相关产品推荐更多 >
万千商家帮你免费找货
0 人在求购买到急需产品
- 详细信息
- 文献和实验
- 技术资料
- 保存条件:
-20℃
- 保质期:
长期
- 英文名:
Dexamethasone (10mM in DMSO)
- 库存:
855
- 供应商:
北京百奥莱博科技有限公司
特别声明:本产品及我公司所售其他产品均为科研类试剂产品,严禁用于药物、医疗及其他非科研用途。
北京百奥莱博专业生产销*(代"售")50-02-2型地塞米松溶液(10mM in DMSO)库存,我公司供应的细胞生物学试剂品类齐全,且具有优势价格,欢迎新老客户垂询订购。
名称:50-02-2型地塞米松溶液(10mM in DMSO)库存
编号:SY0481
产地:国产|进口
英文名:Dexamethasone (10mM in DMSO)
品牌:百奥莱博
规格:25mg
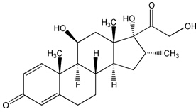
地塞米松(Dexamethasone),一种抗炎糖皮质素,对细胞存活、细胞信号的转导和基因表达具有一系列的影响,如:可抑制一氧化*(代"氮")合酶的诱导作用(IC50=5 nM);可通过刺激Na+-K+泵增强大动脉平滑肌细胞阳离子的运输作用;可降低周期蛋白A和Cdk2的活性;抑制骨细胞G1/S的过渡;抑制Rb蛋白的磷酸化作用;诱导人胸腺细胞凋亡发生。
本品为溶于DMSO的储存液,浓度10mM。一般而言,500-1000nM 的地塞米松于37℃作用6h足可诱导凋亡发生。
中文别名:21α-乙酰氧基-9α-*-11β,17α-二羟基-16α-甲基孕甾-1,4-二烯-3,20-二酮 9α-*-16α-甲基*化泼尼松 9-*-11,17,21-三羟基-16-甲基(11b,16a)-孕甾-1,4-二烯-3,20-二酮德沙美松
英文别名:9α-Fluoro-16α-methylprednisolone,PrednisoloneF,(11β,16α)-9-Fluoro-11,17,21-trihydroxy-16-methylpregna-1,4-diene-3,20-dione,9α-Fluoro-16α-methyl-11β,17α,21-trihydroxy-1,4-pregnadiene-3,20-dione
CAS:50-02-2
分子式:C22H29FO5
分子量:392.46
外观:无色液体(10mM in DMSO)
储存条件:-20℃
结构式

除50-02-2型地塞米松溶液(10mM in DMSO)库存外,我公司正在打折促销以下产品:
ARB10570 人协同刺激分子受体(CMR)含量检测 Human costimulatory molecules recptor,cmr ELISA KIT
14375-45-2 脱落酸 Abscisic acid (ABA)
ARB13487 鸡神经胶质纤维酸性蛋白(GFAP)ELISA代测服务 Chicken glial fibrillary acidic protein,gfap ELISA KIT
9002-18-0 琼脂粉 Agar,Powder
ARB10405 人可溶性细胞粘附分子(sICAM)含量测试 Human soluble intercellular adhesion molecule-1,sicam-1 ELISA KIT
ARB10033 人8羟基脱氧鸟苷(8-OHdG)ELISA代测服务 Human hydroxylysine,hyl ELISA KIT
134-58-7 8-氮杂鸟嘌呤 8-Azaguanine(原装)
