相关产品推荐更多 >
万千商家帮你免费找货
0 人在求购买到急需产品
- 详细信息
- 文献和实验
- 技术资料
- 库存:
1
- 英文名:
μCaler® EMS Panel v1.0
- 供应商:
纳昂达(南京)
- 保存条件:
-20℃
μCaler® EMS Panel v1.0 (Early Methylation for Screening) 精选了经 NMPA 和 FDA 批准的位点,同时囊括了文献和专利报道中具有重要意义的位点,共计 2097 个 CpG 位点。覆盖 9 大高发癌种,包括肺癌、结直肠癌、胃癌、肝癌、乳腺癌、膀胱癌、前列腺癌、宫颈癌、卵巢癌,涉及 76 个与致癌和肿瘤抑制相关的甲基化候选基因。探针设计涵盖基因组约 20 Kb 区域,为全面且精准的甲基化早筛提供支持。
基因列表
| 癌种 | Biomarker |
| 肺癌 (Lung Cancer) | SCT、HOXA7、RASSF1、SHOX2、PTGER4 |
| 结直肠癌 (Colorectal Carcinoma) | NDRG4、BCAT1、Septin9、BMP3、TFPI2、SDC2、SFRP2 |
| 胃癌 (Gastric Cancer) | Septin9、RNF180、TCF4、RPRM、SDC2、TERT |
| 肝癌 (Liver Cancer) | SCN4B、BDH1、HOXA10、PLAC8、BMPR1A、TEPP、SPACA6、MIXL1、TSC22D1 |
| 乳腺癌 (Breast Cancer) | CDO1、PITX2、GSTP1、GP5、APC |
| 膀胱癌 (Carcinoma Cancer) | SOX1、GALR1、DMRTA2、EVX2、SOX17、DCHS2、TWIST1、TBX5、HOXA11、SIM2、LHX2 |
| 前列腺癌 (Prostatic Cancer) | CCND2、CDH1、MCAM、PENK、PITX2、PTGS2、RARB、LINC02028、SLCO3A1、HES5、TPM4、FHAD1、SOX1-OT、IGFBP3、ZNF154、FEZF2、APC |
| 宫颈癌 (Cervical Cancer) | SOX1、PAX1、JAM3、TAFA4、ASTN1、DLX1、ITGA4、RXFP3、SOX17 |
| 卵巢癌 (Ovarian Cancer) | PCDHB18P、CDO1、HOXA9、LYPD5、CDH13、FOXD3、ZNF671、HOXA11、FBXO32、OPCML、BLACAT1、LRRC41、GNE、FAIM2、CAPN2、SIM2 |
产品特色
- 多癌种检测:一次性覆盖 9 大癌种多基因的 CpG 位点。
- 多样本兼容性:适用于 gDNA、cfDNA 和不同等级的 FFPE 样本。
- 精准定量甲基化水平:实现对肿瘤及癌旁组织甲基化水平的准确定量。
- 高效捕获技术:结合 μCaler® Total Solution for Methylation,确保数据质量均一,捕获效率和稳定性更高。
- 可靠性高:采用独家专利型探针设计,全面检测甲基化状态,提供可靠的结果。
- 稳定交付周期:自有核酸工厂,现货交付,保障交货周期的稳定性。
- 灵活定制:针对特定单一/多癌种,支持定制包含不同基因及不同规模 CpG 位点的 Panel 单独使用或者 Spike-in。
产品表现
兼容不同样本类型

图 1. μCaler® EMS Panel v1.0 应用于 gDNA 及 cfDNA 样本时的捕获表现。A. gDNA 样本;B. cfDNA 样本;C. Fold 80 base penalty;D. gDNA 样本靶区域 CpG total depth (去重后)。使用 NadPrep® Methyl Library Preparation Module 分别对样本进行预文库构建,gDNA 使用 NadPrep® DNA Methyl Bisulfite Conversion Module (BS) 进行甲基化文库转化,cfDNA 分别使用 BS 和酶学 (EM) 两种方式进行甲基化文库转化,500 ng/预文库投入,以 μCaler® Hybrid Capture Reagents v2 和 μCaler® EMS Panel v1.0 完成杂交捕获。
注:gDNA 样本为人类基因组 DNA 标准品 (Promega, G1471),投入量 50 ng;cfDNA 样本为血浆 cfDNA,投入量 20 ng。

图 2. μCaler® EMS Panel v1.0 应用于不同等级 FFPE 样本时的捕获表现。A. 捕获表现;B. Fold 80 base penalty。使用 NadPrep® Methyl Library Preparation Module 分别对样本进行预文库构建,衔接 NadPrep® DNA Methyl Bisulfite Conversion Module 进行甲基化文库转化,500 ng/预文库投入,以 μCaler® Hybrid Capture Reagents v2 和 μCaler® EMS Panel v1.0 完成杂交捕获。
注:FFPE 为临床肺癌样本,投入量 50 ng。样本分级标准:FFPE B:15 Kb 左右有主带,但存在中度弥散;FFPE C:条带主要分布在 200-2500 bp,呈弥散状;FFPE D:条带主要分布在 100-1000 bp,呈弥散状。
临床样本检测表现
结直肠癌



注:CRC: Colorectal Cancer。

图 4. μCaler® EMS Panel v1.0 应用于临床结直肠癌及其癌旁组织时的甲基化水平检出情况。A. 结直肠癌配对样本 CpG 甲基化水平;B. 结直肠癌候选 Biomarker 在临床样本中的 CpG 甲基化水平。
注:CRC: Colorectal Cancer;Pt: Peritumoral tissue。
卵巢癌

