相关产品推荐更多 >
万千商家帮你免费找货
0 人在求购买到急需产品
- 详细信息
- 文献和实验
- 技术资料
- 库存:
410
- 英文名:
CTP Solution(100 mM)
- 保质期:
2年
- 供应商:
北京百奥莱博科技有限公司
- 保存条件:
-20℃
- 规格:
1ml
特别提示:包括胞苷三磷酸溶液(100 mM)(CTP)在内,本公司的所有产品仅可用于科研实验,严禁用于临床医疗及其他非科研用途!
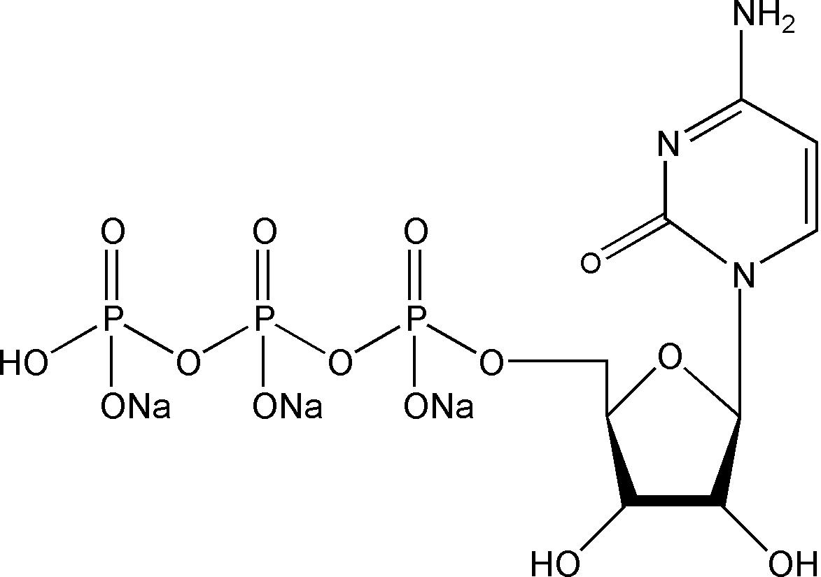
产品名称:胞苷三磷酸溶液(100 mM)(CTP)
英文名称:CTP Solution(100 mM)
CAS#:65-47-4
产品货号:胞苷三磷酸溶液(100 mM)(CTP)
产品规格:1ml
CTP即Cytidine-5-triphosphate,中文名为胞苷三磷酸,可用于分子生物学中多种相关应用,如体外转录、RNA扩增,以及胆碱和乙醇*(代"胺")的合成等。
本产品为纯度≥99%(HPLC)的CTP三钠盐配制所得的无色透明水溶液, pH (25℃)= 7.0±0.1,浓度为100mM,且无DNase,RNase和磷酸酶污染。
英文别名:Cytidine-5-triphosphate,trisodium salt
CAS:65-47-4 (acid form)
分子式:C9H13N3Na3O14P3
分子量:549.1(acid form: 483.15)
外观:无色透明溶液
纯度:≥99%(HPLC)
结构式:
储存条件:-20℃,有效期2年。
除了胞苷三磷酸溶液(100 mM)(CTP),Cytidine-5-triphosphate,trisodium salt,我公司还供应以下相关产品:
YT374 DNA聚合酶(高保真)(高效率)(双平端克隆) 200U|1000U
YT385 dATP溶液(100mM) 250μl
WE0132 cDNA第一链合成试剂盒 100次
WE0134 SuperSYBR Mixture(低含量ROX校正染料) 1ml|5ml
WE0155 BaldStar TaqMan Mixture(dUTP+UNG酶)(低含量ROX校正染料) 5ml
RFT091 2×GC Buffer 1ml|5×1ml|10×1ml
SY0035 热启动PCR Master Mix(不含染料) 1ml×5
SY0289 耐热逆转录酶I 2000U
JN0003 第一链cDNA合成试剂盒(去基因组DNA) 50次|100次
JN0010 T7 RNA聚合酶 5000U
JN0016 Pfu DNA聚合酶 250U|250U×5
风险提示:丁香通仅作为第三方平台,为商家信息发布提供平台空间。用户咨询产品时请注意保护个人信息及财产安全,合理判断,谨慎选购商品,商家和用户对交易行为负责。对于医疗器械类产品,请先查证核实企业经营资质和医疗器械产品注册证情况。
文献和实验缩写为 CTP,经 UTP氨化由酶催化合成,是一种在胞苷的核糖 -5′- OH基上结合三分子磷酸的核苷酸。有二个高能磷酸键。是 RNA生物合成的直接前体之一。参与某种多糖的合成。通过 UTP的氨基化为酶所合成。在生物合成卵磷脂、磷脂酰乙醇胺等的磷脂质时, CTP与磷酸胆碱、磷酸乙醇胺作用,酶促生成胞苷二磷酸胆碱和胞苷二磷酸乙醇胺。
; 2)DNM T3a、DNM T3b从头甲基转移酶, 它们可甲基化CPG, 使其半甲基化, 继而全甲基化。从头甲基转移酶可能参与细胞生长分化调控, 其中DNM T3b在肿瘤基因甲基化中起重要作用。三、 相关图解四、 DNMT的抑制剂Decitabine:Decitabine是一种DNA甲基化的有效抑制剂,作用于HL-60和KG1a细胞时,IC50分别为100 ng/mL和1 ng/mL。Lomeguatrib:Lomeguatrib是一种有效的O6-alkylguanine-DNA
RNase Protection Assay--RNA酶保护
For quantitating RNA levels from either polyA+ selected RNA or crude RNA preps. Solutions 10X Hybridization Buffer 0.4 M PIPES 12.1 g PIPES (Sigma #P6757) 4.0 M NaCl 23.4 g NaCl 10 mM EDTA 2.0 ml 500 mM EDTA pH to 6.7 and bring up to 100 ml
技术资料暂无技术资料 索取技术资料










