万千商家帮你免费找货
0 人在求购买到急需产品
- 详细信息
- 技术资料
- 库存:
48
- 英文名:
Lobetyolin
- CAS号:
136085-37-5
- 保质期:
详见说明书
- 供应商:
上海博湖
- 保存条件:
低温冷藏
- 规格:
20mg/50mg/1g,可按客户需求包装!
技术:
1.色谱(高效液相色谱:薄层层析;气相色谱)
2. 质谱(液-质联用)
3. 光谱(红外、紫外),原子吸收
4. 测定(物理常数测定;旋光测定;不挥发物测定;干燥失重测定;蒸发或灼烧残渣测定)
5. 分析(含量分析;元素分析)
6. 滴定(酸性滴定;碱性滴定;配位滴定;非水滴定;氧化还原滴定)
7. 试验(与水混合试验;澄清度试验;各项化学反应试验
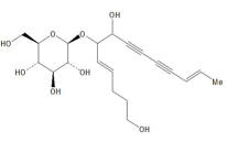
产品名称 党参炔苷136085-37-5
英文名称 Lobetyolin
分 子 量: 396.433
CAS NO.: 136085-37-5
纯 度: ≥98%
分子式: C20H28O8

性状: 棕褐色结晶粉末
规格: 20mg/50mg/1g,可按客户需求包装!
用途: 用于科研研究、鉴定、药理实验等
熔点: 203℃
溶解性: 易溶于甲醇、乙醇、和乙酯溶于、和氯仿,微溶于苯和水,不溶于和。
提取来源: 党参
药理药效: 党参炔苷具有抗缺氧、抗放射线损伤、抗低温、溃疡、抗炎、抗肿瘤的作用。
鉴别方法: NMR;Ms
检测方法: RP-HPLC:-水(20:80) 检测波长: 267nm (仅供参考)
贮存条件: 低温冷藏,避光,密封,干燥
注意事项: 无
有效期限: 2年
供货能力: 现货,可根据可以客户需求批量定制
化学药品标准物质的分类:
1.按来源:
(1) 国际化学标准物质(WHO)
(2)美国药典标准物质(USPC,USP)
(3)欧式药典标准物质(EDQM,EP)
(4)日本药局标准物(PMRJ,JP)
(5)国家药品标准物质(NICPBP,CHP)
2.按测定方法和使用对象:
(1)生物标准物质
(2)化学标准物质(化学对照物质)
3.按使用要求:
(1)国际化学对照品
(2)国家化学对照品
(3)工作化学对照品
4.按用途:
(1)鉴别用化学对照品
(2)纯度或杂质检查用对照品
(3)含量测定用对照品
(4)标准仪器用对照
5.按药品使用对象:
(1)化学对照品
(2)中药化学对照品
(3)抗生素化学对照品
(4)麻醉药品化学对照品
公司优势:
党参炔苷136085-37-5服务对象针对性强,我们的客户遍布各大高校、医院以及各科研单位,还包括性的企业;
服务体系完整,我们为客户提供周到的售前售后服务,以及相应的技术支持。
标准品或对照品的管理规范:
1.规范购入使用台账,严格表明购入时间、批号、来源、数量、使用期限等内容;申购的标准品或对照品的批号要与新颁布标准品或对照品批号相符;
2.严格按照规定条件进行储存,标准品或对照品的性状极不稳定,对储存条件和方式非常苛刻;
3.规范管理和使用:
(1)严格按照说明书要求,由于标准品或对照品的不稳定性,若不安产品说明书的要求操作,极易造成较大的误差,从而影响检测结果;
(2)称量精密准确,标准品和对照品的含量测定要求不同,对精密性的要求很高;
(3)对于长期贮存的制备品,应充分考虑各方面的影响因素,规范操作;
(4)同时配制两份对照溶液以控制检验误差,由于现在药品的标准含量测定方法较多采用对照比较法,在测定过程中,仅配制一份对照溶液容易造成因配制对照溶液过程出现偏差;