图 5. μCaler® EMS Panel v1.0 应用于临床卵巢癌及其癌旁组织时的甲基化水平检出情况。A. 卵巢癌配对样本 CpG 甲基化水平;B. 卵巢癌候选 Biomarker 在临床样本中的 CpG 甲基化水平。
注: OVCA: Ovarian Cancer;Pt: Peritumoral tissue 。
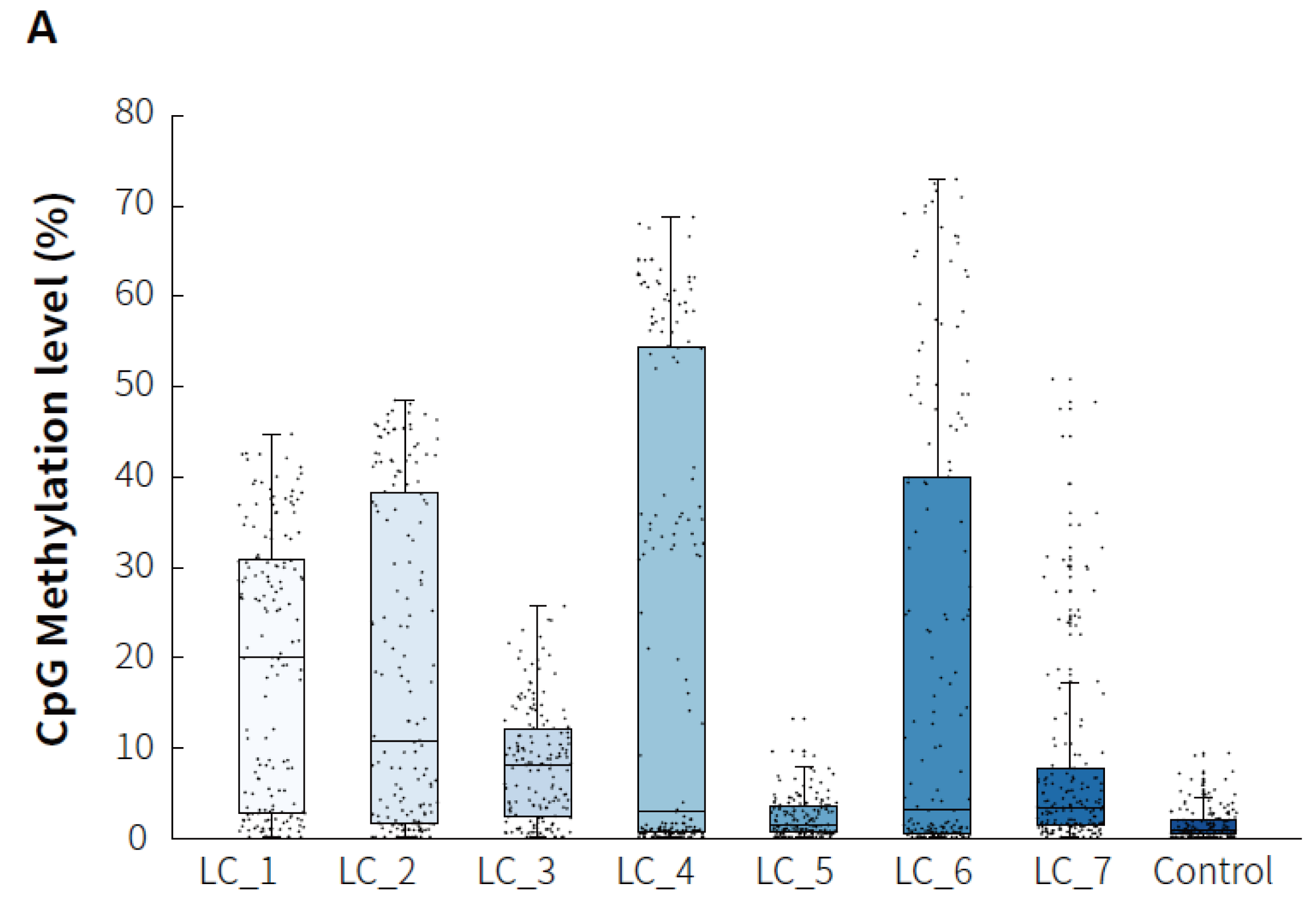
肺癌



注:LC: Lung Cancer。
本产品仅限研究使用,不用于临床诊断。
| 产品 | 货号 |
| μCaler® EMS+ Panel v1.0, 16 rxn | 1101501 |
| μCaler® EMS+ Panel v1.0, 96 rxn | 1101502 |
本产品仅限研究使用,不用于临床诊断。
风险提示:丁香通仅作为第三方平台,为商家信息发布提供平台空间。用户咨询产品时请注意保护个人信息及财产安全,合理判断,谨慎选购商品,商家和用户对交易行为负责。对于医疗器械类产品,请先查证核实企业经营资质和医疗器械产品注册证情况。
文献和实验taken directly from this presentation from ABI’s website.Sequencing on the SOLiD machine starts with library preparation. In the simplest fragment library, two different adapters are ligated to sheared genomic DNA (left panel of Fig. 1). If more rigorous
drift particularly in cells known to have an unstable karyotype (i.e. CHO Prod. No. 85050302-1v1, BHK 21 Prod. No. 85011433-1v1) *Loss of cell line due to exceeding finite life-span e.g. human diploid cells such as MRC-5 (Prod. No. 84101801-1v1
dishes (e.g., Corning® CellSTACK®). 6. CO 2 incubator and biosafety cabinet. 7. Filter bottle, 0.5–1 L, 0.2-μm pore size (Corning or equivalent). 2.2. Preparation of Wnt3A CM for Fractionation 1. 20% (v/v) Triton X-100. 2. 1 M Tris-HCl, pH











