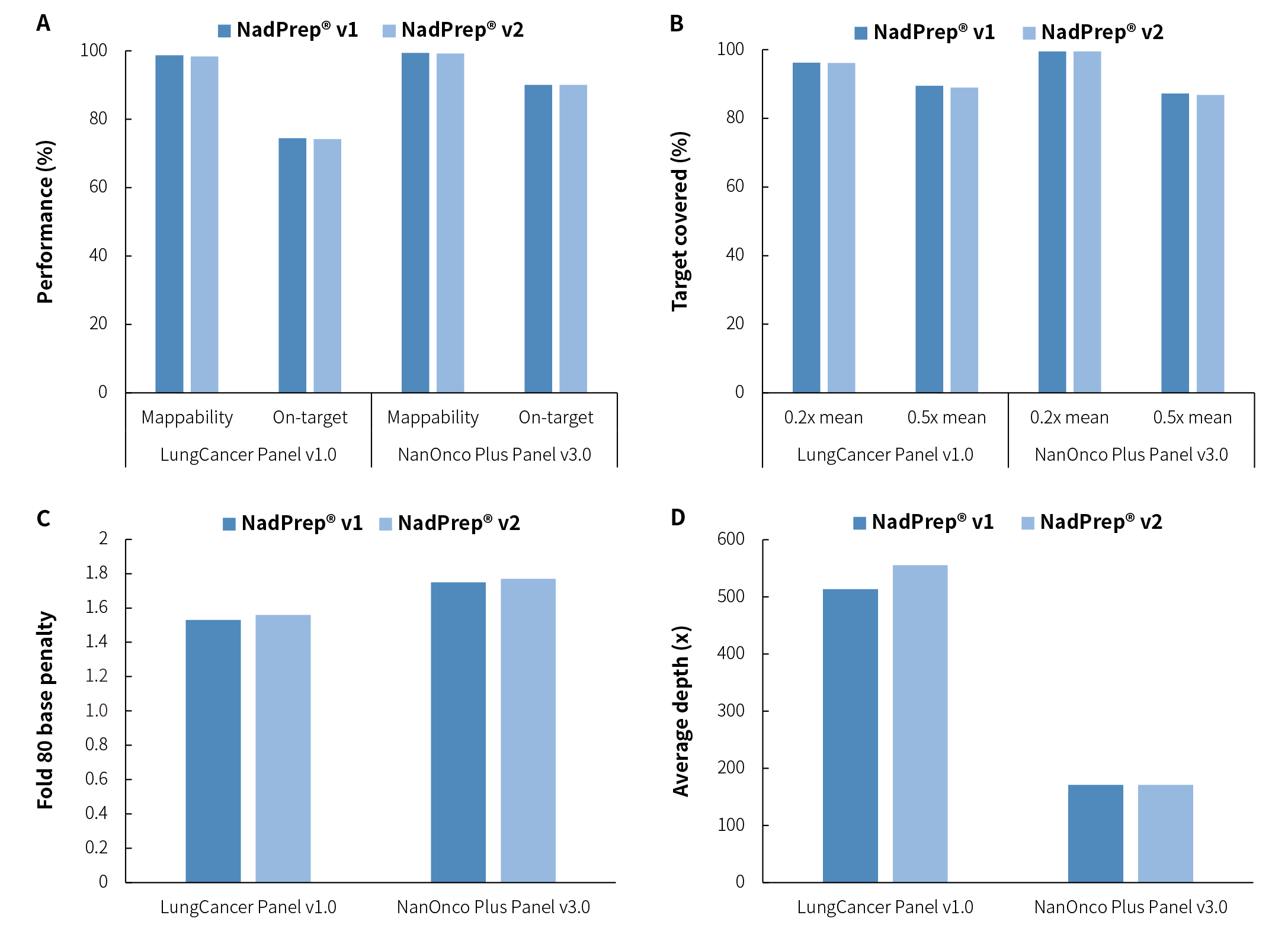
图 7. NadPrep® DNA 文库构建试剂盒 v2 构建文库的捕获表现。50 ng FFPE C 级 DNA 样本利用 NadPrep® DNA Library Preparation Module v2 构建预文库,500 ng/预文库投入,分别以 LungCancer Panel v1.0 (0.23 Mb) 和 NanOnco Plus Panel v3.0 (2.4 Mb) 搭配 NadPrep® Hybrid Capture Reagents 完成杂交捕获,测序模式为 Illumina Novaseq 6000,PE150。A. 捕获数据的比对率和中靶率;B. 靶区域覆盖度;C. Fold 80 base penalty; D. 靶区域去重后的平均深度。
标准品变异分析

图 8. NadPrep® DNA 文库构建试剂盒 v2 构建文库的捕获数据中变异频率与标准品标称频率的一致性展示。利用 NadPrep® DNA 文库构建试剂盒 v2 搭配 NadPrep® Universal Stubby Adapter (UDI) Module 构建文库,扩增 6 个循环,以 NadPrep® Hybrid Capture Reagents 搭配 LungCancer Panel v1.0 (0.23 Mb) 完成杂交捕获,杂交 16 hr。
注:样本为肿瘤结构变异 5% gDNA 标准品 (菁良,GW-OGTM001),起始投入量为 50 ng。
风险提示:丁香通仅作为第三方平台,为商家信息发布提供平台空间。用户咨询产品时请注意保护个人信息及财产安全,合理判断,谨慎选购商品,商家和用户对交易行为负责。对于医疗器械类产品,请先查证核实企业经营资质和医疗器械产品注册证情况。
文献和实验Vybrant® DyeCycle Green and Orange Stains
material is supplied for approximately 200 fl ow cytometry assays based on a 1 mL test volume. Approximate fluorescence excitation/emission maxima: Vybrant® DyeCycle™ Green stain: 506/534 nm, bound to DNA; Vybrant® DyeCycle™ Orange stain: 519/563 nm
I. NEBULIZATION of DNA 1. 0.5 - 5 ug DNA in TE (10mM/1mM), 25% glycerol, final volume 500 ul 2. nebulize for 90-100 sec at 5-10 psi (for a medium size of about 1.5kbp) 3. Precipitate with EtOH/Ammonium Acetate
实验试剂 Dynal® magnet: see www.invitrogen.com/magnets-selection. Sterile, round-bottomed 2 ml microcentrifuge tubes. Micropipettors and sterile, disposable pipette tips. 65°C water-bath or heating block











