相关产品推荐更多 >
万千商家帮你免费找货
0 人在求购买到急需产品
- 详细信息
- 文献和实验
- 技术资料
- 保存条件:
-20℃
- 保质期:
2年
- 英文名:
CTP Solution(100 mM)
- 库存:
889
- 供应商:
北京百奥莱博科技有限公司
特别声明:本产品及我公司所售其他产品均为科研类试剂产品,严禁用于药物、医疗及其他非科研用途。
北京百奥莱博专注于生命科学和生物技术领域,致力于为客户提供包括胞苷三磷酸溶液(100 mM)(CTP)现货在内的一系列分子生物学试剂产品,并提供一系列相关的技术服务。
名称:胞苷三磷酸溶液(100 mM)(CTP)现货
规格:1ml
品牌:百奥莱博
编号:SY0053
产地:国产|进口
英文名:CTP Solution(100 mM)
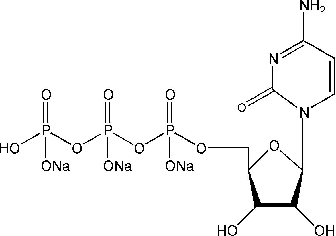
CTP即Cytidine-5-triphosphate,中文名为胞苷三磷酸,可用于分子生物学中多种相关应用,如体外转录、RNA扩增,以及胆碱和乙醇胺的合成等。
本产品为纯度≥99%(HPLC)的CTP三*盐配制所得的无色透明水溶液, pH (25℃)= 7.0±0.1,浓度为100mM,且无DNase,RNase和磷酸酶污染。
英文别名:Cytidine-5-triphosphate,trisodiu*(代"m") salt
CAS:65-47-4 (acid form)
分子式:C9H13N3Na3O14P3
分子量:549.1(acid form: 483.15)
外观:无色透明溶液
纯度:≥99%(HPLC)
结构式:
储存条件:-20℃,有效期2年。
欲咨询购买胞苷三磷酸溶液(100 mM)(CTP)现货,请致电北京百奥莱博科技有限公司,为您提供最全面周到的产品服务,除此之外,我公司正在促销以下产品:
ARB12985 小鼠抗IVIgG抗体免费代测 Mouse anti-ivigG antibody ELISA KIT
ARB13041 小鼠补体蛋白3(C3)Elisa定量检测 Mouse complement 3,c3 ELISA KIT
ARB12858 小鼠分泌型免疫球蛋白A(sIgA)elisa测定使用说明书 Mouse secretory immunoglobulin a,siga ELISA KIT
碱式乙酸铝 BBD 142-03-0
SJ0830 乙酸纤维素
噻*(代"吩")-2-羧酸酰肼 Creatine phosphate sodiu*(代"m") salt 2361-27-5
ARB10251 人乙酰胆碱酯酶(AChE)Elisa分析 Human acetylcholinesterase,ache ELISA KIT
F010105 小鼠抗HIV(P24)抗体 Monoclonal Mouse Anti-HiV(P24)
90-05-1 α-甲氧基酚(愈创木酚)α-Methoxyphenol
ARB13448 鸡白介素5(IL-5)Elisa方法检测
F030631 FITC标记兔抗绵羊IgG抗体 Rabbit Anti-Sheep IgG*FITC
ARB13416 鸡C反应蛋白(CRP)ELISA代测服务 Chicken c-reactive protein,crp ELISA KIT
BTN81202 真菌总蛋白质微量提取试剂盒 Fungal Total Protein Miniprep Kit
胞苷三磷酸溶液(100 mM)(CTP)现货关键词:胞苷三磷酸溶液,Cytidine-5-triphosphate,trisodiu*(代"m") salt,100 mM,65-47-4
·STAT1-GFP报告基因质粒
编号:SY0156
英文名称:STAT1 GFP Reporter Plasmid
规格:1μg
STAT1 GFP Reporter是用于检测STAT1转录活性水平为目的的报告基因。STAT1(signal transducer and activator of transcription 1)对先天性免疫起关键性作用,具有抑制细胞生长、介导细胞凋亡的信号传导和抗肿瘤作用等。
STAT1 GFP Reporter主要用于检测细胞中干扰素γ诱导的信号通路的活性、药物研究以及基因过表达和RNAi表型分析等。
