相关产品推荐更多 >
万千商家帮你免费找货
0 人在求购买到急需产品
- 详细信息
- 文献和实验
- 技术资料
- 库存:
57
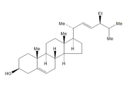
- 英文名:
Stigmasterol
- CAS号:
83-48-7
- 保质期:
详见说明书
- 供应商:
上海研生
- 保存条件:
低温冷藏
- 规格:
20mg/50mg/1g,可按客户需求包装!
| 产品名称 | 英文名称 | CAS |
| 83-48-7豆甾醇、豆固醇 | Stigmasterol | 83-48-7 |
英文名称 Stigmasterol
CAS NO. 83-48-7
分 子 量 412.7
纯 度 ≥98%
性状: 白色结晶粉末
规格: 20mg/50mg/1g,可按客户需求包装!
用途: 用于科研研究、鉴定、药理实验等
熔点: 161-170℃ (通常165~167℃)。纯度90%时熔点164~167℃
溶解性: 易溶于 、氯仿、苯、、吡啶,能溶于乙醇、酮。不溶于水。
提取来源: 细辛、玉米须、延胡索、丹参、菟丝子、三棱
药理药效: 豆甾醇具有降低胆固醇、降低心脏病的发生率、抗癌和抗炎等作用
鉴别方法: NMR;Ms
检测方法: RP-HPLC:甲醇:无水乙醇(50:50) λ:210nm(仅供参考)
贮存条件: 低温冷藏,避光,密封,干燥
注意事项: 无
有效期限: 2年
供货能力: 现货,可根据可以客户需求批量定制
优势:
1.国内对照品行业,具有多年对照品的专业及标准制定经验。
2. 高效稳定的专利纯化技术-高速逆流色谱技术的运用。
3. 特有的高速逆流色谱对照品中心及中心,保证对照品的质量可控性及批量的稳定性。
4. 严格的质量控制,通过全面的检测(1HNMR 13CNMR MS HPLC)。
5. 部分对照品已获得国家质量监督检验检疫总局颁发的标准物质证书。
HPLC注意事项:
1.83-48-7豆甾醇、豆固醇流动相必须用HPLC级的试剂,使用前过滤除去其中的颗粒性杂质和其他物质(使用0.45um或更细的膜过滤)。
2.流动相过滤后要用超声波脱气,脱气后应该恢复到室温后使用。
3.不能用纯作为流动相,这样会使单向阀粘住而导致泵不进液。
4.使用缓冲溶液时,做完样品后应立即用去离子水冲洗管路及柱子一小时,然后用甲醇(或甲醇水溶液)冲洗40分钟以上,以充分洗去离子。对于柱塞杆外部,做完样品后也必须用去离子水冲洗20ml以上。
5.长时间不用仪器,应该将柱子取下用堵头封好保存,注意不能用纯水保存柱子,而应该用有机相(如甲醇等),因为纯水易长霉。
6.每次做完样品后应该用溶解样品的溶剂清洗进样器。
7.C18柱绝对不能进蛋白样品,血样、生物样品。
8.堵塞导致压力太大,按预柱→混合器中的过滤器→管路过滤器→单向阀检查并清洗,清洗方法;①以异丙醇作溶剂冲洗:②放在异丙醇中间用超声波清洗;
9.气泡会致使压力不稳,重现性差,所以在使用过程中要尽量避免产生气泡。
10.如果进液管内不进液体时,要使用注射器吸液:通常在输液前要进行流动相的清。
11.要注意柱子的PH值范围,不得注射强酸强碱的样品,特别是碱性样品。
12.更换流动相时应该先将吸滤头部分放入烧杯中边振动边靖洗,然后插入新的流动相中。更换无互溶性的流动相时要用异丙醇过渡一下。
Neisseria meningitidis Group Y脑膜炎瑟菌Y群LAMP试剂盒
Neisseria meningitidis脑膜炎瑟菌LAMP试剂盒
Neisseria spp.瑟菌通用LAMP试剂盒
RNF190 环指蛋白190抗体C-反应蛋白检测试剂盒含量:
RNF19B 环指蛋白19B抗体程序性死亡分子-1检测试剂盒含量:
RNF111 环指蛋白111抗体轮状病毒检测试剂盒含量:
RNF113A 环指蛋白113A抗体程序性死亡配体-1检测试剂盒含量:
RNF123 环指蛋白123kODQ0YTA3ZGYmcDE9MTAuMS4wLjc2OTgmKim-1(Mouse Kidney injury molecule 1) ELISA KIT 小鼠肾损伤分子1棉酚
BNP(Human brain natriuretic peptide) ELISA Kit 人脑钠素/脑钠尿肽棉籽糖
CK20(Human cytokeratin 20) ELISA Kit 人细胞角蛋白20莫诺苯宗
ON ELISA Kit 大鼠骨粘连蛋白莫诺苷
AMA(Mouse anti-Monocyte antibody) ELISA KIT 小鼠抗单核细胞抗体牡丹皮苷kODQ0YTA3ZGYmcDE9MTAuMS4wLjc2OTgm
83-48-7豆甾醇、豆固醇Neisseria meningitidis Group Y脑膜炎瑟菌Y群LAMP试剂盒
Neisseria meningitidis脑膜炎瑟菌LAMP试剂盒
Neisseria spp.瑟菌通用LAMP试剂盒
RNF190 环指蛋白190抗体C-反应蛋白检测试剂盒含量:
RNF19B 环指蛋白19B抗体程序性死亡分子-1检测试剂盒含量:
RNF111 环指蛋白111抗体轮状病毒检测试剂盒含量:
RNF113A 环指蛋白113A抗体程序性死亡配体-1检测试剂盒含量:
RNF123 环指蛋白123kODQ0YTA3ZGYmcDE9MTAuMS4wLjc2OTgm
标准品和对照品概述:
药品检验用标准品和对照品,根据2005年版《中华人 民共和国药典》中的定义,系指用于鉴别、检查、含量测定 的标准物质。
2005年版《中华人民共和国药典》的凡例规定,标准 品、对照品(不包括色谱用的内标物质)均有药品监 督管理部门指定的单位制备、标定和供应。标准品系指用 于生物检定、抗生素或生化药品中含量或效价测定的标准 物质,按效价单位(或 g)计,以国际标准品进行标定;对照 品除另有规定外,均按干燥品(或无水物)进行计算后使 用。对照品、标准品的建立或变更其原有活性成分的含量, 应与原对照品、标准品或国际标准品进行对比,并经过协作 标定和一定的工作程序进行技术审定。
风险提示:丁香通仅作为第三方平台,为商家信息发布提供平台空间。用户咨询产品时请注意保护个人信息及财产安全,合理判断,谨慎选购商品,商家和用户对交易行为负责。对于医疗器械类产品,请先查证核实企业经营资质和医疗器械产品注册证情况。
文献和实验50 3.97 3.39 3.05 2.83 2.67 2.56 2.46 2.38 2.32 2.22 2.11 1.99 1.87 1.72 1.54 50 60 3.92 3.34 3.01 2.79 2.63 2.51 2.41 2.33 2.27 2.17 2.06 1.94 1.81 1.67 1.48 60 80 3.86 3.28 2.95 2.73 2.57 2.45 2.35 2.28 2.21 2.11 2.00 1.88 1.75 1.60 1.40 80
- A83-01 - - 0.25μM - Nicotinamide - - 5mM - N2 - - 1× - B27 - - 1× - N-acetylcysteine - - 1.25mM - 17-β Estradiol - - 10nM - p38i(SB
13 23 42 40 64 74 82 97 77 77 81 07 45 32 14 08 32 98 94 07 72 93 85 79 10 75 14 52 36 28 19 95 50 92 26 11 97 00 56 76 31 38 80 22 02 53 53 86 60 42 04 53 15 37 85 94 35 12 83 39 50 08 30 42 34 07 96 88 54 42 06 87 98 35 85 29 48 39 16 70 29 17 12
技术资料暂无技术资料 索取技术资料










