相关产品推荐更多 >
万千商家帮你免费找货
0 人在求购买到急需产品
- 详细信息
- 文献和实验
- 技术资料
- 库存:
51
- 英文名:
Stigmasterol
- CAS号:
83-48-7
- 保质期:
详见说明书
- 供应商:
上海一研
- 保存条件:
低温冷藏
- 规格:
20mg/50mg/1g
1.规范购入使用台账,严格表明购入时间、批号、来源、数量、使用期限等内容;申购的标准品或对照品的批号要与新颁布标准品或对照品批号相符;
2.严格按照规定条件进行储存,标准品或对照品的状极不稳定,对储存条件和方式非常苛刻;
3.规范管理和使用:
(1)严格按照说明书要求,由于标准品或对照品的不稳定性,若不安产品说明书的要求操作,极易造成较大的误差,从而影响检测结果;
(2)称量精密准确,标准品和对照品的含量测定要求不同,对精密性的要求很高;
(3)对于长期贮存的制备品,应充分考虑各方面的影响因素,规范操作;
(4)同时配制两份对照溶液以控制检验误差,由于现在药品的标准含量测定方法较多采用对照比较法,在测定过程中,仅配制一份对照溶液容易造成因配制对照溶液过程出现偏差;
(5)自行标定的标准品或对照品,严格规范操作,保证标准的可靠传递,并保证其可溯源性和准确性。
| 产品名称 | 83-48-7豆甾醇、豆固醇价格 |
| 英文名称 | Stigmasterol |
| 规格 | 20mg/50mg/1g |
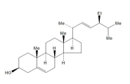
英文名称 Stigmasterol
分 子 量: 412.7
CAS NO.: 83-48-7
纯 度: ≥98%
分子式: C29H48O
性状: 白色结晶粉末
规格: 20mg/50mg/1g,可按客户需求包装!
用途: 用于科研研究、鉴定、药理实验等
熔点: 161-170℃ (通常165~167℃)。纯度90%时熔点164~167℃
溶解性: 易溶于 、正丁基仿、苯、醋酸酯、吡啶,能溶于乙醇、酮。不溶于水。
提取来源: 细辛、玉米须、延胡索、丹参、菟丝子、三棱
药理药效: 豆甾醇具有降低胆固醇、降低心脏病的发生率、抗癌和抗炎等作用
鉴别方法: NMR;Ms
检测方法: RP-HPLC:甲醇:无水乙醇(50:50) λ:210nm(仅供参考)
贮存条件: 低温冷藏,避光,密封,干燥
注意事项: 无
有效期限: 2年
供货能力: 现货,可根据可以客户需求批量定制
注意事项:
1、保存
请按照说明书的规定进行保存,一般放置于干燥阴凉处为宜;
注意产品的使用期限,过期变质的产品不宜使用。
2.使用
不同对照品性状不同,一般有以下几种使用形式:
(1)无需处理,直接使用;
(2)样品有引湿性,建议开封后一次性用完;
(3)热稳定样品,每支含水量不均匀,干燥三小时后再使用;
(4)热不稳定样品,每支含水量不均匀,减压干燥后使用;干燥温度若无特别说明,一般为室温(10-30℃)
(5)样品含水量较大,且每支含水量不均匀,临用前先自测水分。
产品优势:
价格实惠,我们是有多年销售经验的生物试剂公司,对于同行业的市场,具有独到的判断力,欢迎广大客户与我司取得联系,并询问实时报价;
保质保量,我司严格按照国家关于标准品、对照品的标准和要求进行,操作规范,检测严格;
种类齐全,有植物标准品(对照品)、中药标准品(对照品)以及其他标准品,更多信息可以与我司销售客服联系;
服务周到,我们对售前和售后进行全程跟踪,如遇什么问题,我们都会尽力帮您解决。
以下是 83-48-7豆甾醇、豆固醇价格的相关产品:
Fructus forsythiae连翅PCR鉴定试剂盒 质量规格:HPLC≥98%,标准品 5794-24-1
Semen nelumbinis莲子PCR鉴定试剂盒 质量规格:>98%,BR 1783-96-6
Plumula nelumbinis 莲子心PCR鉴定试剂盒 质量规格:>98.5%,BR,可用于细胞培养 64960-75-4
Flos campsis凌霄花PCR鉴定试剂盒 质量规格:HPLC>98%,标准品 6893-26-1
Ganoderma灵芝PCR鉴定试剂盒 质量规格:含量>90%,单钠盐 4272-74-6
TG100-115 TG100-115 677297-51-7 质量规格:>98%,PI3Kγ/δ抑制剂
TFA-aa-U TFA-aa-U 869222-68-4 质量规格:>98%,BR
TFA-aa-dU TFA-aa-dU 115794-55-3 质量规格:>98%,BR
TES;Tris乙磺酸,2-[(三(羟甲基)甲基)氨基]-1-乙磺酸 TES 7365-44-8 质量规格:>99%,AR
TES. Na;2-[(三(羟甲基)甲基)氨基]-1-乙磺酸钠 TES Sodium 70331-82-7 质量规格:>99%,AR
Tenovin-1 TENOVIN-1 380315-80-0 质量规格:>98%
TCPP[=四(4-羧苯基)卟吩](>97.0%(HPLC)(T)) TCPP [=Tetrakis(4-carboxyphenyl)porphyrin] 14609-54-2 质量规格:>97.0%(HPLC)(T)
