相关产品推荐更多 >
万千商家帮你免费找货
0 人在求购买到急需产品
- 详细信息
- 文献和实验
- 技术资料
- 英文名:
ProLong™ Live Antifade Reagent, for live cell imaging
- 供应商:
赛默飞世尔科技
- 规格:
2 mL
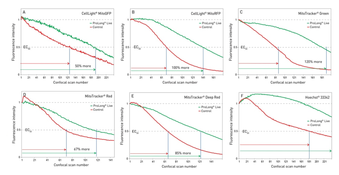
Invitrogen™ ProLong™ Live 抗淬灭试剂含有来自天然大肠杆菌质膜的酶,只在细胞外工作而不进入胞内,几乎不影响细胞活力、细胞增殖及各种细胞功能,且使用便捷:
✔ 适用多种荧光基团:荧光蛋白, Hoechst, MitoTracker等
✔ 直接滴加即可,稳定信号长达48h以上
✔ 对各种细胞功能无影响
✔ 可兼容任何培养基、缓冲液等

ProLong Live可有效增强多种荧光基团稳定性,成像时间延长50% 以上。
风险提示:丁香通仅作为第三方平台,为商家信息发布提供平台空间。用户咨询产品时请注意保护个人信息及财产安全,合理判断,谨慎选购商品,商家和用户对交易行为负责。对于医疗器械类产品,请先查证核实企业经营资质和医疗器械产品注册证情况。
文献和实验是通过有效调节自体吞噬从而改善癌症的化学疗法。迄今为止,研究与自体吞噬的诱导有关的早期事件几乎不可能,因为新形成的自噬体太小、运动得太快,而无法用传统显微镜成像。 “高分辨率、活细胞成像 技术的开发可以让我们加快对这种难以捉摸的过程的理解,为自体吞噬调控剂的开发铺平了道路, ”Kung说 生物光子学科学技术中心(CBST)的科学家预计,由于这种显微镜的3-D能力、高速和高空间分辨率,它和它的后继型号将极大地推动亚细胞层次上的生物过程的可视化,带来新的发现并促进分子
Live imaging with Drosophila tissue culture cells
Introduction Live imaging provides an important complementation to the "snapshot" view obtained in fixed tissue by immunofluorescence. It allows following dynamic cellular processes as they unfold "in vivo", and often reveals
LIVE/DEAD® Violet Viability/Vitality Kit
实验原理 Principle of the method The acetoxymethyl (AM) ester derivatives of fluorescent indicators make up one of the most useful groups of compounds for the study of live cells. Modification of carboxylic acids
技术资料暂无技术资料 索取技术资料











