万千商家帮你免费找货
0 人在求购买到急需产品
- 详细信息
- 文献和实验
- 技术资料
- 服务名称:
保健食品功效评价与安全性评价 / 缓解体力疲劳模型评价
- 提供商:
杭州环特生物科技股份有限公司
体力疲劳常表现为肌肉出现僵硬、肿胀和疼痛,动作慢、不协调;反应迟钝,判断错误,注意力不集中等。斑马鱼大部分器官的作用机理与人类高度相似,而且斑马鱼生长发育周期短,器官发育较快,有利于开展缓解体力疲劳功效的研究。亚硫酸钠通过化学反应消耗水中的氧气,造成水中斑马鱼缺氧,经过一段时间诱发缺氧性疲劳。斑马鱼在氧气不足的情况下,机体自发活动将会减弱,同时,肌肉贮备糖原无氧酵解生成乳酸,乳酸堆积可使局部H+浓度升高,过量H+直接作用于肌原纤维,抑制肌动蛋白和肌球蛋白的结合,导致肌肉收缩能力下降,机体运动能力减弱。疲劳斑马鱼运动距离下降、乳酸堆积、氧自由基(ROS)上升、ATP酶含量降低。
我们评价疲劳有4个指标:(1)行为分析仪检测斑马鱼总运动距离;(2)酶标仪检测乳酸含量;(3)酶标仪检测ROS水平;(4)酶标仪检测ATP含量。
【实验方案】
我们将受测试斑马鱼分成三组,分别是正常对照组、模型对照组和服用抗疲劳剂组。其中正常对照组未经任何处理,模型对照组和服用抗疲劳剂摄入等量的亚硫酸钠以诱发斑马鱼疲劳模型(亚硫酸钠通过溶解到养鱼用水中的方式摄入到斑马鱼体内)。服用抗疲劳剂组摄入亚硫酸钠的同时摄入中华跌打丸、红牛和脉动饮料之类的抗疲劳剂。
服用一段时间抗疲劳剂后,我们检测斑马鱼的总运动距离、乳酸含量、ROS水平和ATP含量。
【结果展示】

图1. 斑马鱼运动轨迹图
黑线:斑马鱼静止运动轨迹;绿线:中速运动;红线:快速运动
可以看到,服用抗疲劳剂组的斑马鱼运动情况与正常对照组比较相似,没有明显的总运动距离减少。

图2. 斑马鱼乳酸含量
与模型对照组比较,*p<0.05
可以看到,服用抗疲劳剂组的斑马鱼乳酸含量比模型对照组明显降低。

图3. 斑马鱼ROS水平
与模型对照组比较,***p<0.001
可以看到,服用抗疲劳剂组的斑马鱼ROS水平比模型对照组明显降低。

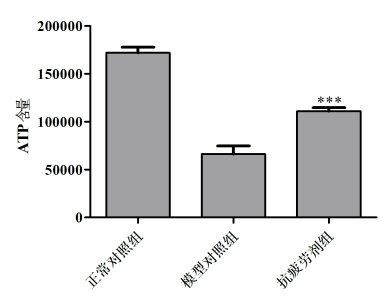
图4. 斑马鱼ATP含量
与模型对照组比较,***p<0.001
可以看到,服用抗疲劳剂组的斑马鱼ATP含量比模型对照组明显升高。
【评价结论】
1.经过每组30尾斑马鱼的对比实验,服用抗疲劳剂组与模型对照组比较,总运动距离明显增加、乳酸明显减少、ROS水平明显降低、ATP含量明显升高。
2.本实验证实了中华跌打丸、红牛和脉动饮料等具有明显缓解体力疲劳功效。
更多项目服务,请拨电话咨询:0571-83782130,项目经理手机 17364531293(微信同号)
风险提示:丁香通仅作为第三方平台,为商家信息发布提供平台空间。用户咨询产品时请注意保护个人信息及财产安全,合理判断,谨慎选购商品,商家和用户对交易行为负责。对于医疗器械类产品,请先查证核实企业经营资质和医疗器械产品注册证情况。
文献和实验的神经毒性、心血管毒性和肝毒性;酒精有脑发育毒性、心血管毒性和肝毒性 斑马鱼在相关领域中的应用 一、 环境与化学品评价领域欧洲——斑马鱼环境、化学品测评欧洲早在 1915 年就出现了利用斑马鱼进行环境评估测试的实验,而且目前各主要环保机构也以技术标准的形式承认利用斑马鱼进行环境评估测试的评估结果。OECD 已经颁布了 9 项化学品鱼类(斑马鱼)毒性检测标准,明确指出斑马鱼用于化学品、危险化学品、农药和人用物品的安全性检测。 美国——已检测超 1000 种化学品美国环境保护署(EPA)、美国国立卫生
基酸水平变化特征,探究了Fraxinellone致斑马鱼肝毒性的机制,为防治药物性肝损伤提供了理论依据。 本研究为探究药物性肝损伤的毒性途径和代谢标志物,本文从肝细胞受到损伤,氨基酸代谢会发生紊乱角度出发,综合氨基酸代谢组学结果,探讨斑马鱼肝毒性机制,为防治药物性肝损伤提供理论参考。 进阶思路:5-10 分文章的研究思路 相比于小于 5 分的文章,着一梯度的文章要有升级和进阶的看点:表现为样本量更大+特殊的疾病+复杂样本(比如外泌体的代谢物、肿瘤小鼠模型的代谢物等)。第二大方向是代谢组学与其它基础
一条斑马鱼拯救两个新生儿!斑马鱼首次用于SMA临床决策,破解基因变异“悬案”
见过的基因变异(VUS,即致病性不确定的基因变异)时,医生该如何判断?是选择立即启动治疗,但可能带来不必要的副作用和巨额费用,还是选择观望,但可能错过最佳治疗窗口? 2025年12月25日,一项发表于 《EMBO Molecular Medicine》 的研究,给出了一种令人振奋的解决方案:用斑马鱼代替人生病,来快速验证基因变异的致病性,这不仅解决了两个新生儿的诊断难题,更为罕见病精准诊断开辟了新路径! 01、研究亮点 利用斑马鱼模型,在18个工作日内完成了SMN1基因意义未明变异(VUS)的功能











