相关产品推荐更多 >
万千商家帮你免费找货
0 人在求购买到急需产品
- 详细信息
- 询价记录
- 文献和实验
- 技术资料
- 规格:
10mg
DiI即DiIC18(3),全称为1,1'-dioctadecyl-3,3,3',3'-tetramethylindocarbocyanine perchlorate,是最常用的细胞膜荧光探针之一,呈现橙红色荧光。DiI是一种亲脂性膜染料,进入细胞膜后可以侧向扩散逐渐使整个细胞的细胞膜被染色。
DiI在进入细胞膜之前荧光非常弱,仅当进入到细胞膜后才可以被激发出很强的荧光。DiI被激发后可以发出橙红色的荧光,DiI和磷酯双层膜结合后的激发光谱和发射光谱参考下图。其中,最大激发波长为549nm,最大发射波长为565nm。

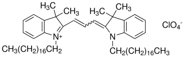
DiI的分子式为C59H97ClN2O4,分子量为933.88,CAS number为41085-99-8。
DiI可以溶解于无水乙醇、DMSO和DMF,其中在DMSO中的溶解度大于10mg/ml。发现较难溶解时可以适当加热,并用超声处理以促进溶解。
DiI被广泛用于正向或逆向的,活的或固定的神经等细胞或组织的示踪剂或长期示踪剂(long-term tracer)。DiI通常不会影响细胞的生存力(viability)。被DiI标记的神经细胞在体外培养的条件下可以存活长达4周,在体内可以长达一年。DiI在经过固定的神经元细胞膜上的迁移速率为0.2-0.6mm/day,在活的神经元细胞膜上的迁移速率为6mm/day。
DiI除了最简单的细胞膜荧光标记外,还可以用于检测细胞的融合和粘附,检测发育或移植过程中细胞迁移,通过FRAP(Fluorescence Recovery After Photobleaching)检测脂在细胞膜上的扩散,检测细胞毒性和标记脂蛋白等。
用于细胞膜荧光标记时,DiI的常用浓度为1-25μM,最常用的浓度为5-10μM。DiI可以直接染色活的细胞或组织,染色时间通常为5-20分钟。对于固定的细胞或组织,通常宜使用配制在PBS中的4%多聚`甲醛进行固定,使用其它不适当的固定液会导致荧光背景较高。
包装清单:
| 产品编号 | 产品名称 | 包装 |
| C1036 | DiI (细胞膜红色荧光探针) | 10mg |
| — | 说明书 | 1份 |
保存条件:
4℃避光保存,一年有效。配制的储存液-20℃避光保存,半年有效。
注意事项:
荧光染料均存在淬灭问题,请尽量注意避光,以减缓荧光淬灭。
本产品仅限于专业人员的科学研究用,不得用于临床诊断或治疗,不得用于食品或药品,不得存放于普通住宅内。
为了您的安全和健康,请穿实验服并戴一次性手套操作。
风险提示:丁香通仅作为第三方平台,为商家信息发布提供平台空间。用户咨询产品时请注意保护个人信息及财产安全,合理判断,谨慎选购商品,商家和用户对交易行为负责。对于医疗器械类产品,请先查证核实企业经营资质和医疗器械产品注册证情况。
- 作者
- 内容
- 询问日期
文献和实验Analysis of Complete Neuroblast Cell Lineages in the Drosophila Embryonic Brain via DiI Labeling
, consisting of specific neural cell types that develop in defined time periods. In this chapter we describe a method that labels entire NB lineages in the embryonic brain. Clonal DiI labeling allows us to follow the development of a NB lineage starting
,也可使流动性加大。 生物膜适宜的流动性是体现生物膜正常功能的必要条件,在一定范围内,膜流动性增加,有利于膜中酶分子的扩散和旋转运动,使酶活性增加。一些载体蛋白分子的运动性也取决于膜中脂类分子的流动性。研究发现肿瘤对化疗药物产生的耐药性主要与细胞膜P糖蛋白过度表达谷胱甘肽及其相关酶系活性改变有关,也有许多研究表明耐药细胞膜流动性较亲代敏感细胞明显增加。另有实验研究发现腹水癌细胞的恶性程度随着膜流动性的增加而增加,白血病及转移的肿瘤细胞的膜流动性远远高于非转移细胞。因此,对敏感及耐药的肿瘤细胞膜
主要分为两大类,第一类是 PKH67(绿色荧光)/PKH26(红色荧光),由于它们可以与外泌体的脂质双层膜稳定结合,所以染色效果较好,应用较广泛。 图1 PKH67 标记的外泌体与神经元之间相互作用 Acta Neuropathol Commun. 2018 Feb 15;6(1):10. 图2 PKH26 标记的外泌体与 MDA‐MB‐231 细胞共培养 Cancer Sci. 2019 Oct;110(10):3173-3182. 第二类是 Di 系列的亲脂性染料,包括DiI(橙色荧
技术资料暂无技术资料 索取技术资料