TCEP;三-(2-甲酰乙基)膦盐酸盐 TCEP; hydrochloride 51805-45-9 质量规格:>99%,BR
TBB(4,5,6,7-四溴-1H-苯并三唑) TBBT;NSC 231634 17374-26-4 质量规格:>98%,蛋白激酶抑制剂
Tariquidar,XR-9576 Tariquidar,XR-9576 206873-63-4 质量规格:>98%,P-糖蛋白抑制剂
TAPSO;3-[ (N-三(羟甲基)甲氨基]-2-羟基丙磺酸 TAPSO 68399-81-5 质量规格:>99%,BR
TAPS;N-三(羟甲基)甲基-3-氨基丙磺酸 TAPS 29915-38-6 质量规格:>99%,细胞培养级
TAN[=1-(2-噻唑偶氮)-2-萘酚](>99.0%(T)) TAN [=1-(2-Thiazolylazo)-2-naphthol] 1147-56-4 质量规格:>99.0%(T)
TAK875 TAK-875 1000413-72-8 质量规格:>98%,GPR40激动剂
TAE684 NVP-TAE684 761439-42-3 质量规格:>98%,选择性的ALK抑制剂
TA-0910,他替瑞林 TA-0910, taltirelin 103300-74-9 质量规格:>95%,BR
S-乙酰基硫代碘化胆碱(>99%,医药级) S-Acetylthiocholine iodide 1866-15-5 质量规格:>99%,医药级
S-乙酰半胱氨酸盐酸 S-Acetamidomethyl-L-cysteine hydrochloride 28798-28-9 质量规格:>98%,BR
S-腺苷-L-蛋氨酸;S-腺苷甲硫氨酸 S-adenosyl-L-methionine (SAM) 29908-03-0 质量规格:BR,纯度>96%,干品腺苷蛋氨酸>49%
83-48-7豆甾醇、豆固醇价格兔子组织多肽抗原(TPA)Elisa Kit(学发光免疫分析法)IL1RA (Interleukin1 receptor antagonist 500ML
兔子组(HIS)Elisa Kit(学发光免疫分析法)IL1RAPL1 (Interleukin 1 receptor accessory proteinlike 1 25ML
兔子转生长因子β1(TGFβ1)Elisa Kit(学发光免疫分析法)IL2 (Interleukin2 500G
兔子主要组织相容性复合体Ⅲ类(MHCⅢ/RLAⅢ)Elisa Kit(学发光免疫分析法)IL2 (Interleukin2 25G
兔子肿瘤坏死因子相关凋亡诱导配体3(TRAILR3)Elisa Kit(学发光免疫分析法)IL23(Interleukin23 25G
兔子肿瘤坏死因子α(TNFα) Elisa Kit(学发光免疫分析法) IL23R(Interleukin23 receptor 5G
兔子中性粒细胞弹性蛋白酶(NE)Elisa Kit(学发光免疫分析法)IL4(Interleukin4 1mg
兔子脂联素(ADP)Elisa Kit(学发光免疫分析法)IL4(Interleukin4 25mg
风险提示:丁香通仅作为第三方平台,为商家信息发布提供平台空间。用户咨询产品时请注意保护个人信息及财产安全,合理判断,谨慎选购商品,商家和用户对交易行为负责。对于医疗器械类产品,请先查证核实企业经营资质和医疗器械产品注册证情况。
文献和实验50 3.97 3.39 3.05 2.83 2.67 2.56 2.46 2.38 2.32 2.22 2.11 1.99 1.87 1.72 1.54 50 60 3.92 3.34 3.01 2.79 2.63 2.51 2.41 2.33 2.27 2.17 2.06 1.94 1.81 1.67 1.48 60 80 3.86 3.28 2.95 2.73 2.57 2.45 2.35 2.28 2.21 2.11 2.00 1.88 1.75 1.60 1.40 80
- A83-01 - - 0.25μM - Nicotinamide - - 5mM - N2 - - 1× - B27 - - 1× - N-acetylcysteine - - 1.25mM - 17-β Estradiol - - 10nM - p38i(SB
13 23 42 40 64 74 82 97 77 77 81 07 45 32 14 08 32 98 94 07 72 93 85 79 10 75 14 52 36 28 19 95 50 92 26 11 97 00 56 76 31 38 80 22 02 53 53 86 60 42 04 53 15 37 85 94 35 12 83 39 50 08 30 42 34 07 96 88 54 42 06 87 98 35 85 29 48 39 16 70 29 17 12
技术资料暂无技术资料 索取技术资料










