相关产品推荐更多 >
万千商家帮你免费找货
0 人在求购买到急需产品
- 详细信息
- 询价记录
- 技术资料
- 库存:
57
- 英文名:
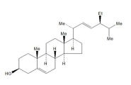
Stigmasterol
- CAS号:
83-48-7
- 保质期:
详见说明书
- 供应商:
上海莼试
- 保存条件:
低温冷藏
- 规格:
可根据客户要求订制
豆甾醇、豆固醇83-48-7图片特色优势:
1.国内对照品行业澳洲茄边碱对照品的专业及标准制定
2.高效稳定的专利纯化技术-高速逆流色谱技术的运用
3.特有的高速逆流色谱对照品中心及中心,保证对照品的质量可控性及批量的稳定性
4.严格的质量控制,通过全面的检测(1HNMR 13CNMR MS HPLC)
5.部分对照品已获得国家质量监督检验检疫总局颁发的标准物质证书
6.完善的库存及供应体系,澳洲茄边碱现货供应
7.高效的销售团队,99%的咨询可即时回复
8.已在瑞士、新加坡、泰国、韩国、比利时、西班牙等十三个国家设立代理商
ISO 9001: 2000质量管理体系认证,产品种类近3000种
产品名称 豆甾醇、豆固醇83-48-7图片
英文名称 Stigmasterol
CAS NO. 83-48-7
分 子 量 412.7
纯 度 ≥98%

分子式: C29H48O
性状: 白色结晶粉末
规格: 20mg/50mg/1g,可按客户需求包装!
用途: 用于科研研究、鉴定、药理实验等
熔点: 161-170℃ (通常165~167℃)。纯度90%时熔点164~167℃
溶解性: 易溶于 、氯仿、苯、、吡啶,能溶于乙醇、丙。不溶于水。
提取来源: 细辛、玉米须、延胡索、丹参、菟丝子、三棱
药理药效: 豆甾醇具有降低胆固醇、降低心脏病的发生率、抗癌和抗炎等作用
鉴别方法: NMR;Ms
检测方法: RP-HPLC:甲醇:无水乙醇(50:50) λ:210nm(仅供参考)
贮存条件: 低温冷藏,避光,密封,干燥
注意事项: 无
有效期限: 2年
供货能力: 现货,可根据可以客户需求批量定制
公司产品仅用于科研实验,不做其他用途!
标准品或对照品的管理规范:
1.豆甾醇、豆固醇83-48-7图片规范购入使用台账,严格表明购入时间、批号、来源、数量、使用期限等内容;申购的标准品或对照品的批号要与新颁布标准品或对照品批号相符;
2.严格按照规定条件进行储存,标准品或对照品的状极不稳定,对储存条件和方式非常苛刻;
3.规范管理和使用:
(1)严格按照说明书要求,由于标准品或对照品的不稳定性,若不安产品说明书的要求操作,极易造成较大的误差,从而影响检测结果;
(2)称量精密准确,标准品和对照品的含量测定要求不同,对精密性的要求很高;
(3)对于长期贮存的制备品,应充分考虑各方面的影响因素,规范操作;
(4)同时配制两份对照溶液以控制检验误差,由于现在药品的标准含量测定方法较多采用对照比较法,在测定过程中,仅配制一份对照溶液容易造成因配制对照溶液过程出现偏差;
(5)自行标定的标准品或对照品,严格规范操作,保证标准的可靠传递,并保证其可溯源性和准确性。
CRTAP英文名称:phospho-CstF64(Ser498)人基质γ羧基谷氨蛋白(MGP)免疫试剂盒
C1orf100英文名称:CD3E人基膜聚糖/内腔蛋白(LUM)免疫试剂盒
C1orf104英文名称:CD4人肌质/内质网钙ATP酶(ATP2A1)免疫试剂盒
C1orf112英文名称:CD45人肌抑素(MSTN)免疫试剂盒
C1orf113英文名称:CD45人肌养蛋白(dystrophin)免疫试剂盒
C1orf114 英文名称:CD45人肌细胞生成素(MYOG)免疫试剂盒
