相关产品推荐更多 >

TPP-PEG-PLA 磷酸三苯酯-聚乙二醇-聚乳酸 PLA-PEG-TPP
¥99
CD19 Monoclonal Antibody, FITC/PE/PE-Cy5/APC Conjugated 不同荧光标记抗CD19抗体
¥99
108334-68-5 | Syntide 2 | PLARTLSVAGLPGKK | Ca2+- 和钙调蛋白 (CaM) 依赖性蛋白激酶 II (CaMKII) 底物肽
¥99
216867-99-1 | UBI29-41| TGRAKRRMQYNRR | 细菌靶向肽 | Thr-Gly-Arg-Ala-Lys-Arg-Arg-Met-Gln-Tyr-Asn-Arg-Arg
¥99
105802-84-4 | PLSRTLSVAAKK | Pro-Leu-Ser-Arg-Thr-Leu-Ser-Val-Ala-Ala-Lys-Lys| 蛋白激酶 C (PKC) 磷酸化的选择性底物
¥99
万千商家帮你免费找货
0 人在求购买到急需产品
- 详细信息
- 文献和实验
- 技术资料
- 库存:
1000
- 英文名:
DSPE-PEG-SA
- CAS号:
N/A
- 保质期:
一年
- 供应商:
深圳市魅罗科技有限公司
- 保存条件:
-20°干燥避光
- 规格:
50mg
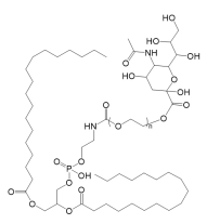
DSPE-PEG-sialic acid DSPE-PEG-SA SA-PEG-DSPE 磷脂-聚乙二醇-唾液酸
关键产品信息
中文名称:磷脂-聚乙二醇-唾液酸
简称 : DSPE-PEG-SA
品牌: 魅罗科技(MeloPEG)
结构:
纯度:95%以上
注意事项
保持干燥
存储条件
-20℃以下冰冻、干燥
应用
DSPE-PEG-SA是由磷脂(DSPE)、聚乙二醇(PEG)和唾液酸(SA)组成的一种功能化脂质聚合物复合物,具有长循环特性和肿瘤靶向性,广泛应用于药物递送。
DSPE-PEG-SA组分介绍和特性
1. DSPE(1,2-二硬脂酰-sn-甘油-3-磷酸乙-醇胺)
DSPE是DSPE-PEG-SA的疏水性部分,由两条长链脂肪酸(硬脂酸)和一个磷脂乙-醇胺头基组成,能够在水相中自组装形成脂质双层或脂质体。作为脂质载体的核心成分,DSPE具有良好的疏水性和膜融合特性,能嵌入细胞膜或人工脂质体中,形成稳定的纳米颗粒。其在DSPE-PEG-SA中起到了稳定纳米载体骨架的作用,使其能够包载疏水性药物,增强药物在体内的稳定性和持久性。
2. PEG(聚乙二醇)
PEG是DSPE-PEG-SA的中间亲水性桥接部分,具有良好的水溶性和生物相容性。PEG链通过空间位阻效应减少蛋白吸附和吞噬作用,延长纳米载体在血液中的循环时间,降低免疫系统清除率。此外,PEG还提供了灵活的连接位点,便于唾液酸或其他靶向分子的偶联。通过调整PEG链的分子量和长度,可以进一步优化DSPE-PEG-SA的药物释放速率和体内动力学特性。
3. SA(唾液酸,Sialic Acid)
SA是DSPE-PEG-SA的靶向性功能基团,以N-乙酰神经氨酸为代表,具有负电荷和特异性识别能力。唾液酸能够与肿瘤细胞或特定免疫细胞表面的唾液酸结合Ig样凝集素(Siglecs)特异性结合,实现靶向递送。在药物递送中,SA基团显著增强肿瘤积累和细胞内摄取,使药物更高效地作用于目标部位。此外,SA在某些疾病(如肿瘤和炎症)部位的表达上调,使DSPE-PEG-SA具有疾病特异性。
相关目录:
DSPE-PEG-Emtricitabine 磷脂-聚乙二醇-恩曲他滨
DSPE-PEG-GA 磷脂-聚乙二醇-甘草次酸
DSPE-PEG-DOX 磷脂-聚乙二醇-阿霉素
DSPE-PEG-5-HT 磷脂-聚乙二醇-L-5-羟基色氨酸
DSPE-PEG-ALN 磷脂-聚乙二醇-阿仑膦-酸钠
DSPE-PEG-SAS 磷脂-聚乙二醇-烷基磺酸盐
DSPE-PEG-Vinylsulfone 磷脂-聚乙二醇-乙-烯砜
风险提示:丁香通仅作为第三方平台,为商家信息发布提供平台空间。用户咨询产品时请注意保护个人信息及财产安全,合理判断,谨慎选购商品,商家和用户对交易行为负责。对于医疗器械类产品,请先查证核实企业经营资质和医疗器械产品注册证情况。
文献和实验Angiogenic Vessel-Targeting DDS by Liposomalized Oligopeptides
of PEGylated liposomes, we synthesized a novel lipid derivative of the peptide, distearoylphosphatidylethanolamine–polyethyleneglycol–APRPG (DSPE–PEG–APRPG). The lipid derivative of APRPG peptide is expected to be readily incorporated into liposomal membrane
技术资料暂无技术资料 索取技术资料





