相关产品推荐更多 >
万千商家帮你免费找货
0 人在求购买到急需产品
- 详细信息
- 文献和实验
- 技术资料
- 库存:
1000
- 英文名:
DSPE-PEG-phosphoric acid
- CAS号:
N/A
- 保质期:
一年
- 供应商:
深圳市魅罗科技有限公司
- 保存条件:
-20℃以下冰冻、干燥
- 规格:
50mg
phosphoric acid-PEG-DSPE DSPE-PEG-phosphoric acid 磷酸-聚乙二醇-磷脂
关键产品信息
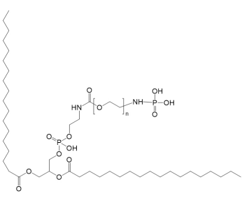
中文名称:磷脂-聚乙二醇-磷酸
简称 : DSPE-PEG-phosphoric acid
品牌: 魅罗科技(MeloPEG)
结构:

纯度:95%以上
注意事项
保持干燥
存储条件
-20℃以下冰冻、干燥
应用
DSPE-PEG-phosphoric acid 是一种由脂肪酸(DSPE)、聚乙二醇(PEG)和磷酸基团组成的两亲性分子。DSPE 结构使其能够嵌入脂质膜,PEG 提供良好的水溶性和生物相容性,能延长体内循环时间,而末端的磷酸基团可与金属离子或无机材料表面结合,常用于纳米药物递送、表面修饰和生物成像等领域。
应用举例
药物递送系统:DSPE-PEG能形成稳定的脂质体或纳米颗粒载体,磷酸基团可用于靶向或共价固定药物。
靶向修饰:磷酸末端可以用于与某些无机表面(如金属氧化物)结合,实现定向修饰。
成像或诊断:作为功能化材料包覆磁性纳米粒子或量子点,提高其生物兼容性和靶向性。
相关目录:
DSPE-PEG-Menthol 磷脂-聚乙二醇-薄荷醇
DSPE-PEG-Vitamin A 磷脂-聚乙二醇-视黄醇
DSPE-PEG-Phosphorylethanolamine 磷脂-聚乙二醇-乙-醇胺磷酸酯
DSPE-PEG-DCA 磷脂-聚乙二醇-脱氧胆酸
DSPE-PEG-N-p-Tosylglycine 磷脂-聚乙二醇-N-对甲苯磺酰甘氨酸
DPPE-PEG-DOTA 磷脂-聚乙二醇-大环配体
风险提示:丁香通仅作为第三方平台,为商家信息发布提供平台空间。用户咨询产品时请注意保护个人信息及财产安全,合理判断,谨慎选购商品,商家和用户对交易行为负责。对于医疗器械类产品,请先查证核实企业经营资质和医疗器械产品注册证情况。
文献和实验磷的含氧酸之一。作为磷酸盐和磷酸酯广泛分布于生物界。在生物体内磷几乎都是以磷酸的形式存在。这里所谓磷酸,通常是指正磷酸H3 PO4 (具有二个 P的 H4 P2 O7 为焦磷酸)。其与相当于同族氮的化合物的硝酸不同,它几乎没有氧化作用,也不进行生物学上的氧化还原反应。其一钾盐和二钾盐的混合溶液在 pH6— 8范围内缓冲能力很大,最广泛地用作生物化学缓冲液。磷酸除了以酯的形式成为核酸、磷脂质、磷蛋白等生物体的主要构成成分之外,一般形成高能磷酸键,起着能量载体的作用,并且一般在物质
磷酸酯 phosphoric acid ester,phosphoric ester
磷酸结合在醇羟基上的化合物。磷酸因为是三碱基酸,可能有单酯、二酯、三酯三种,在生物体内存在着前二种。作为生物成分,或代谢中间产物可广泛见到。核酸、磷脂质是二酯形式。糖的酯是糖代谢的中间产物,核苷酸是核苷的磷酸酯。
6-sulfonic acid),2,2'-连氮基-双(3-乙基苯并噻吡咯呆-6磺酸)。6、96孔ELISA板。7、0.15mol/L,pH7.4 PBS:配其它液体用。8、包被缓冲液: 0.05mol/L,pH9.6 Na2CO3-NaHCO3缓冲液。9、洗涤液: 0.05%Tween 20-PBS。10、稀释液:4%PEG-洗涤液(用于稀释标准品和酶标抗体)。11、底物缓冲液:0.1mol/L,pH5.0柠檬酸-磷酸氢二钠缓冲液。12、3%H2O2。13、血清、枸缘酸盐或EDTA抗酸血浆、其它体液及细胞
技术资料暂无技术资料 索取技术资料










