相关产品推荐更多 >
万千商家帮你免费找货
0 人在求购买到急需产品
- 详细信息
- 文献和实验
- 技术资料
- 库存:
1
- 英文名:
Lexogen TraPR small RNA Extraction Kit
- 保质期:
18个月
- 供应商:
仲黎商贸
- 保存条件:
常温
- 规格:
48-96反应
小RNA是基因表达的重要调控因子,并参与各种调控通路,如癌症、炎症和发育。此外,sRNAs可以作为疾病检测或监测的生物标记物,也可以作为药物靶点。这些sRNAs与Argonaute家族(AGOs)的特定蛋白结合,形成RNA诱导的沉默复合体(RISCs),并引导AGO蛋白到达各自的靶点。
目前特异性分离功能性sRNAs主要是通过免疫共沉淀(Co-IP)的方式。Co-IP是一种非常特异且灵敏的方法用于分离功能性sRNAs,但它有很大的局限性,仅限于一种感兴趣的生物体,需要昂贵且可用的抗体。另外,用商业化的sRNA提取试剂盒(膜柱法)对sRNA进行分离是一种比较快速、简单和廉价的方式,但特异性差,因为所有小于200nt的RNA都会被纯化。因此,RNAseq的大部分reads将被浪费在RNA降解产生的非功能性RNA片段上。后者可通过繁琐的切胶回收等步骤来提高特异性,但是切胶回收仍然纯粹是基于片段的大小选择,因此不能区分功能性sRNAs和降解RNA片段。
迄今为止,还没有将AGO Co-IP的特异性与简单的商业化sRNA提取试剂盒相结合的方法(表1)。
表1 | TraPR将sRNA特异性AGO Co-IP的优点与快速简单的sRNA提取试剂盒相结合。

TraPR 结合了快速、简单且高度特异的功能性小RNAs提取流程
TraPR (Trans-kingdom, rapid, affordable Purification of RISCs 1) 可通过15分钟简单的柱纯化,然后1小时标准的RNA提取流程,即可从RISCs中特异分离功能性sRNAs(图1)。作为物种非依赖性提取方法,TraPR不需要事先对样品进行任何表征。通过对RISCs的纯化,TraPR小RNA提取试剂盒富集所有的功能、生理相关的sRNAs,包括piRNAs、sirna、miRNAs,而不需要繁琐的切胶回收步骤或事先了解样品的AGO成分。
目前特异性分离功能性sRNAs主要是通过免疫共沉淀(Co-IP)的方式。Co-IP是一种非常特异且灵敏的方法用于分离功能性sRNAs,但它有很大的局限性,仅限于一种感兴趣的生物体,需要昂贵且可用的抗体。另外,用商业化的sRNA提取试剂盒(膜柱法)对sRNA进行分离是一种比较快速、简单和廉价的方式,但特异性差,因为所有小于200nt的RNA都会被纯化。因此,RNAseq的大部分reads将被浪费在RNA降解产生的非功能性RNA片段上。后者可通过繁琐的切胶回收等步骤来提高特异性,但是切胶回收仍然纯粹是基于片段的大小选择,因此不能区分功能性sRNAs和降解RNA片段。
迄今为止,还没有将AGO Co-IP的特异性与简单的商业化sRNA提取试剂盒相结合的方法(表1)。
表1 | TraPR将sRNA特异性AGO Co-IP的优点与快速简单的sRNA提取试剂盒相结合。

TraPR 结合了快速、简单且高度特异的功能性小RNAs提取流程
TraPR (Trans-kingdom, rapid, affordable Purification of RISCs 1) 可通过15分钟简单的柱纯化,然后1小时标准的RNA提取流程,即可从RISCs中特异分离功能性sRNAs(图1)。作为物种非依赖性提取方法,TraPR不需要事先对样品进行任何表征。通过对RISCs的纯化,TraPR小RNA提取试剂盒富集所有的功能、生理相关的sRNAs,包括piRNAs、sirna、miRNAs,而不需要繁琐的切胶回收步骤或事先了解样品的AGO成分。
图1 | TraPR提供超高的功能性sRNA特异性,同时节省2个工作日。AGO Co-IP对功能性sRNAs具有类似的特异性,但需要1-2天,与之相比,TraPR至少节省了8小时的工作时间。虽然商业化sRNA提取试剂盒(膜柱法)具有快速和简单优势,但不能特异性的获得功能性sRNA。后者可通过基于片段大小的选择方法来提高灵敏度,但操作繁琐,需要2个工作日以上。