C1orf109英文名称:Connexin-36人肌激酶同工酶MM(CK-MM)免疫试剂盒
CD93英文名称:C12ORF61人肌激酶同工酶MB(CK-MB)免疫试剂盒
豆甾醇、豆固醇83-48-7图片1,6-己二醇中药对照药材进口/国产n-Myc 致癌因n-Myc抗体进口/国产HBeAb(Human anti-hepatitis B virus e antibody) ELISA Kit 人抗型肝炎病e抗体大鼠白介23(IL-23)ELISA Kit,48T/96T 进口、国产1,2,6-己三醇中药对照药材特价供应NUBP1 核苷结合蛋白1抗体进口/国产IL-11 ELISA Kit 大鼠白介11人白介27(IL-27)ELISA Kit,48T/96T 进口、国产正己醇中药对照药材现货促销NUBP2 核苷结合蛋白2抗体进口/国产EHF(Human anti-epidemic hemorrhagic fever virus IgM antibody) ELISA Kit 人抗流行性出血热病抗体IgM小鼠白介27(IL-27)ELISA Kit,48T/96T 进口、国产聚二醇2000中药对照药材特价促销NUP37 核孔蛋白Nup37抗体进口/国产IGFBP-4 ELISA Kit 大鼠胰岛样生长因子结合蛋白4大鼠白介27(IL-27)ELISA Kit,48T/96T 进口、国产
豆甾醇、豆固醇83-48-7图片标准品和对照品概述:
药品检验用标准品和对照品,根据2005年版《中华人 民共和国药典》中的定义,系指用于鉴别、检查、含量测定 的标准物质。
2005年版《中华人民共和国药典》的凡例规定,标准 品、对照品(不包括色谱用的内标物质)均有药品监 督管理部门指定的单位制备、标定和供应。标准品系指用 于生物检定、抗生素或生化药品中含量或效价测定的标准 物质,按效价单位(或 g)计,以国际标准品进行标定;对照 品除另有规定外,均按干燥品(或无水物)进行计算后使 用。对照品、标准品的建立或变更其原有活性成分的含量, 应与原对照品、标准品或国际标准品进行对比,并经过协作 标定和一定的工作程序进行技术审定。
1.国内对照品行业澳洲茄边碱对照品的专业及标准制定
2.高效稳定的专利纯化技术-高速逆流色谱技术的运用
3.特有的高速逆流色谱对照品中心及中心,保证对照品的质量可控性及批量的稳定性
4.严格的质量控制,通过全面的检测(1HNMR 13CNMR MS HPLC)
5.部分对照品已获得国家质量监督检验检疫总局颁发的标准物质证书
6.完善的库存及供应体系,澳洲茄边碱现货供应
7.高效的销售团队,99%的咨询可即时回复
8.已在瑞士、新加坡、泰国、韩国、比利时、西班牙等十三个国家设立代理商
ISO 9001: 2000质量管理体系认证,产品种类近3000种
产品名称 豆甾醇、豆固醇83-48-7图片
英文名称 Stigmasterol
CAS NO. 83-48-7
分 子 量 412.7
纯 度 ≥98%

分子式: C29H48O
性状: 白色结晶粉末
规格: 20mg/50mg/1g,可按客户需求包装!
用途: 用于科研研究、鉴定、药理实验等
熔点: 161-170℃ (通常165~167℃)。纯度90%时熔点164~167℃
溶解性: 易溶于 、氯仿、苯、、吡啶,能溶于乙醇、丙。不溶于水。
提取来源: 细辛、玉米须、延胡索、丹参、菟丝子、三棱
药理药效: 豆甾醇具有降低胆固醇、降低心脏病的发生率、抗癌和抗炎等作用
鉴别方法: NMR;Ms
检测方法: RP-HPLC:甲醇:无水乙醇(50:50) λ:210nm(仅供参考)
贮存条件: 低温冷藏,避光,密封,干燥
注意事项: 无
有效期限: 2年
供货能力: 现货,可根据可以客户需求批量定制
公司产品仅用于科研实验,不做其他用途!
