万千商家帮你免费找货
0 人在求购买到急需产品
- 详细信息
- 文献和实验
- 技术资料
- 保存条件:
2-8度冷藏
- 保质期:
2年
- 英文名:
Beijing Asnail Biotechnology Co., Ltd
- 库存:
大量
- 供应商:
北京阿斯雷尔生物技术有限公司
- CAS号:
136098-01-6
- 规格:
1.0mg
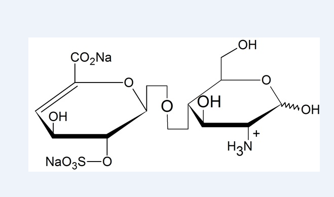
货号: H1011
中文名称: 肝素不饱和二糖III-H,钠盐
英文名称: Heparin disaccharide III-H, sodium salt
分子式: C12H18NNaO13S
分子量: 439.32
CAS登记号: 136098-01-6
附加描述: 肝素二糖III-H是由N-脱硫酸化肝素经肝素酶II降解后产生的不饱和二糖,可作为HPLC法肝素结构解析的对照品,或进行化学修饰。
【肝素二糖III-H的订购信息】
包装规格: 1.0 mg
不同包装规格请咨询北京阿斯雷尔生物技术有限公司。
【关于肝素二糖和肝素酶】
肝素二糖是以肝素或硫酸乙酰肝素为起始材料,经肝素酶降解后分离纯化得到的。
肝素二糖和肝素酶是对肝素和低分子肝素进行结构表征的重要工具,其常见用途包括:二糖谱,1,6-成环率测试。
【关于Asnail和阿斯雷尔】
Asnail是阿斯雷尔旗下品牌,其产品线包括肝素酶、发色底物、凝血因子和寡糖对照品等。
我们秉承“专业至上,诚实守信”的经营理念,为相关领域客户提供专业的服务和优质的产品,为客户采购缩短流程,提高效率,节约成本,力争成为客户所信赖的稳定供应商。
阿斯雷尔 (Asnail) 的经营宗旨是:不求在行业做得最大,但求在行业做的最久。不求与客户合作得最快,但求与客户合作得最久。
风险提示:丁香通仅作为第三方平台,为商家信息发布提供平台空间。用户咨询产品时请注意保护个人信息及财产安全,合理判断,谨慎选购商品,商家和用户对交易行为负责。对于医疗器械类产品,请先查证核实企业经营资质和医疗器械产品注册证情况。
文献和实验核蛋白提取 实验准备: 1 4℃离心机 2 根据标本数计算所需I,II,III,IV总体积,取出液体,并加入蛋白酶抑制剂,(III由加蛋白酶抑制剂I与加蛋白酶抑制剂II混合物) 实验操作: 1 收集细胞。10ml 对照细胞(1-2*105/ml )培养48h后,15ml 离心管收集,300g(1370 rpm)* 5min。弃上清,加1ml 1*PBS轻轻涡旋混匀后转移至1.5ml EP管。 2 4℃,300g * 5min,弃上清。 3 重悬
腺及颈部淋巴结浅表器官、双侧颈动脉、椎动脉血管) 检查所见:甲状腺左叶实性结节,大小约 2.6cm×2.4cm×1.5cm,边界清,内可见点状强回声。甲状腺右叶多发实性或囊实性结节,大者约 1.2cm×0.4cm,双侧颈总动脉内中膜普遍性增厚,并多发粥样硬化斑块形成,右侧椎动脉部分椎间段可见,内径较细约 0.11cm,血流速度减低,血流阻力增高,左侧椎动脉血流速度偏高。脂肪肝。前列腺内钙化灶,前列腺小囊性结构,大小 0.8cm×0.5cm。 诊断意见:甲状腺左叶实性结节 (TI-RADS III
bp) 双链RNA ,从而验证RNaseIII 的消化能力,结果表明,1个单位的RnaseIII 在37度1小时可以将1mg 的双链RNA 降解为30bp以下,主要是1215bp 的siRNA s 混合物。用其他基因的双链RNA ,同样证实RNaseIII 能够消化各种双链RNA 序列。另外用Cyclophillin, c-myc, Map Kinase 9, PKC-alpha, Raf-1, Nautilus, 和 h-ras 等基因的双链RNA 作为 RNase III 底物,也可以得到同样
技术资料暂无技术资料 索取技术资料