TraPR 分离原理
TraPR是一种简单和稳定的柱纯化方法:将样品裂解、离心、将上清裂解液加载到TraPR柱上。TraPR利用RISC保守的物理结构特性将其进行洗脱,大的RNA和DNA仍保留在柱子上(图2)。随后,可通过酚/氯仿提取sRNA,纯化得到的sRNA适用于所有分子生物学和NGS应用。另外,TraPR可以从容易降解的材料或难以处理的样品(如尿液,血液或血浆)中分离sRNAs。污染性RNA,如tRNA、rRNA和mRNA的降解产物被有效地排除在纯化的RISC组分之外。
TraPR是一种简单和稳定的柱纯化方法:将样品裂解、离心、将上清裂解液加载到TraPR柱上。TraPR利用RISC保守的物理结构特性将其进行洗脱,大的RNA和DNA仍保留在柱子上(图2)。随后,可通过酚/氯仿提取sRNA,纯化得到的sRNA适用于所有分子生物学和NGS应用。另外,TraPR可以从容易降解的材料或难以处理的样品(如尿液,血液或血浆)中分离sRNAs。污染性RNA,如tRNA、rRNA和mRNA的降解产物被有效地排除在纯化的RISC组分之外。
图2 | TraPR分离RISCs的原理。
TraPR无需切胶回收流程
通常来说,来自total RNA的sRNA-Seq文库只包含一小部分与功能性sRNAs相对应的reads(图3A)。因此,通常采用片段选择的方法如切胶回收来增加sRNA reads的比对率(图3B)。TraPR通过快速和简单的柱纯化方式取代了这些冗长和容易出错的切胶回收步骤(图3C)。
通常来说,来自total RNA的sRNA-Seq文库只包含一小部分与功能性sRNAs相对应的reads(图3A)。因此,通常采用片段选择的方法如切胶回收来增加sRNA reads的比对率(图3B)。TraPR通过快速和简单的柱纯化方式取代了这些冗长和容易出错的切胶回收步骤(图3C)。
图3 | TraPR无需切胶回收即可富集功能性sRNA。A) 总RNA(TRIzol提取),B) 切胶回收纯化,C) TraPR分离的拟南芥sRNA。数据来自Grentzinger etal., 2020.
TraPR兼容所有真核生物,无物种依赖性
TraPR小RNA分离试剂盒可以很容易地分离任何生物体、组织、细胞类型或生物液体中所有RISC相关的sRNAs。无需事先了解感兴趣有机体的特性(图4)。
TraPR兼容所有真核生物,无物种依赖性
TraPR小RNA分离试剂盒可以很容易地分离任何生物体、组织、细胞类型或生物液体中所有RISC相关的sRNAs。无需事先了解感兴趣有机体的特性(图4)。
图4 | 在纤毛虫、植物、酵母、线虫和哺乳动物样本中,用TraPR对RISC相关的sRNAs进行分离。从input组分提取的RNA(I)、TraPR洗脱组分(E)和柱中留下的组分(R),各组分用凝胶电泳和放射自显影法进行放射标记和分析。数据来自Grentzinger et al., 2020.
TraPR可从困难样本中提取高质量的sRNA
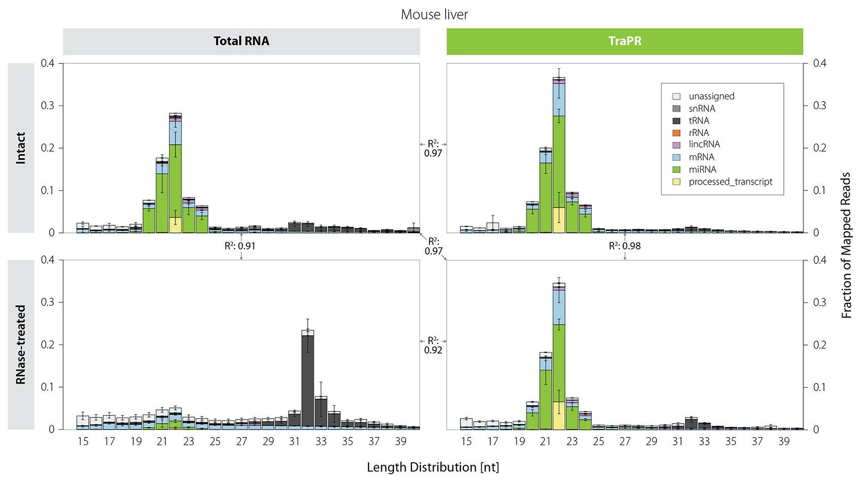
基于片段大小的选择不能区分功能性sRNAs和降解的短RNA片段。因此,从容易发生RNA降解的样品制备的sRNA文库往往被tRNA-、mRNA-和rRNA来源的片段严重污染(图5,左)。相比之下,即使是RNA降解的样品,TraPR分离提取也可保持sRNA真实的大小分布(图5,右)。
TraPR可从困难样本中提取高质量的sRNA
基于片段大小的选择不能区分功能性sRNAs和降解的短RNA片段。因此,从容易发生RNA降解的样品制备的sRNA文库往往被tRNA-、mRNA-和rRNA来源的片段严重污染(图5,左)。相比之下,即使是RNA降解的样品,TraPR分离提取也可保持sRNA真实的大小分布(图5,右)。
图5 | TraPR能够从RNA降解样品中干净地分离出高质量的sRNA。用RNaseT1处理小鼠肝脏裂解液30分钟,以模拟RNA降解。不同处理样品来源的sRNA文库的reads序列大小分布和生物类型如图所示。不同处理之间的R值指各自计算的miRNA reads数的相关性。数据来自Grentzinger et al., 2020.