ARB12211 大鼠成纤维细胞生长因子10(FGF-10)尿液中含量检测 Rat fibroblast growth factor-10,fgf-10 ELISA KIT
DR0101 琼脂糖凝胶纯化回收试剂盒
SJ0646 M-MLV
F030822 BIOTIN标记兔抗人IgG FC抗体 Rabbit Anti-Human IgG(FC)*BIOTIN
ARB13587 兔子血小板活化因子(PAF)ELISA代测服务 Rabbit platelet activating factor,paf ELISA KIT
葡聚糖凝胶G-150 VB4
ARB10445 人甲胎蛋白(AFP)含量测试 Human alpha-fetoprotein,afp ELISA KIT
FMOC-D-甲硫*酸 5′-CDP,Na 112883-40-6
ARB13514 鱼类白介素1α(IL-1α)定量分析 Fish IL-1α ELISA KIT
F030624 FITC标记兔抗牛IgG抗体 Rabbit Anti-Bovine IgG*FITC
1-(2-吡*(代"啶")偶氮)-2-*酚 Pyronin Y 85-85-8
ARB13911 猪纤溶酶原激活物抑制因子(PAI)Elisa方法检测 Porcine plasminogen activator inhibitor,pai ELISA KIT
50-02-2型地塞米松溶液(10mM in DMSO)库存关键词:21α-乙酰氧基-9α-*-11β,17α-二羟基-16α-甲基孕甾-1,4-二烯-3,20-二酮 ,地塞米松溶液,50-02-2,10mM in DMSO
·支原体去除试剂3(100X)
编号:SY0545
英文名称:Antibiotic Solution 3(100X)
规格:4×1.5ml
在细胞培养过程中,定期检测能够有效的避免支原体大量污染,但如果细胞已受支原体污染,则需对其进行及时处理,最佳处理原则为将细胞高压灭菌后丢弃,以免污染其它洁净的细胞株。若受污染的细胞比较珍贵,必须去除支原体污染,可以通过混合使用抗生素以达到目的。由于支原体无细胞壁,因此传统的抗生素一般对其无效。本产品是基于*代喹酮类衍生物,能有效去除绝大部分的细胞污染。
使用方法
本品使用前确保瓶盖密封,解冻致室温,轻轻旋动混匀并用70%乙醇擦拭瓶子表面,再放到超净工作台。
使用本品处理细胞:
1. 每10ml培养基中加入100µl 本品溶液并保持14天,期间需换液时按比例加入本品溶液。
2. 处理14天后,进行支原体检测。
储存条件:-20℃避光,有效期18个月
50-02-2型地塞米松溶液(10mM in DMSO)库存关键词:21α-乙酰氧基-9α-*-11β,17α-二羟基-16α-甲基孕甾-1,4-二烯-3,20-二酮 ,地塞米松溶液,50-02-2,10mM in DMSO
·5-*脱氧尿嘧啶核苷
编号:SY0504
英文名称:5-bromo-2-deoxyuridine (BrdU)
规格:100mg
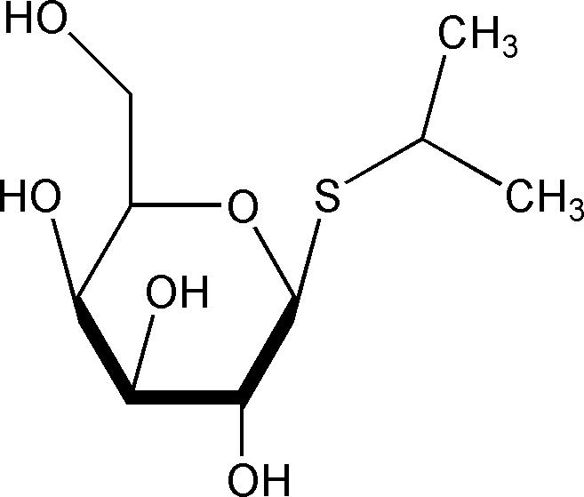
目前常用的细胞增殖标记物有4种,DNA聚合酶α(DNA polymerase α),增殖细胞核抗原(Proliferating cell nuclear antigen,PCNA),Ki-67和5-*脱氧尿嘧啶核苷(Brdu)。其中Brdu为组织细胞非内源性表达存在,应用相对较广。Brdu,也称为*化去氧尿苷,一种合成的胸苷类似物,在S期可替代胸腺嘧啶核苷选择性结合到细胞DNA中。从而检测细胞DNA合成和标记细胞分裂,凋亡等行为。在遗传研究中Brdu可通过活体注射或细胞培养加载,然后使用抗Brdu的单克隆抗体进行特异性标记,ICC或IHC法染色法显示增殖细胞。另外,还能同时结合其它细胞标记物,双重染色,来判断增殖细胞的种类,增殖速度等,对研究细胞动力学有着重要意义。
