相关产品推荐更多 >
万千商家帮你免费找货
0 人在求购买到急需产品
- 详细信息
- 文献和实验
- 技术资料
- 库存:
1
- 保存条件:
-20℃
NadPrep® DNA Methyl Bisulfite Conversion Module 是基于亚硫酸氢盐转化原理针对 DNA 样本开发的甲基化转化试剂。该转化 模块基于磁珠纯化的方案可在 2 hr 内将未甲基化的胞嘧啶高效转化为尿嘧啶,且利于自动化开展;同时可衔接纳昂达 NadPrep® 双链 甲基化文库构建方案和 NadPrep® 单链甲基化文库构建方案,支持在多种类型的起始样本中灵活选择。
产品特色
- 兼容多类型样本且支持宽泛的投入量范围
- 胞嘧啶转化率高效稳定
- 卓越的 5mC 和 5hmC 检测灵敏度
- 操作便捷利于自动化开展
亚硫酸氢盐转化流程

*接头连接产物示意图以 NadPrep® Methyl Stubby Adapter (UDI) 为例。
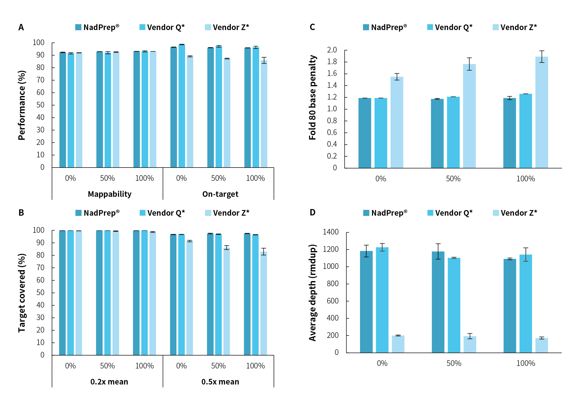
产品表现
文库产出及转化效率

图 1. 不同投入量样本的文库产出及转化效率。人类男性基因组 DNA 标准品 (Promega, G1471) 利用 NadPrep® Methyl Library Preparation Module 搭配 NadPrep® Methyl Stubby Adapter (UDI) Module (with 10 nt Index) 和 NadPrep® DNA Methyl Bisulfite Conversion Module 构建文库,Illumina Novaseq 6000, PE 150 测序。A. 文库产出;B. 转化效率。
捕获表现


风险提示:丁香通仅作为第三方平台,为商家信息发布提供平台空间。用户咨询产品时请注意保护个人信息及财产安全,合理判断,谨慎选购商品,商家和用户对交易行为负责。对于医疗器械类产品,请先查证核实企业经营资质和医疗器械产品注册证情况。
文献和实验的后果是不仅没有RNA,连DNA也被消化了。两者均于-20℃保存。验证提取DNA的纯度的方法有二:1、紫外分光光度计计算OD比值;2、1%-1.5%的琼脂糖凝胶电泳。第二种方法优于第一种方法,这种方法完全可以明确所提基因组DNA的纯度,并根据Marker的上样量估计其浓度,以用于下一步的修饰。第二部分 亚硫酸氢钠修饰基因组DNA如不特别指出,所用双蒸水(ddH2O)均经高压蒸汽灭菌。1、将约2μgDNA于1.5mlEP管中使用ddH2O稀释至50μl;2、加5.5ul新鲜配制的3M NaOH
。否则可能的后果是不仅没有RNA,连DNA也被消化了。两者均于-20℃保存。验证提取DNA的纯度的方法有二:1、紫外分光光度计计算OD比值;2、1%-1.5%的琼脂糖凝胶电泳。第二种方法优于第一种方法,这种方法完全可以明确所提基因组DNA的纯度,并根据Marker的上样量估计其浓度,以用于下一步的修饰。第二部分 亚硫酸氢钠修饰基因组DNA如不特别指出,所用双蒸水(ddH2O)均经高压蒸汽灭菌。1、将约2ugDNA于1.5mlEP管中使用ddH2O稀释至50μl;2、加5.5ul新鲜配制的3M NaOH
和转化、蓝白斑筛选 1:连接T载体(本实验使用的是Promega的试剂盒) 15ul体系 T-easy 1ul Ligase 1ul 2xbuffer 7.5ul DNA 5.5ul 4度,过夜。 2:连接产物的转化 1)-70度冰箱内取出感受态细菌,融化后置于冰上; 2)连接产物15ul 全部加入,至于冰上30分钟; 3)42度, 90秒钟; 4)冰上2分钟; 5)800ul LB培养基; 6)280rpm,37度,摇床45分钟(将管放