TraPR可富集低丰度的miRNSs,如血浆样本
血浆样本用于生物标志物的发现越来越重要,但它往往容易发生RNA降解和/或只包含少量的sRNAs。即使在这种具有挑战性的样本中TraPR也能使sRNAs的富集保持在同一个数量级(图6A
和B)。它进一步降低了reads数的分散性,特别是低含量的miRNAs,使其能够精确定量(图6C)。从液体样品中分离小RNA变得更容易,TraPR非常适合于生物标志物发现应用。
TraPR可富集低丰度的miRNSs,如血浆样本
血浆样本用于生物标志物的发现越来越重要,但它往往容易发生RNA降解和/或只包含少量的sRNAs。即使在这种具有挑战性的样本中TraPR也能使sRNAs的富集保持在同一个数量级(图6A
和B)。它进一步降低了reads数的分散性,特别是低含量的miRNAs,使其能够精确定量(图6C)。从液体样品中分离小RNA变得更容易,TraPR非常适合于生物标志物发现应用。
图6 | TraPR从血浆样本中稳健地检测出低含量的sRNA。从150ul小家鼠血浆中分离的总RNA(TRIzol)或TraPR分离的RNA进行文库构建并测序。A)和B)比对到的reads的大小分布和生物类型。C)用箱形图表示miRNA reads数的离散度,按miRNA丰度分组。数据来自Grentzinger et al.,2020.
TraPR input范围宽,无需rRNA去除
某些组织类型的小RNA分析研究需要大量且费力的样品制备过程。例如,在果蝇的卵巢中,30nt长的2S rRNA非常丰富。因此,一个典型的蝇性腺piRNA文库的生成需要2-3天的处理,其中包括切胶回收的片段选择,定制的rRNA去除,以及2S rRNA和其他丰富的RNA片段的氧化过程。但是,氧化处理能有效去除污染片段的同时也能去除大部分miRNAs。相比之下,使用TraPR分离sRNA完全保留了miRNAs、siRNA和piRNAs,而不需要消耗污染的非调节的RNAs(图7A)。此外,TraPR可以在较宽的输入范围内使用,且获得一致的结果,如最少的两对果蝇卵巢至50对果蝇卵巢(图7B)。
某些组织类型的小RNA分析研究需要大量且费力的样品制备过程。例如,在果蝇的卵巢中,30nt长的2S rRNA非常丰富。因此,一个典型的蝇性腺piRNA文库的生成需要2-3天的处理,其中包括切胶回收的片段选择,定制的rRNA去除,以及2S rRNA和其他丰富的RNA片段的氧化过程。但是,氧化处理能有效去除污染片段的同时也能去除大部分miRNAs。相比之下,使用TraPR分离sRNA完全保留了miRNAs、siRNA和piRNAs,而不需要消耗污染的非调节的RNAs(图7A)。此外,TraPR可以在较宽的输入范围内使用,且获得一致的结果,如最少的两对果蝇卵巢至50对果蝇卵巢(图7B)。

图7 | TraPR在清除果蝇卵巢中的2S rRNA的同时,稳定地富集了所有种类的sRNAs。NGS文库中比对到sRNAs的大小、分布和生物类型。A左) 取10g总RNA进行片段切胶筛选,然后进行核糖rRNA去除(+/-氧化)。A右)以TraPR进行RNA提取,用2或50对卵巢作为input材料。B)2对卵巢与50对卵巢作为提取量,两者结果的相关性。数据来自Grentzinger et al., 2020.