CAS:59-14-3
分子式:C9H11BrN2O5
分子量:307.10
外观:白色或类白色粉末
熔点:187~189℃
纯度(Purity, HPLC):≥99%
溶解性:溶于1M *氧化铵(50 mg/ml),水(高达10 mg/ml);溶于DMF,DMSO,水(加热)(50-100 mg/ml)
储存条件:-20℃,有效期2年
结构式

·荧光素酶报告基因质粒阴性对照
编号:SY0113
英文名称:Luciferase Reporter Plasmid negative control
规格:1μg
Luciferase Reporter Plasmid negative control是萤火虫荧光素酶(Firefly Luciferase)报告基因的阴性对照质粒,通过对质粒上可以被预测出的转录因子结合位点全部进行适当的突变处理,使质粒对转录因子的非特异结合降到了最低。Luciferase Reporter Plasmid negative control阴性对照质粒是在 Synthetic poly(A) signal/transcriptional pause site 和 pTA 之间插入了一段不含转录因子结合位点的杂乱序列,因此不会表达 Luciferase。
质粒图谱

储存条件:-20℃。
北京百莱博科技有限公司专业生产细胞凋亡与增殖产品,欢迎来电咨询选购50-02-2型地塞米松溶液(10mM in DMSO)库存。
风险提示:丁香通仅作为第三方平台,为商家信息发布提供平台空间。用户咨询产品时请注意保护个人信息及财产安全,合理判断,谨慎选购商品,商家和用户对交易行为负责。对于医疗器械类产品,请先查证核实企业经营资质和医疗器械产品注册证情况。
文献和实验1. 挑取适当菌株的 E.coli 单菌落接种于 2mlSOB 培养液中,37℃摇床过夜。 2. 取 0.5-1ml 过夜培养的菌液 转种到 50ml SOB 中,18℃剧烈震荡,直到 A600达到 0.6。 3. 将培养物转移到 50ml 离心管中,4℃ 4,000rpm/min离心 10min。同时在冰浴 上配置 TB 溶液。 4. 弃上清,将离心管倒置于滤纸上,使培养液被吸干。 5. 取 1ml 刚配的 TB 溶液打散菌体沉淀,再加入 15mlTB(1/3 体积
存在-20℃。通过将21该溶液,HS和ESGRO加入450DMEM中制备培养基,02靘滤膜过滤。贮存于4℃。注:一瓶DMEM是500。贮存液DMEM(高糖)马血清(HS)L-谷氨酰胺(200M)MEMNEAA(10M)HEPES(1M)?-巯基乙醇(55M)PESTESGRO复苏细胞细胞被冻存在10%二甲基亚砜(DMSO)中防止结晶的形成,结晶的形成会损害细胞。然而,二甲基亚砜对细胞有毒性,快速的进行细胞复苏是很重要的。步骤1.从液氮中取出一管细胞;2.将冻存管置于37℃水浴中2分钟(或放到管内溶液恰好
行)后12000rpm离心5分钟,取上清进行扩增。 2、从全血中用有机溶剂提取DNA: 1)试剂 a.10%SDS b.2.0M醋酸钠 c.20mg/ml蛋白酶K d.苯酚:氯仿:异戊醇(25:24:1) e.分析纯乙醇 f.TE(10mM Tris,1.0mMEDTA溶液,Ph7.5) 2)步骤 A、血液样本收集于含EDTA的抽血用管子中,样品用手倒转试管混合后等分。每份700μl全血可放在1.5ml的塑料离心管中,-70℃储存。 B、在解冻的(或液体的)血液
技术资料暂无技术资料 索取技术资料










