相关产品推荐更多 >
万千商家帮你免费找货
0 人在求购买到急需产品
- 详细信息
- 询价记录
- 文献和实验
- 技术资料
- 保质期:
有效期2年
- 英文名:
Ionomycin,Calcium Salt
- 库存:
大量
- 供应商:
翌圣生物科技(上海)股份有限公司
- CAS号:
56092-82-1
- 保存条件:
粉末-20℃避光冻存
- 规格:
1mg
离子霉素(Ionomycin),一种来源于Streptomyces conglobatus的聚醚类窄谱抗生素,有效作用于G+菌。常用作一种有效的钙离子载体,高度选择性结合钙离子(Ca2+ >Mg2+ >>Sr2+=Ba2+)。是一种可动离子载体,通过直接刺激钙池调控钙内流(Store-operated calcium entry)跨越生物膜而增强钙离子内流。离子霉素可动员细胞内钙离子存储,提高胞内钙离子水平,刺激胞内细胞因子的产生,因此常作为一种工具用以钙离子介导的细胞内信号转导研究。
细胞信号通路研究中,Ionomycin常与PMA (Cat# 50601ES)联合使用刺激细胞产生细胞因子,以及与蛋白转运抑制剂如Monensin和Brefeldin A连用研究细胞因子在细胞内的滞留等。
本品系钙盐形式的离子霉素,可供更稳定的保存。本品以粉末形式提供,-20℃稳定保存2年。另提供乙醇溶解的储存液(货号:50402ES03),-20℃稳定保存1年。
产品性质
| CAS号(CAS NO.) |
56092-82-1 |
| 分子式(Formula) |
C41H70O9·Ca |
| 分子量(Molecular Weight) |
747.1 |
| 外观(Appearance) | 固体粉末 |
| 纯度(Purity) |
≥ 98% |
| 溶解性(Solubility) |
溶于乙醇(20 mg/mL),DMSO(5 mg/mL),DMF(1.2 mg/mL) |
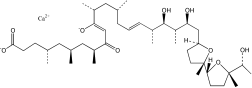
| 结构式(Structure) |
|
运输和保存方法
室温运输。粉末-20℃避光冻存,有效期2年。
注意事项
1)为了您的安全和健康,请穿实验服并戴一次性手套操作。
2)粉末溶解前请先短暂离心,以保证产品全在管底。
3)本产品仅用于科研用途,禁止用于人身上。
使用方法
储存液配制:向1 mg粉末(Mw:747.1 g/mol)内加入268 μL DMSO配制5 mM的储存液。
【注】:粉末的稳定性高于储存液,建议在第一次使用之前才配制储存液。
工作液体系:可直接用预热的培养基或者缓冲液稀释到需要的工作液浓度,常用的有效浓度为:1-10 μM。可参考文献或者根据具体的细胞类型,达到的实验目的来进行摸索和优化最适的浓度。
客户使用该产品发表的科研文献(部分)
[1] Zhao M, Duan N, Wang Y, et al. CD5+ B lymphocytes secrete IL-10 rather than TGF-β1 which control the immune response in autoimmune haemolytic anaemia/Evans syndrome[J]. Autoimmunity, 2019, 52(1): 12-20.
[2] Chen R, Ning Y, Zeng G, et al. The miR-193a-5p/NCX2/AKT axis promotes invasion and metastasis of osteosarcoma[J]. Journal of Cancer, 2021, 12(19): 5903.
[3] Xu S, Cheng X, Wu L, et al. Capsaicin induces mitochondrial dysfunction and apoptosis in anaplastic thyroid carcinoma cells via TRPV1-mediated mitochondrial calcium overload[J]. Cellular Signalling, 2020, 75: 109733.
[4] Ma H, Tan Y, Wen D, et al. DC-CTL targeting carbonic anhydrase IX gene combined with iAPA therapy in the treatment of renal cell carcinoma[J]. Human vaccines & immunotherapeutics, 2021, 17(11): 4363-4373.
HB220601
风险提示:丁香通仅作为第三方平台,为商家信息发布提供平台空间。用户咨询产品时请注意保护个人信息及财产安全,合理判断,谨慎选购商品,商家和用户对交易行为负责。对于医疗器械类产品,请先查证核实企业经营资质和医疗器械产品注册证情况。
- 作者
- 内容
- 询问日期
文献和实验[1] Zhao M, Duan N, Wang Y, et al. CD5+ B lymphocytes secrete IL-10 rather than TGF-β1 which control the immune response in autoimmune haemolytic anaemia/Evans syndrome[J]. Autoimmunity, 2019, 52(1): 12-20.
[2] Chen R, Ning Y, Zeng G, et al. The miR-193a-5p/NCX2/AKT axis promotes invasion and metastasis of osteosarcoma[J]. Journal of Cancer, 2021, 12(19): 5903.
[3] Xu S, Cheng X, Wu L, et al. Capsaicin induces mitochondrial dysfunction and apoptosis in anaplastic thyroid carcinoma cells via TRPV1-mediated mitochondrial calcium overload[J]. Cellular Signalling, 2020, 75: 109733.
[4] Ma H, Tan Y, Wen D, et al. DC-CTL targeting carbonic anhydrase IX gene combined with iAPA therapy in the treatment of renal cell carcinoma[J]. Human vaccines & immunotherapeutics, 2021, 17(11): 4363-4373.
相关专题 离子霉素分子式 C41H70O9C,分子量: 747.07。是一种由ATCC产生的链霉菌属的抗生素,实验过程中常被当做钙离子载体 使用穿过各种生物膜,还可用于提高细胞内的Ca离子水平以及诱导神经细胞凋亡。 离子霉素是从美国标准菌库中产生出来的,其钙盐的分子量为746。离子霉素是对钙离子有亲和力的离子载体 ,可以使其从胞外进入细胞溶胶,或者从细胞内的库释放到细胞溶胶内。离子霉素也可结合镁离子等,但其结合作用比钙离子弱。离子霉素
/ 毫升。 Ca 2 在凝血时可使凝血酶原活化而成为凝血酶的不可缺少的因素,还有在原生动物的伪足形成和纤毛、鞭毛的运动,以及肌肉收缩和神经内的兴奋传导等多细胞的活动时也是绝对不可缺少的。钙质海绵、腔肠动物、环节动物、甲壳类、软体动物等的骨骼, CaCO 3 是主要的成分,而脊椎动物的骨骼则是无机钙盐的络合物 CaCO 3 · nCa 3 ( PO 4 ) 2 [ 或( CaOH · Ca 4 ( PO 4 ) 3 ) 2 ] 。这些骨成分的代谢与磷酸单脂酶和碳酸脱氢酶有关。食物
at lower salt concentrations, whereas many primer pairs producing short amplification products worked better at higher salt concentrations. This is illustrated in the three figures below in which there is a realtive shift in the intensity of the products