(5)自行标定的标准品或对照品,严格规范操作,保证标准的可靠传递,并保证其可溯源性和准确性。
我司经营范围:国家对照品标准物质、进口对照品、冶金标样、标准气体、药典对照品、标准菌种、实验室耗材、试剂盒等
M13噬菌体培养试剂盒10 延胡索乙素;消旋延胡索乙素 Tetrahydropalmatine 质量规格:HPLC≥98%,BR
PorcineCollageypeⅢ,ColⅢELISA试剂盒猪Ⅲ型胶原(ColⅢ)ELISA试剂盒规格:96T/48T 孕烯醇酮醋酸酯,孕烯诺龙乙酸酯 Pregnenolone Acetate 质量规格:>98%,BR
小鼠活化蛋白C(APC)ELISA 试剂盒 96T/48T 试剂盒 组装/原装 孕烯醇酮醋酸酯(标准品) Pregnenolone Acetate 质量规格:>98%,标准品
Rat lymphocyte chemotactic factor (Lptn/LTN/XCL1) ELISA Kit 大鼠淋巴细胞趋化因子(Lptn/LTN/XCL1)ELISA试剂盒 壳聚糖(M.W70w-100w) Chitosan 质量规格:脱乙酰度≥95%,,粘度100-200 mpa.s
humanfreechorionicgonadoopin,f-βhCGELISAKIT 人游离β绒毛膜促性腺激素(f-βhCG)ELISA试剂盒 96T/48T 进口分装 壳聚糖(M.W.10万) Chitosan 质量规格:脱乙酰度是80%,粘度800
Humanai-Monocyteaibody,AMAELISA试剂盒人抗单核细胞抗体(AMA)ELISA试剂盒规格:96T/48T 大蒜素,二烯丙基二硫 Allicin 质量规格:>98%,油状
植物葡萄糖6-0酸异构酶(glucose-6-phosphateisomerase;GPI)电泳分析试剂盒5 α-香附酮 α-Cyperone 质量规格:HPLC≥98%,标准品
Humanurokinase,UKELISAKit人尿激酶(UK)ELISA试剂盒规格:96T/48T 头孢克洛(标准品) Cefaclor 质量规格:HPLC>98%,标准品
小鼠回肠脂肪酸结合蛋白(FABP6)ELISA试剂盒 ,英文名: FABP6 ELISA Kit 头孢克洛 Cefaclor 质量规格:>98%,一水合,BR
人Na+/H+交换体3(NHE3)ELISA检测试剂盒HumanNa+/H+exchanger3,NHE3ELISAKit 96T/48T 头孢拉定 Cefradine 质量规格:>95%,BR
小鼠表睾酮(ET)ELISA试剂盒 ,英文名: ET ELISA Kit 刺桐阿亭 HPLC≥98% 5mg
小鼠表面活性物质关联蛋白A(SPA)ELISA试剂盒 ,英文名: SPA ELISA Kit 刺囊酸 HPLC≥98% 20mg
小鼠表面活性物质关联蛋白D(SPD)ELISA试剂盒 ,英文名: SPD ELISA Kit 刺芒柄花素(标准品) Formononetin 质量规格:HPLC>98%,分析标准品
小鼠表面膜免疫球蛋白A(mIgA)ELISA检测试剂盒MousemembraneIgA,mIgAELISAKit 96T/48T 刺芒柄花素 Formononetin 质量规格:>98%,BR
小鼠表皮生长因子(EGF)ELISA 试剂盒 96T/48T 试剂盒 组装/原装 刺芒柄花苷(标准品) Ononin 质量规格:HPLC≥98%,标准品
