搜索到 49 条记录
- 当前分类

蔗糖(供注射用)生物制品冻干保护药用辅料FDA登记DMF号
蔗糖(供注射用生物制品冻干保护药用辅料FDA登记DMF号-艾伟拓 商品名:蔗糖(供注射用) 英文名称:sucrose (for injection) 化学名称:D-(+)-Saccharose,Α-D-葡萄吡喃苷基-Β-D-呋喃果糖苷 CAS号:57-50-1 EINECS:20
品牌:AVT货号:AVT0007

L-阿拉伯糖(L-(+)-Arabinose)
产品信息 产品名称 产品编号 规格 价格(元) L-(+)-Arabinose L-(+)-阿拉伯糖 60312ES10 10 g 188.00 L-(+)-Arabinose L-(+)-阿拉伯糖 60312ES60 100 g 1504.00 产品描述 L-阿拉伯糖(L-Ar
品牌:翌圣生物(Yeasen)货号:60312ES10

注射乳糖 DFE Lactohale 200
吸入乳糖系列产品都严格执行GMP标准,并完全符合FDA和其他监管机构的高质量标准要求。 DFE Pharma 主要有两个系列的乳糖:Lactohale、Respitose。吸入制剂乳糖是官方批准用于吸入制剂的少数辅料之一,吸入乳糖的性质选择是基于不同的参数:如装置(乳糖流动性)、
品牌:DFE Pharma货号:DFE002
询价

a-D-吡喃葡萄糖-1,2-原酸甲酯
a-D-Glucopyranose 1,2-(methyl orthoacetate) 55865-04-8 C9H16O7 236.2
品牌:PY货号:210818
询价

TINGO鲜活细胞保存液(冷链运输专用)
鲜活细胞保存液是一款化学成分限定、不含血清及动物源成分、且全部原料为药用级别的产品,本品适用于2℃~8℃条件下保存剂运输人免疫细胞、间充质干细胞等多种活细胞。通过自研专利技术可实现活细胞回收率达90%以上,实现对细胞低温长效保护!TINGO系列鲜活细胞低温保存液经过上千例验证,在干
品牌:九天览月货号:JZT2301-50
¥1000-5000

同位素13-C标记的海藻糖
货号 产品名称 分子式 分子量 CAS号 同位素13-C标记的海藻糖 TRE-002 α,α-[UL-13C12]trehalose (1-O-α-D-[UL-13C6] glucopyranosyl- α-D-[UL-13C6]glucopyranoside) 13C12H22
品牌:荷兰IsoLife货号:TRE-002等
询价

D-半乳糖(植物来源)细胞培养
企业已逐渐放弃使用动物来源的D-半乳糖,开始采用纯植物来源的半乳糖。 配套支持文件: COA & MSDS分析报告单和安全数据表; MOA分析方法; TSE/BSE声明 Plant Origin Statement植物来源声明; Package Statement包装说明; Sta
品牌:RONPHARM货号:R010001

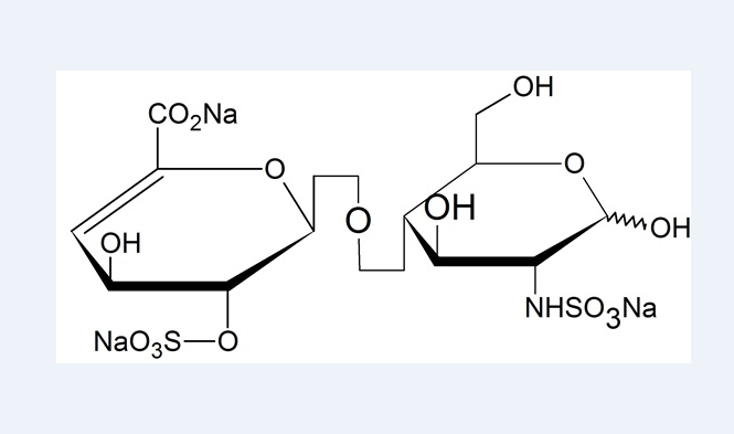
肝素二糖III-S
【肝素二糖III-S的规格参数】 货号: H1003 中文名称: 肝素不饱和二糖III-S,钠盐 英文名称: Heparin disaccharide III-S, sodium salt 分子式: C12H16NNa3O16S2 分子量: 563.35 CAS登记号: 1360
品牌:Dextra货号:H1003