pGMSTAT1-GFP是我公司改造后的哺乳动物真核表达载体,在其多克隆位点插入了多个STAT1结合位点,可以高效地检测STAT1的激活水平。由于载体采用了GFP作为报告基因,更便于后续的检测。同时,对载体中预测出的其它转录因子以外的结合位点进行了适当的突变,增加了质粒的转录因子结合特异性。另外,由于质粒体积减小,使得STAT1-GFP报告基因更易于转染。
质粒图谱

pGMSTAT1 -GFP质粒测序引物
5’-TAGCAAAATAGGCTGTCCC-3’
使用说明
pGMSTAT1 -GFP可以采用常规转染方法转染哺乳动物细胞。
注意事项
1)本质粒未经我公司允许不得用于任何商业用途,也不得移交给订货人实验室以外的任何人或单位。
2)为了您的健康,实验操作时请穿实验服和带一次性手套。
储存条件:-20℃。
胞苷三磷酸溶液(100 mM)(CTP)现货关键词:胞苷三磷酸溶液,Cytidine-5-triphosphate,trisodiu*(代"m") salt,100 mM,65-47-4
F030501 FITC标记小鼠抗乙肝核心抗原抗体 Monoclonal Mouse Anti-HBcAg*FITC
ARB12804 小鼠β葡糖苷酶(β-glucosIdAse)定量分析 Mouse β-glucosidase ELISA KIT
磷钼酸* Amaranth 1313-30-0
DP412 RNA纯化试剂盒
ARB13992 猪雌二醇(E2)酶联免疫定量检测 Porcine estradiol,e2 ELISA KIT
PY02-188 葡萄糖蛋白胨琼脂 250克
9041-93-4 博莱霉素 Zeocin
ARB11753 人路氏锥虫Elisa定量检测
BL0893 FITC标记羊抗人IgG抗体
FMOC-D-甲硫*酸 5′-CDP,Na 112883-40-6
ARB12998 小鼠抗血小板抗体IgG/M/A(PA-IgG/M/A)酶标法分析 Mouse platelet antibodies igg/m/a,pa-igg/m/a ELISA KIT
F040401 乙肝表面抗原 HBSAg
HC0151 切片盒
N-(2-羟yi基)哌*(代"嗪")-N-2-羟基丙磺酸*盐 Salicyl alcohol 89648-37-3
磺胺对甲氧嘧啶 MTT 651-06-9
肝素* 1-Pentadecanol 9041-08-01
F010205 小鼠抗猴IgG抗体 Monoclonal Mouse Anti-Monkey IgG
ARB12368 大鼠转铁蛋白(TRF)elisa检测
我公司正在优惠促销核酸扩增(PCR)等系列产品,期待您的咨询选购胞苷三磷酸溶液(100 mM)(CTP)现货。
风险提示:丁香通仅作为第三方平台,为商家信息发布提供平台空间。用户咨询产品时请注意保护个人信息及财产安全,合理判断,谨慎选购商品,商家和用户对交易行为负责。对于医疗器械类产品,请先查证核实企业经营资质和医疗器械产品注册证情况。
文献和实验试剂 A. 生物素标记过氧化物酶 1 瓶 (100ul) 试剂 B. 链霉亲和素 1 瓶 (100ul) 临用前,将试剂A 和 B 与 10ml 的 PBS 缓冲液混匀即可 .( 备注 : 不含二抗 )
KFM2-100MD/3200 100A 电操DC100-220V 板后接线 塑壳断路器
民强,祝愿祖国人民幸福康泰,安居乐业。 经常碰到客户说货期长,在我们这里有现货,不存在货期长。经常有客户问品质有没有保证,在我们这里所有产品都经过严格的检测才可以出厂,并获得ISO9001质量管理体系认证。经常有客户说成本居高不下,在我们这里购买产品都是以成本最低的价格给你,所以这一点请您放下您壹佰二十条心。我也经常听到老板、报价人员、员工说忙、累,但努力了、付出了、敬业了、认真了,都没有达到理想的目标,在我们这里都会一一给你解决,有我们助您一臂之力,让您轻松舒心省心放心,您的事就是我的事
KFM2-100D/4200B 20A 电操DC100-220V 板后接线 塑壳断路器
民强,祝愿祖国人民幸福康泰,安居乐业。 经常碰到客户说货期长,在我们这里有现货,不存在货期长。经常有客户问品质有没有保证,在我们这里所有产品都经过严格的检测才可以出厂,并获得ISO9001质量管理体系认证。经常有客户说成本居高不下,在我们这里购买产品都是以成本最低的价格给你,所以这一点请您放下您壹佰二十条心。我也经常听到老板、报价人员、员工说忙、累,但努力了、付出了、敬业了、认真了,都没有达到理想的目标,在我们这里都会一一给你解决,有我们助您一臂之力,让您轻松舒心省心放心,您的事就是我的事
技术资料暂无技术资料 索取技术资料