小鼠表皮生长因子(EGF)ELISA检测试剂盒MouseEpidermalgrowthfactor,EGFELISAKit 96T/48T 刺芒柄花苷 HPLC≥98% 20mg
小鼠表皮生长因子(EGF)ELISA试剂盒 ,英文名: EGF ELISA Kit 刺槐亭 HPLC≥98% 5mg
小鼠表皮生长因子受体(EGFR)ELISA试剂盒 ,英文名: EGFR ELISA Kit 刺槐素 ROBININ 质量规格:>98%,标准品
小鼠表皮生长因子受体2(EGFR2)ELISA试剂盒 ,英文名: EGFR2 ELISA Kit 刺槐双氢黄酮 HPLC≥98% 5mg
小鼠表皮调节素(EREG)ELISA试剂盒 ,英文名: EREG ELISA Kit 刺甘草查尔酮 HPLC≥98% 20mg
党参炔苷136085-37-5橙皮素 Hesperitin 质量规格:>97%,BR 小鼠肌钙蛋白Ⅰ(Tn-Ⅰ)ELISA检测试剂盒MouseoponinⅠ,Tn-ⅠELISAKit 96T/48T
青阳参苷元A(标准品) Qingyangshengenin A 质量规格:HPLC≥98%,标准品 小鼠肌钙蛋白Ⅰ(Tn-Ⅰ)ELISA试剂盒 ,英文名: Tn-Ⅰ ELISA Kit
青阳参苷元B(标准品) Qingyangshengenin B 质量规格:HPLC≥98%,标准品 小鼠肌钙蛋白T()ELISA试剂盒 ,英文名: ELISA Kit
4'-去甲氧基表鬼臼毒素(标准品) 4'-Demethylepipodophyllotoxin 质量规格:HPLC≥98%,标准品 小鼠肌钙蛋白T(Tn-T)ELISA试剂盒 ,英文名: Tn-T ELISA Kit
去甲氧基姜黄素(标准品) Demethoxycurcumin 质量规格:HPLC≥98%,标准品 小鼠肌肝(Cr)ELISA试剂盒 组装/原装
去甲异波尔定(标准品) Norisoboldine 质量规格:HPLC≥98%,标准品 小鼠肌苷三0酸酶(ITPA)ELISA试剂盒 ,英文名: ITPA ELISA Kit
去氢二异丁香酚(标准品) Dehydrodiisoeugenol 质量规格:HPLC≥98%,标准品 小鼠肌酐(Cr)ELISA试剂盒 ,英文名: Cr ELISA Kit
去氢钩藤碱(标准品) Corynoxeine 质量规格:HPLC≥98%,标准品 小鼠肌红蛋白(MYO)ELISA试剂盒 ,英文名: MYO ELISA Kit
去氢木香内酯(标准品) Dehydrocostus Lactone 质量规格:HPLC≥98%,标准品 小鼠肌红蛋白(MYO/MB)ELISA 试剂盒 96T/48T 试剂盒 组装/原装
染料木苷(标准品) Genistin 质量规格:HPLC≥98%,标准品 小鼠肌红蛋白(MYO/MB)ELISA试剂盒 ,英文名: MYO/MB ELISA Kit
小鼠饥饿素(GHRL)ELISA试剂盒 ,英文名: GHRL ELISA Kit 秦皮乙素(标准品) 6,7-Dihydroxycoumarin 质量规格:HPLC≥98%,标准品
小鼠肌动蛋白相关蛋白2/3复合体亚基4(ARPC4)ELISA试剂盒 ,英文名: ARPC4 ELISA Kit 秦皮乙素;6,7-二羟基香豆素;七叶亭 6,7-Dihydroxycoumarin 质量规格:HPLC≥98%
小鼠肌钙蛋白Ⅰ(cTnⅠ)ELISA试剂盒 ,英文名: cTnⅠ ELISA Kit 茄尼醇 Solanesol 质量规格:>90%,BR
小鼠肌钙蛋白Ⅰ(Tn-Ⅰ)ELISA检测试剂盒MouseoponinⅠ,Tn-Ⅰ 96T/48T 橙皮素 Hesperitin 质量规格:>97%,BR
