相关产品推荐更多 >
万千商家帮你免费找货
0 人在求购买到急需产品
- 详细信息
- 文献和实验
- 技术资料
- 保存条件:
2-8度冷藏
- 保质期:
2年
- 英文名:
Beijing Asnail Biotechnology Co., Ltd
- 库存:
大量
- 供应商:
北京阿斯雷尔生物技术有限公司
- CAS号:
123228-39-7
- 规格:
1.0mg
货号: H1012
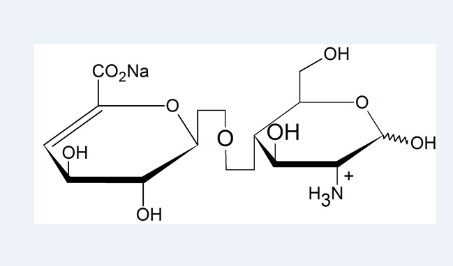
中文名称: 肝素不饱和二糖IV-H,钠盐
英文名称: Heparin disaccharide IV-H, sodium salt
分子式: C12H19NO10
分子量: 337.28
CAS登记号: 123228-39-7
附加描述: 肝素二糖IV-H是由肝素经肝素酶降解后产生的不饱和二糖,可作为HPLC法肝素结构解析的对照品,或进行化学修饰。
【肝素二糖IV-H的订购信息】
包装规格: 1.0 mg
不同包装规格请咨询北京阿斯雷尔生物技术有限公司。
【关于肝素二糖和肝素酶】
肝素二糖是以肝素或硫酸乙酰肝素为起始材料,经肝素酶降解后分离纯化得到的。
肝素二糖和肝素酶是对肝素和低分子肝素进行结构表征的重要工具,其常见用途包括:二糖谱,1,6-成环率测试。
【关于Asnail和阿斯雷尔】
Asnail是阿斯雷尔旗下品牌,其产品线包括肝素酶、发色底物、凝血因子和寡糖对照品等。
北京阿斯雷尔生物技术有限公司成立于2017年,公司业务范围包括实验室仪器耗材、动物血制品研发生产和诊断试剂行业产品开发。
我们为相关领域客户提供专业服务和优质产品,为客户采购缩短流程,提高效率,节约成本,力争成为客户信赖的稳定供应商。
风险提示:丁香通仅作为第三方平台,为商家信息发布提供平台空间。用户咨询产品时请注意保护个人信息及财产安全,合理判断,谨慎选购商品,商家和用户对交易行为负责。对于医疗器械类产品,请先查证核实企业经营资质和医疗器械产品注册证情况。
文献和实验核蛋白提取 实验准备: 1 4℃离心机 2 根据标本数计算所需I,II,III,IV总体积,取出液体,并加入蛋白酶抑制剂,(III由加蛋白酶抑制剂I与加蛋白酶抑制剂II混合物) 实验操作: 1 收集细胞。10ml 对照细胞(1-2*105/ml )培养48h后,15ml 离心管收集,300g(1370 rpm)* 5min。弃上清,加1ml 1*PBS轻轻涡旋混匀后转移至1.5ml EP管。 2 4℃,300g * 5min,弃上清。 3 重悬
基(III) hCOs 形成培养基(I) hCOs 形成培养基(II) hCOs 形成培养基(III) hCOs 形成培养基(IV) 近岸蛋白产品货号 基础培养基 DMEM-F12 RPMI-1640 RPMI-1640 RPMI-1640 RPMI-1640 RPMI-1640 DMEM-F12 RPMI-1640 RPMI-1640 RPMI-1640 penicillin-streptomycin
90μM 90μM 90μM 90μM 90μM - 90μM 90μM 90μM 90μM Matrigel (growth factor-reduced) - - - - - - 10% 10% 10% 50% - - - - 一、hiPSCs培养 1、将 hiPSCs 接种在用丝裂霉素 C 处理过的小鼠胚胎成纤维细胞(MEFs)上。 2、加入 1mg/ml 胶原酶 IV
技术资料暂无技术资料 索取技术资料