| 产品名称 | 豆甾醇、豆固醇83-48-7图片 |
| 英文名称 | Stigmasterol |
| 规格 | 可根据客户要求订制 |
1.豆甾醇、豆固醇83-48-7图片规范购入使用台账,严格表明购入时间、批号、来源、数量、使用期限等内容;申购的标准品或对照品的批号要与新颁布标准品或对照品批号相符;
2.严格按照规定条件进行储存,标准品或对照品的状极不稳定,对储存条件和方式非常苛刻;
3.规范管理和使用:
(1)严格按照说明书要求,由于标准品或对照品的不稳定性,若不安产品说明书的要求操作,极易造成较大的误差,从而影响检测结果;
(2)称量精密准确,标准品和对照品的含量测定要求不同,对精密性的要求很高;
(3)对于长期贮存的制备品,应充分考虑各方面的影响因素,规范操作;
(4)同时配制两份对照溶液以控制检验误差,由于现在药品的标准含量测定方法较多采用对照比较法,在测定过程中,仅配制一份对照溶液容易造成因配制对照溶液过程出现偏差;
(5)自行标定的标准品或对照品,严格规范操作,保证标准的可靠传递,并保证其可溯源性和准确性。
CRTAP英文名称:phospho-CstF64(Ser498)人基质γ羧基谷氨蛋白(MGP)免疫试剂盒
C1orf100英文名称:CD3E人基膜聚糖/内腔蛋白(LUM)免疫试剂盒
C1orf104英文名称:CD4人肌质/内质网钙ATP酶(ATP2A1)免疫试剂盒
C1orf112英文名称:CD45人肌抑素(MSTN)免疫试剂盒
C1orf113英文名称:CD45人肌养蛋白(dystrophin)免疫试剂盒
C1orf114 英文名称:CD45人肌细胞生成素(MYOG)免疫试剂盒
C1orf109英文名称:Connexin-36人肌激酶同工酶MM(CK-MM)免疫试剂盒
CD93英文名称:C12ORF61人肌激酶同工酶MB(CK-MB)免疫试剂盒
豆甾醇、豆固醇83-48-7图片1,6-己二醇中药对照药材进口/国产n-Myc 致癌因n-Myc抗体进口/国产HBeAb(Human anti-hepatitis B virus e antibody) ELISA Kit 人抗型肝炎病e抗体大鼠白介23(IL-23)ELISA Kit,48T/96T 进口、国产1,2,6-己三醇中药对照药材特价供应NUBP1 核苷结合蛋白1抗体进口/国产IL-11 ELISA Kit 大鼠白介11人白介27(IL-27)ELISA Kit,48T/96T 进口、国产正己醇中药对照药材现货促销NUBP2 核苷结合蛋白2抗体进口/国产EHF(Human anti-epidemic hemorrhagic fever virus IgM antibody) ELISA Kit 人抗流行性出血热病抗体IgM小鼠白介27(IL-27)ELISA Kit,48T/96T 进口、国产聚二醇2000中药对照药材特价促销NUP37 核孔蛋白Nup37抗体进口/国产IGFBP-4 ELISA Kit 大鼠胰岛样生长因子结合蛋白4大鼠白介27(IL-27)ELISA Kit,48T/96T 进口、国产
豆甾醇、豆固醇83-48-7图片标准品和对照品概述:
药品检验用标准品和对照品,根据2005年版《中华人 民共和国药典》中的定义,系指用于鉴别、检查、含量测定 的标准物质。
2005年版《中华人民共和国药典》的凡例规定,标准 品、对照品(不包括色谱用的内标物质)均有药品监 督管理部门指定的单位制备、标定和供应。标准品系指用 于生物检定、抗生素或生化药品中含量或效价测定的标准 物质,按效价单位(或 g)计,以国际标准品进行标定;对照 品除另有规定外,均按干燥品(或无水物)进行计算后使 用。对照品、标准品的建立或变更其原有活性成分的含量, 应与原对照品、标准品或国际标准品进行对比,并经过协作 标定和一定的工作程序进行技术审定。
风险提示:丁香通仅作为第三方平台,为商家信息发布提供平台空间。用户咨询产品时请注意保护个人信息及财产安全,合理判断,谨慎选购商品,商家和用户对交易行为负责。对于医疗器械类产品,请先查证核实企业经营资质和医疗器械产品注册证情况。
- 作者
- 内容
- 询问日期
技术资料暂无技术资料 索取技术资料
豆甾醇、豆固醇83-48-7图片
询价