小鼠肌钙蛋白Ⅰ(Tn-Ⅰ)ELISA试剂盒 ,英文名: Tn-Ⅰ ELISA Kit 青阳参苷元A(标准品) Qingyangshengenin A 质量规格:HPLC≥98%,标准品
小鼠肌钙蛋白T()ELISA试剂盒 ,英文名: ELISA Kit 青阳参苷元B(标准品) Qingyangshengenin B 质量规格:HPLC≥98%,标准品
小鼠肌钙蛋白T(Tn-T)ELISA试剂盒 ,英文名: Tn-T ELISA Kit 4'-去甲氧基表鬼臼毒素(标准品) 4'-Demethylepipodophyllotoxin 质量规格:HPLC≥98%,标准品
小鼠肌肝(Cr)ELISA试剂盒 组装/原装 去甲氧基姜黄素(标准品) Demethoxycurcumin 质量规格:HPLC≥98%,标准品
小鼠肌苷三0酸酶(ITPA)ELISA试剂盒 ,英文名: ITPA ELISA Kit 去甲异波尔定(标准品) Norisoboldine 质量规格:HPLC≥98%,标准品
小鼠肌酐(Cr)ELISA试剂盒 ,英文名: Cr ELISA Kit 去氢二异丁香酚(标准品) Dehydrodiisoeugenol 质量规格:HPLC≥98%,标准品
1.色谱(高效液相色谱:薄层层析;气相色谱)
2. 质谱(液-质联用)
3. 光谱(红外、紫外),原子吸收
4. 测定(物理常数测定;旋光测定;不挥发物测定;干燥失重测定;蒸发或灼烧残渣测定)
5. 分析(含量分析;元素分析)
6. 滴定(酸性滴定;碱性滴定;配位滴定;非水滴定;氧化还原滴定)
7. 试验(与水混合试验;澄清度试验;各项化学反应试验
| 产品名称 | 党参炔苷136085-37-5 |
| CAS | 136085-37-5 |
| 规格 | 20mg/50mg/1g,可按客户需求包装 |
英文名称 Lobetyolin
分 子 量: 396.433
CAS NO.: 136085-37-5
纯 度: ≥98%
分子式: C20H28O8

性状: 棕褐色结晶粉末
规格: 20mg/50mg/1g,可按客户需求包装!
用途: 用于科研研究、鉴定、药理实验等
熔点: 203℃
溶解性: 易溶于甲醇、乙醇、和乙酯溶于、和氯仿,微溶于苯和水,不溶于和。
提取来源: 党参
药理药效: 党参炔苷具有抗缺氧、抗放射线损伤、抗低温、溃疡、抗炎、抗肿瘤的作用。
鉴别方法: NMR;Ms
检测方法: RP-HPLC:-水(20:80) 检测波长: 267nm (仅供参考)
贮存条件: 低温冷藏,避光,密封,干燥
注意事项: 无
有效期限: 2年
供货能力: 现货,可根据可以客户需求批量定制
化学药品标准物质的分类:
1.按来源:
(1) 国际化学标准物质(WHO)
(2)美国药典标准物质(USPC,USP)
(3)欧式药典标准物质(EDQM,EP)
(4)日本药局标准物(PMRJ,JP)
(5)国家药品标准物质(NICPBP,CHP)
2.按测定方法和使用对象:
(1)生物标准物质
(2)化学标准物质(化学对照物质)
3.按使用要求:
(1)国际化学对照品
(2)国家化学对照品
(3)工作化学对照品
4.按用途:
(1)鉴别用化学对照品
(2)纯度或杂质检查用对照品
(3)含量测定用对照品
(4)标准仪器用对照
5.按药品使用对象:
(1)化学对照品
(2)中药化学对照品
(3)抗生素化学对照品
(4)麻醉药品化学对照品
公司优势:
