万千商家帮你免费找货
0 人在求购买到急需产品
- 详细信息
- 文献和实验
- 技术资料
- 库存:
51
- 英文名:
Stigmasterol
- CAS号:
83-48-7
- 保质期:
详见说明书
- 供应商:
上海谷研
- 保存条件:
低温冷藏
- 规格:
20mg/50mg/1g
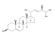
英文名称 Stigmasterol
分 子 量: 412.7
CAS NO.: 83-48-7
纯 度: ≥98%
分子式: C29H48O
性状: 白色结晶粉末
规格: 20mg/50mg/1g,可按客户需求包装!
用途: 用于科研研究、鉴定、药理实验等
熔点: 161-170℃ (通常165~167℃)。纯度90%时熔点164~167℃
溶解性: 易溶于 、氯仿、苯、醋酸酯、吡啶,能溶于乙醇、酮。不溶于水。
提取来源: 细辛、玉米须、延胡索、丹参、菟丝子、三棱
药理药效: 豆甾醇具有降低胆固醇、降低心脏病的发生率、抗癌和抗炎等作用
鉴别方法: NMR;Ms
检测方法: RP-HPLC:甲醇:无水乙醇(50:50) λ:210nm(仅供参考)
贮存条件: 低温冷藏,避光,密封,干燥
注意事项: 无
有效期限: 2年
供货能力: 现货,可根据可以客户需求批量定制生产
我们关注产品的每一个细节,因为产品与产品最大的差异在于细节。我们拥有严格的生产工艺流程和完善的质量标准控制,保证产品的质量可控性及批量生产的稳定性;完善的库存及供应体系,所有产品均能现货供应。质量承诺:产品若有质量问题,无条件退货换货。
| 产品名称 | 英文名称 | 规格 |
| 83-48-7豆甾醇、豆固醇 | Stigmasterol | 可根据客户要求大包装订制 |
1.按来源:
(1)国际化学标准物质(WHO)
(2)美国药典标准物质(USPC,USP)
(3)欧式药典标准物质(EDQM,EP)
(4)日本药局标准物(PMRJ,JP)
(5)国家药品标准物质(NICPBP,CHP)
2.按测定方法和使用对象:
(1)生物标准物质
(2)化学标准物质(化学对照物质)
3.按使用要求:
(1)国际化学对照品
(2)国家化学对照品
(3)工作化学对照品
4.按用途:
(1)鉴别用化学对照品
(2)纯度或杂质检查用对照品
(3)含量测定用对照品
(4)标准仪器用对照品
5.按药品使用对象:
(1)化学对照品
(2)中药化学对照品
(3)抗生素化学对照品
(4)麻醉药品化学对照品
标准品、对照品的区别:
一)对照品
83-48-7豆甾醇、豆固醇是指用于鉴别、检查、含量测定和校正检定仪器性能的标准物质,采用化学方法来测定,即是一般仪器的都叫做对照品。分为官方标准品和工作对照品,试剂公司买的不能作为正常的对照品使用,必须经过标定之后才可使用。
二)标准品
标准品,即标准物品,是中药标准对照品研究中心代理的作为一种衡量标准。
三)内标物
能完全溶解于样品中,且不与待测组分发生化学作用;峰位尽可能与待测组分的峰位靠近,但能与待测组分完全分开(分离度R≥1.5)的纯物质,就叫做内标物。
对照品:用于鉴别、检查、含量测定和校正检定仪器性能的标准物质。对照品系指用于生物制品理化等方面测定的特定物质,由生产单位采用与制品生产工艺相同的方法制备。对照品应尽可能与制品原液配方一致,稳定性较差的,可加不含对测定有干扰物质的适宜的稳定剂。对照品由国家药品检定机构审查认可,其标准应不低于制品的质量标准。
标准品:用于生物检定、抗生素或生物药品中含量或效价测定的标准物质,以效价单位(U)表示。品及生物参考品系指用于鉴别、检查含量或效价测定的标准物质,其制备与标定应符合“生物制品物质制备和标定规程”要求,并由药品监督管理部门指定的机构分发。企业工作标准品或参考品必须经品或参考品标化后方能使用。
对照品的管理:
(一)83-48-7豆甾醇、豆固醇规范记录:
建立标准物质台帐,定期更新台账,明确责任主体,以便做到可以追本溯源;
领用时,记录好领用时的名称、数量、时间、领用人、发放人等必要的信息;
标准物质应在有效期内使用,应定期检查标准物质的有效期,对于超限的标准物质要填写销毁登记表;建立标准物质档案。
(二)定期核查:
对于标准物质的种类、级别、介质、浓度含量、有效期、批号、环境条件、储存方法、帐物相符等等各参数,要定期核查。
定期检查实验室各检测项目所对应的标准物质是否相符。对新增检测项目所对应的标准物质应及时纳入规范管理。