TraPR 与Lexogen的Small RNA文库构建试剂盒搭配使用获得更好的结果
TraPR小RNA提取试剂盒适用于各种下游应用,如qRT-PCR、低分子量RNA印迹、sRNA克隆、NGS样品制备等。TraPR完全兼容各种基因接头连接的小RNA-seq文库制备流程,包括Lexogen的小RNA文库制备试剂盒(Cat. No. 052, Fig. 8)。为方便使用,还提供了组合货号(Cat. No. 135)。
TraPR 与Lexogen的Small RNA文库构建试剂盒搭配使用获得更好的结果
TraPR小RNA提取试剂盒适用于各种下游应用,如qRT-PCR、低分子量RNA印迹、sRNA克隆、NGS样品制备等。TraPR完全兼容各种基因接头连接的小RNA-seq文库制备流程,包括Lexogen的小RNA文库制备试剂盒(Cat. No. 052, Fig. 8)。为方便使用,还提供了组合货号(Cat. No. 135)。
图8 | Lexogen Small RNA Library Prep Kit与TraPR搭配使用获得高质量的结果。小鼠血浆中miRNA的相关性分析:A) microRNA的R值相关分析显示TraPR与lexogen及竞品的小RNA-Seq建库试剂盒兼容。B)lexogen与竞品I的小RNA建库试剂盒分别用总RNA(试剂盒提取)和TraPR-isolated sRNAs生成的文库获得的microRNA reads数各自的相关性图。数据来自Grentzinger et al., 2020.
TraPR是一种切胶free,过柱的分离方法,可从所有真核生物的RISC中分离功能性小RNAs。只需15分钟,TraPR可从困难的样品或各自复杂的样品、如细胞类型、组织和生物液体中纯化出RISC组分。TraPR小RNA提取试剂盒可获得高质量的适用于NGS应用的sRNA,高重复性,节省时间,优于目前所有的sRNA分析流程。
参考文献
1 Grentzinger T., Oberlin, S., Schott, G., et. al. (2020) Auniversal method for the rapid isolation of all known classes of functional small RNAs. Nucleic Acids Res, DOI: 10.1093/nar/gkaa472.
订购信息
TraPR是一种切胶free,过柱的分离方法,可从所有真核生物的RISC中分离功能性小RNAs。只需15分钟,TraPR可从困难的样品或各自复杂的样品、如细胞类型、组织和生物液体中纯化出RISC组分。TraPR小RNA提取试剂盒可获得高质量的适用于NGS应用的sRNA,高重复性,节省时间,优于目前所有的sRNA分析流程。
参考文献
1 Grentzinger T., Oberlin, S., Schott, G., et. al. (2020) Auniversal method for the rapid isolation of all known classes of functional small RNAs. Nucleic Acids Res, DOI: 10.1093/nar/gkaa472.
订购信息
| 货号 | 产品 | 规格 |
| 128.08 | TraPR Small RNA Isolation Kit, 8 preps | 8 |
| 128.24 | TraPR Small RNA Isolation Kit, 24 preps | 24 |
风险提示:丁香通仅作为第三方平台,为商家信息发布提供平台空间。用户咨询产品时请注意保护个人信息及财产安全,合理判断,谨慎选购商品,商家和用户对交易行为负责。对于医疗器械类产品,请先查证核实企业经营资质和医疗器械产品注册证情况。
文献和实验相关实验
癌症、炎症和发育等调节途径。使用基于柱的 sRNA 提取试剂盒进行分离不会赋予任何特异性,因为所有低于 200 个核苷酸的RNA 都会被纯化。因此,大多数 sRNA-Seq 数据通常对应于主要来自 rRNA 和 tRNA 的非功能性 RNA 降解片段。为了将测序数据集中在 sRNA 上,需要使用特定的选择方法,例如通过切胶回收或化学处理进行片段大小选择。这些方法极其费力、耗时,并且会导致样品损失。苏黎世联邦理工学院7 的一组 sRNA 研究人员最近开发了一种快速方便的提取方法,称为 TraPR
技术资料暂无技术资料 索取技术资料
Lexogen TraPR 功能性小RNA提取试剂盒
¥3577 - 8652










