相关产品推荐更多 >
万千商家帮你免费找货
0 人在求购买到急需产品
- 详细信息
- 技术资料
- 库存:
大量
- 英文名:
Ginsenoside Rg2
- 保质期:
1-3年
- 供应商:
上海沪震实业有限公司
- 保存条件:
常温或2-8℃保存
- 规格:
5mg/25mg
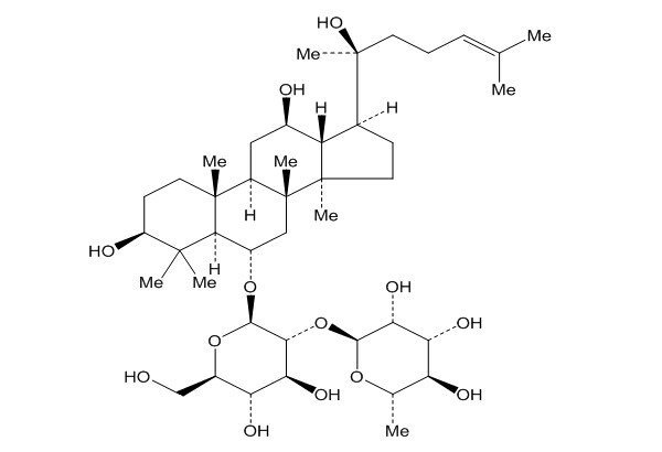
人参皂苷Rg2(52286-74-5)
【Product Name】 Ginsenoside Rg2
【CAS Number】 52286-74-5
【Del.CASNumber】 12770-18-2
【Synonyms】 20(S)-Ginsenoside Rg2; Chikusetsusaponin I; GF VI;Panaxoside Rg2; Prosapogenin C2
【中文名称】 人参皂苷Rg2
【Chemical Name】 β-D-Glucopyranoside, (3β,6α,12β)-3,12,20-trihydroxydammar-24-en-6-yl 2-O-(6-deoxy-α-L-mannopyranosyl)-
【Chemical Formula】 C42H72O13
【Molecular Weight】 785.03
【Chemotaxonomic Group】 三萜类 Triterpenoids

相关标准品-对照品列表:
| HZ50157-20mg | 瓜子金皂苷XXXI | Polygalasaponin XXXI | 79103-90-5 | HPLC≥98% | 20mg | 0.00 |
| HZ50158-20mg | 焦地黄苯乙醇甙HZ1 | Jionoside HZ1 | 120406-37-3 | HPLC≥98% | 20mg | 0.00 |
| HZ50159-20mg | 苦玄参苷X | PicfeltaHZHZaenin X | 1391826-61-1 | HPLC≥98% | 20mg | 0.00 |
| HZ50160-20mg | 6-醛基异麦冬黄烷酮A | 6-Aldehydoisoophiopogonanone A | 116291-82-8 | HPLC≥98% | 20mg | 0.00 |
| HZ50161-20mg | 盐酸番茄碱 | Tomatidine hydHZochloHZide | 6192-62-7 | HPLC≥98% | 20mg | 3000.00 |
| HZ50162-20mg | 表戈米辛O | Epigomisin O | 73036-31-4 | HPLC≥98% | 20mg | 0.00 |
| HZ50163-20mg | 异鼠李素-3-O-槐二糖-7-O-鼠李糖苷 | IsoHZhamnetin 3-sophoHZoside-7-HZhamnoside | 41328-75-0 | HPLC≥95% | 20mg | 0.00 |
| HZ50164-20mg | 山柰酚-3-槐二糖-7-鼠李糖苷 | KaempfeHZol 3-sophoHZoside-7-HZhamnoside | 93098-79-4 | HPLC≥95% | 20mg | 0.00 |
| HZ50165-20mg | 槲皮素-3-O-葡萄糖-7-O-鼠李糖苷 | QueHZcetin 3-O-glucoside-7-O-HZhamnoside | 18016-58-5 | HPLC≥98% | 20mg | 0.00 |
| HZ50166-20mg | 异鼠李素-3-O-葡萄糖-7-O-鼠李糖苷 | IsoHZhamnetin 3-glucoside-7-HZhamnoside | 17331-71-4 | HPLC≥95% | 20mg | 0.00 |
风险提示:丁香通仅作为第三方平台,为商家信息发布提供平台空间。用户咨询产品时请注意保护个人信息及财产安全,合理判断,谨慎选购商品,商家和用户对交易行为负责。对于医疗器械类产品,请先查证核实企业经营资质和医疗器械产品注册证情况。
技术资料暂无技术资料 索取技术资料
人参皂苷Rg2(52286-74-5)
¥200 - 450