党参炔苷136085-37-5服务对象针对性强,我们的客户遍布各大高校、医院以及各科研单位,还包括性的企业;
服务体系完整,我们为客户提供周到的售前售后服务,以及相应的技术支持。
标准品或对照品的管理规范:
1.规范购入使用台账,严格表明购入时间、批号、来源、数量、使用期限等内容;申购的标准品或对照品的批号要与新颁布标准品或对照品批号相符;
2.严格按照规定条件进行储存,标准品或对照品的性状极不稳定,对储存条件和方式非常苛刻;
3.规范管理和使用:
(1)严格按照说明书要求,由于标准品或对照品的不稳定性,若不安产品说明书的要求操作,极易造成较大的误差,从而影响检测结果;
(2)称量精密准确,标准品和对照品的含量测定要求不同,对精密性的要求很高;
(3)对于长期贮存的制备品,应充分考虑各方面的影响因素,规范操作;
(4)同时配制两份对照溶液以控制检验误差,由于现在药品的标准含量测定方法较多采用对照比较法,在测定过程中,仅配制一份对照溶液容易造成因配制对照溶液过程出现偏差;
(5)自行标定的标准品或对照品,严格规范操作,保证标准的可靠传递,并保证其可溯源性和准确性。
我司经营范围:国家对照品标准物质、进口对照品、冶金标样、标准气体、药典对照品、标准菌种、实验室耗材、试剂盒等
M13噬菌体培养试剂盒10 延胡索乙素;消旋延胡索乙素 Tetrahydropalmatine 质量规格:HPLC≥98%,BR
PorcineCollageypeⅢ,ColⅢELISA试剂盒猪Ⅲ型胶原(ColⅢ)ELISA试剂盒规格:96T/48T 孕烯醇酮醋酸酯,孕烯诺龙乙酸酯 Pregnenolone Acetate 质量规格:>98%,BR
小鼠活化蛋白C(APC)ELISA 试剂盒 96T/48T 试剂盒 组装/原装 孕烯醇酮醋酸酯(标准品) Pregnenolone Acetate 质量规格:>98%,标准品
Rat lymphocyte chemotactic factor (Lptn/LTN/XCL1) ELISA Kit 大鼠淋巴细胞趋化因子(Lptn/LTN/XCL1)ELISA试剂盒 壳聚糖(M.W70w-100w) Chitosan 质量规格:脱乙酰度≥95%,,粘度100-200 mpa.s
humanfreechorionicgonadoopin,f-βhCGELISAKIT 人游离β绒毛膜促性腺激素(f-βhCG)ELISA试剂盒 96T/48T 进口分装 壳聚糖(M.W.10万) Chitosan 质量规格:脱乙酰度是80%,粘度800
Humanai-Monocyteaibody,AMAELISA试剂盒人抗单核细胞抗体(AMA)ELISA试剂盒规格:96T/48T 大蒜素,二烯丙基二硫 Allicin 质量规格:>98%,油状
植物葡萄糖6-0酸异构酶(glucose-6-phosphateisomerase;GPI)电泳分析试剂盒5 α-香附酮 α-Cyperone 质量规格:HPLC≥98%,标准品
Humanurokinase,UKELISAKit人尿激酶(UK)ELISA试剂盒规格:96T/48T 头孢克洛(标准品) Cefaclor 质量规格:HPLC>98%,标准品
小鼠回肠脂肪酸结合蛋白(FABP6)ELISA试剂盒 ,英文名: FABP6 ELISA Kit 头孢克洛 Cefaclor 质量规格:>98%,一水合,BR
人Na+/H+交换体3(NHE3)ELISA检测试剂盒HumanNa+/H+exchanger3,NHE3ELISAKit 96T/48T 头孢拉定 Cefradine 质量规格:>95%,BR