Sigma货号D8375现货D-2-脱氧葡萄糖13611631389上海睿安生物
Sigma货号D8375现货D-2-脱氧葡萄糖13611631389上海睿安生物 说明 一般描述:2-脱氧-D-葡萄糖是一种不可代谢的葡萄糖类似物,通过靶向己糖激酶(糖酵解的限速步骤)来破坏糖酵解。它被己糖激酶磷酸化为2-DG-P,在细胞中积累,消耗细胞ATP。这种方法可以有效地饿
文献支持品牌:Sigma-Aldrich货号:D8375-100g
¥32999.05

FITC-labeled Dextran (MW4,000)
黄色或橙色,在水、盐溶液和许多有机溶剂(如DMSO、甲酰胺、乙二醇、甘油、六甲基磷酰胺等)中具有高溶解度[24],但不溶于低级脂肪醇、丙`酮、氯仿、二甲基甲酰胺。 包装清单: 产品编号 产品名称 包装 ST2930-50mg FITC-labeled Dextran (MW4,00
品牌:碧云天(beyotime)货号:ST2930
¥191-719

63-α-D-maltotriosyl-maltotriose
63-α-D-麦芽三糖-麦芽糖63-α-D-maltotriosyl-maltotriose介绍: 中文名称:63-α-D-葡糖基麦芽三糖 英文名称:63-α-D-Glucosyl-maltotriose 货号:O-GMT CAS:35175-16-7 规格:50 mg 价格:2
品牌:megazyme货号:O-MTMT

超高分辨率琼脂糖AGAROSE SFR
货。 ABCAM试剂,周三定货,2-3周到货。 eBioscience试剂,部分常用现货,周三定货,2-3周到货。 STANT CRUZ试剂,周三定货,2-3周到货。 Biolegend试剂,周三定货,2-3周到货。 Peprotech试剂,部分常用现货,周三定货,2-3周到货。
品牌:Amresco货号:J234
¥1433

β-龙胆二糖
β-龙胆二糖 β-Gentiobiose 说明: C12H22O11 MW:342.30 Purity≥96% Store:-15~-20℃说明:1 本小店所有宝贝均属于科研试剂 不得用于制药与临床 2 凡是在小店购买金额达到400元以上的 免除运费 3 需要开票的客户(普票)请留
品牌:合肥博美货号:LG2773
¥208-3000

硫酸葡聚糖50万(DSS)
白色或类白色粉末。硫酸葡聚糖是葡聚糖的聚阴离子衍生物,由葡聚糖和chlorosulfonic acid的酯化反应形成。其中含硫量约为17%,相当于葡聚糖分子的每个葡萄糖残糖中平均含1.9个硫酸基团。 用途: ·提高核酸杂交率 - 溶液中含10%的硫酸葡聚糖,DNA链的再退火率约增
品牌:Seebio货号:184500
询价

植酸酶
产品规格: Phytase 植酸酶 USA 5g Phytase 植酸酶 USA 25g 试剂品牌:amresco/sigma/Spectrum/国产 植酸酶严格的质量控制体系,保证产品的质量,欢迎来电订购! 本公司一律开具正规发票,上海市国家税务局通用机打发票。 开票的客户,请
品牌:USA货号:F770-1

Glycerol 甘油
说明:气相色谱固定液(最高使用温度75℃,溶剂为甲醇);抗 生素发酵用营养剂;用于菌种保藏。 别名:丙三醇;1,2,3-Propanetriol;Glycerin;Glycyl alcohol 分子式:C3H8O3 分子量:92.09 CAS#:56-81-5 外观:无色澄清粘稠
品牌:Solarbio货号:G8190

维百奥生物代理GLYCON Biochemicals产品
维百奥生物代理GLYCON Biochemicals品牌全系列产品 GLYCON Biochemicals GmbH公司是碳水化合物化学领域的专业企业,提供多种化学反应和工艺技术,专注于碳水化合物及糖缀合物的合成。主要产品包括:非离子型去污剂、离子型去污剂、碳水化合物、糖缀合物,
品牌:Glycon Biochemicals货号:N/A
¥1000-4999

三氯蔗糖,56038-13-2,阿拉丁
中文名:三氯蔗糖 英文名:Sucralose 纯度或规格:≥98% SPU:S107614 CAS:56038-13-2 存储温度:- 运输条件:常规运输 查看阿拉丁官网此产品相关对应页面:
品牌:阿拉丁货号:S107614







