万千商家帮你免费找货
0 人在求购买到急需产品
- 详细信息
- 文献和实验
- 技术资料
- 保存条件:
2-8度冷藏
- 保质期:
2年
- 英文名:
Beijing Asnail Biotechnology Co., Ltd
- 库存:
大量
- 供应商:
北京阿斯雷尔生物技术有限公司
- CAS号:
136098-11-8
- 规格:
1.0mg
货号: H1007
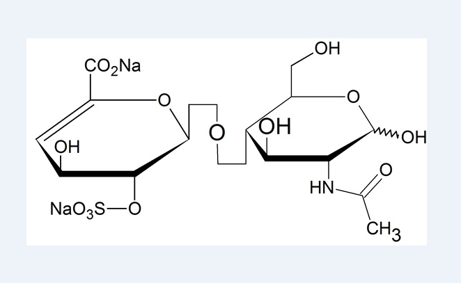
中文名称: 肝素不饱和二糖III-A,钠盐
英文名称: Heparin disaccharide III-A, sodium salt
分子式: C14H19NNa2O14S
分子量: 503.34
CAS登记号: 136098-11-8
附加描述: 肝素二糖III-A是由肝素经肝素酶II降解后产生的少量不饱和二糖,可作为HPLC法肝素结构解析的对照品,或进行化学修饰。
【肝素二糖III-A的订购信息】
包装规格: 1.0 mg
不同包装规格请咨询北京阿斯雷尔生物技术有限公司。
【关于肝素二糖和肝素酶】
肝素二糖是以肝素或硫酸乙酰肝素为起始材料,经肝素酶降解后分离纯化得到的。
肝素二糖和肝素酶是对肝素和低分子肝素进行结构表征的重要工具,其常见用途包括:二糖谱,1,6-成环率测试。
【关于Asnail和阿斯雷尔】
Asnail是阿斯雷尔旗下品牌,其产品线包括肝素酶、发色底物、凝血因子和寡糖对照品等。
北京阿斯雷尔生物技术有限公司成立于2017年,公司业务范围包括实验室仪器耗材、动物血制品研发生产和诊断试剂行业产品开发。我们为相关领域客户提供专业的服务和优质的产品,为客户采购缩短流程,提高效率,节约成本,力争成为客户所信赖的稳定供应商。
风险提示:丁香通仅作为第三方平台,为商家信息发布提供平台空间。用户咨询产品时请注意保护个人信息及财产安全,合理判断,谨慎选购商品,商家和用户对交易行为负责。对于医疗器械类产品,请先查证核实企业经营资质和医疗器械产品注册证情况。
文献和实验人III 型前胶原(PC-III ) 酶联免疫分析( ELISA ) 试剂盒使用说明书 本试剂仅供研究使用 目的:本试剂盒用于测定人血清,血浆及相关液体样本中III 型前胶原(PC-III )的 含量。 实验原理: 本试剂盒应用双抗体夹心法测定标本中 人 III 型前胶原( PC-III ) 水平。用纯化的 人 III 型前胶原( PC-III )抗体 包被微孔板,制成固相抗体,往包被单抗的微孔中
% ),这使得化学合成siRNA 的成本升高。体外转录制备长片断RNA 并不难,但是由于研究表明长片断的双链RNA (>29bps )在哺乳动物细胞中通常会引发抗病毒反应―― 一种非特异基因表达抑制,而目前体外转录往往无法制备小于29bp 的小分子siRNA s 。一个新的研究发现,用RNase III 降解长片断双链RNA 成为siRNA s 库也能够有效诱导特异的基因沉默,这样可以避免了筛选有效siRNA s 的漫长过程,从而快速,经济的实现特定基因表达的沉默。在线虫、果蝇和其他一些物种的RNA 干扰
Class III peroxidases are heme -containing proteins of the secretory pathway with an extremely high number of isoenzymes, indicating the tremendous and important functions of this protein family. This chapter describes fractionation
技术资料暂无技术资料 索取技术资料