存放环境条件和有效性。按标准物质证书上规定的环境条件,储存方法进行存放,及时检查是否过期。标准物质的储存环境应保证其特性完整不变。
标准物质所用介质和浓度是否满足检测方法对介质的要求。浓度是否合适,所用的介质对分析是否有影响。
(三)期间核查:
有效期短、使用频率高的标准物质,要经常性的核查;
不常使用的标准物质,在分析检测之前核查即可;
稳定性好,还未开封的标准物质,可延长核查周期;
环丙沙星杂质A ()规格:96T/48T试剂盒组装/原装
氯霉素规格:96T/48T试剂盒组装/原装
卡那霉素规格:96T/48T试剂盒组装/原装
罗红霉素规格:96T/48T试剂盒组装/原装
克拉霉素规格:96T/48T试剂盒组装/原装
柔红霉素规格:96T/48T试剂盒组装/原装
盐表柔比星规格:96T/48T试剂盒组装/原装
2乙基己规格:96T/48T试剂盒组装/原装
对硝基甲规格:96T/48T试剂盒组装/原装
头孢替安规格:96T/48T试剂盒组装/原装
阿西林规格:96T/48T试剂盒组装/原装
头孢丙规格:96T/48T试剂盒组装/原装
莫匹罗星规格:96T/48T试剂盒组装/原装
替卡西林规格:96T/48T试剂盒组装/原装
霉素规格:96T/48T试剂盒组装/原装
83-48-7豆甾醇、豆固醇兔子组织多肽抗原(TPA)Elisa Kit(学发光免疫分析法)IL1RA (Interleukin1 receptor antagonist 500ML
兔子组(HIS)Elisa Kit(学发光免疫分析法)IL1RAPL1 (Interleukin 1 receptor accessory proteinlike 1 25ML
兔子转生长因子β1(TGFβ1)Elisa Kit(学发光免疫分析法)IL2 (Interleukin2 500G
兔子主要组织相容性复合体Ⅲ类(MHCⅢ/RLAⅢ)Elisa Kit(学发光免疫分析法)IL2 (Interleukin2 25G
兔子肿瘤坏死因子相关凋亡诱导配体3(TRAILR3)Elisa Kit(学发光免疫分析法)IL23(Interleukin23 25G
兔子肿瘤坏死因子α(TNFα) Elisa Kit(学发光免疫分析法) IL23R(Interleukin23 receptor 5G
兔子中性粒细胞弹性蛋白酶(NE)Elisa Kit(学发光免疫分析法)IL4(Interleukin4 1mg
兔子脂联素(ADP)Elisa Kit(学发光免疫分析法)IL4(Interleukin4 25mg
风险提示:丁香通仅作为第三方平台,为商家信息发布提供平台空间。用户咨询产品时请注意保护个人信息及财产安全,合理判断,谨慎选购商品,商家和用户对交易行为负责。对于医疗器械类产品,请先查证核实企业经营资质和医疗器械产品注册证情况。
文献和实验50 3.97 3.39 3.05 2.83 2.67 2.56 2.46 2.38 2.32 2.22 2.11 1.99 1.87 1.72 1.54 50 60 3.92 3.34 3.01 2.79 2.63 2.51 2.41 2.33 2.27 2.17 2.06 1.94 1.81 1.67 1.48 60 80 3.86 3.28 2.95 2.73 2.57 2.45 2.35 2.28 2.21 2.11 2.00 1.88 1.75 1.60 1.40 80
- A83-01 - - 0.25μM - Nicotinamide - - 5mM - N2 - - 1× - B27 - - 1× - N-acetylcysteine - - 1.25mM - 17-β Estradiol - - 10nM - p38i(SB
13 23 42 40 64 74 82 97 77 77 81 07 45 32 14 08 32 98 94 07 72 93 85 79 10 75 14 52 36 28 19 95 50 92 26 11 97 00 56 76 31 38 80 22 02 53 53 86 60 42 04 53 15 37 85 94 35 12 83 39 50 08 30 42 34 07 96 88 54 42 06 87 98 35 85 29 48 39 16 70 29 17 12
技术资料暂无技术资料 索取技术资料










