相关产品推荐更多 >
万千商家帮你免费找货
0 人在求购买到急需产品
- 详细信息
- 文献和实验
- 技术资料
- 保存条件:
-15℃ ~ -25℃
- 保质期:
有效期2年
- 英文名:
CTP Solution (100 mM)
- 库存:
大量
- 供应商:
翌圣生物科技(上海)股份有限公司
- 规格:
1mL
Product Information
| Product name |
Cat# |
Size |
Price(¥) |
| CTP Solution GMP-grade (100 mM) |
10130ES03 |
1 mL |
635 |
| 10130ES25 |
25 mL |
9525 |
|
| 10130ES76 |
500 mL |
Inquiry |
Product Description
CTP, Cytidine-5'-triphosphate, can be used in a variety of molecular biology applications, such as in vitro transcription, RNA amplification, and the synthesis of choline and ethanolamine.
This product is a transparent colorless aqueous solution prepared from CTP trisodium salt, and free from DNase, RNase and phosphatase contamination.
This product is produced in accordance with GMP process requirements and provided in liquid form.
Product Properties

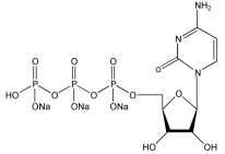
| CAS No |
65-47-4 (acid form) |
| Formula |
C9H13N3Na3O14P3 |
| Molecular weight |
549.1 g/moL(acid form: 483.15 g/moL) |
| Purity (HPLC) |
≥ 99% |
| Content |
100 mM ± 5 mM |
| Structure |
|
Shipping and Storage
The product is shipped with dry ice and can be stored at -15℃ ~ -25℃ for two years.
Cautions
1. Keep on ice while using and return immediately to -20°C after use.
2. For your safety and health, please wear personal protective equipment (PPE), such as laboratory coats and disposable gloves, when operating with this product.
HB220514
风险提示:丁香通仅作为第三方平台,为商家信息发布提供平台空间。用户咨询产品时请注意保护个人信息及财产安全,合理判断,谨慎选购商品,商家和用户对交易行为负责。对于医疗器械类产品,请先查证核实企业经营资质和医疗器械产品注册证情况。
文献和实验Carbonate Solution For Western Blot
CARBONATE WESTERN TRANSFER SOLUTIONSDunn, Anal. Biochem. 1986: 157 1.5L 1.0L 10mM NaHCO3 1.26g chill to 4oC
b-galactosidase Solution Assay
Solutions CPRG Assay Buffer 50 mM KPO4 pH 7.5 5 ml 1M KPO4 pH 7.5 1 mM MgCl2 0.1 ml 1M MgCl2 up to 100 ml with Q store at room temperature 1M KPO4 pH 7.5 250 ml 1M KH2PO4 (monobasic) 68.05 g up to 500 ml 100 ml 1M K2HPO4 (dibasic) 87
b-galactosidase Solution Assay
b-galactosidase Solution Assay Reference: Simon and Lis (1987) NAR 15 : 2971-2988. Solutions CPRG Assay Buffer 50 mM KPO4 pH 7.5 5 ml 1M KPO4 pH 7.5 1 mM MgCl2 0.1 ml 1M MgCl 2 up to 100 ml with Q