小鼠表睾酮(ET)ELISA试剂盒 ,英文名: ET ELISA Kit 刺桐阿亭 HPLC≥98% 5mg
小鼠表面活性物质关联蛋白A(SPA)ELISA试剂盒 ,英文名: SPA ELISA Kit 刺囊酸 HPLC≥98% 20mg
小鼠表面活性物质关联蛋白D(SPD)ELISA试剂盒 ,英文名: SPD ELISA Kit 刺芒柄花素(标准品) Formononetin 质量规格:HPLC>98%,分析标准品
小鼠表面膜免疫球蛋白A(mIgA)ELISA检测试剂盒MousemembraneIgA,mIgAELISAKit 96T/48T 刺芒柄花素 Formononetin 质量规格:>98%,BR
小鼠表皮生长因子(EGF)ELISA 试剂盒 96T/48T 试剂盒 组装/原装 刺芒柄花苷(标准品) Ononin 质量规格:HPLC≥98%,标准品
小鼠表皮生长因子(EGF)ELISA检测试剂盒MouseEpidermalgrowthfactor,EGFELISAKit 96T/48T 刺芒柄花苷 HPLC≥98% 20mg
小鼠表皮生长因子(EGF)ELISA试剂盒 ,英文名: EGF ELISA Kit 刺槐亭 HPLC≥98% 5mg
小鼠表皮生长因子受体(EGFR)ELISA试剂盒 ,英文名: EGFR ELISA Kit 刺槐素 ROBININ 质量规格:>98%,标准品
小鼠表皮生长因子受体2(EGFR2)ELISA试剂盒 ,英文名: EGFR2 ELISA Kit 刺槐双氢黄酮 HPLC≥98% 5mg
小鼠表皮调节素(EREG)ELISA试剂盒 ,英文名: EREG ELISA Kit 刺甘草查尔酮 HPLC≥98% 20mg
党参炔苷136085-37-5橙皮素 Hesperitin 质量规格:>97%,BR 小鼠肌钙蛋白Ⅰ(Tn-Ⅰ)ELISA检测试剂盒MouseoponinⅠ,Tn-ⅠELISAKit 96T/48T
青阳参苷元A(标准品) Qingyangshengenin A 质量规格:HPLC≥98%,标准品 小鼠肌钙蛋白Ⅰ(Tn-Ⅰ)ELISA试剂盒 ,英文名: Tn-Ⅰ ELISA Kit
青阳参苷元B(标准品) Qingyangshengenin B 质量规格:HPLC≥98%,标准品 小鼠肌钙蛋白T()ELISA试剂盒 ,英文名: ELISA Kit
4'-去甲氧基表鬼臼毒素(标准品) 4'-Demethylepipodophyllotoxin 质量规格:HPLC≥98%,标准品 小鼠肌钙蛋白T(Tn-T)ELISA试剂盒 ,英文名: Tn-T ELISA Kit
去甲氧基姜黄素(标准品) Demethoxycurcumin 质量规格:HPLC≥98%,标准品 小鼠肌肝(Cr)ELISA试剂盒 组装/原装
去甲异波尔定(标准品) Norisoboldine 质量规格:HPLC≥98%,标准品 小鼠肌苷三0酸酶(ITPA)ELISA试剂盒 ,英文名: ITPA ELISA Kit
去氢二异丁香酚(标准品) Dehydrodiisoeugenol 质量规格:HPLC≥98%,标准品 小鼠肌酐(Cr)ELISA试剂盒 ,英文名: Cr ELISA Kit
去氢钩藤碱(标准品) Corynoxeine 质量规格:HPLC≥98%,标准品 小鼠肌红蛋白(MYO)ELISA试剂盒 ,英文名: MYO ELISA Kit
去氢木香内酯(标准品) Dehydrocostus Lactone 质量规格:HPLC≥98%,标准品 小鼠肌红蛋白(MYO/MB)ELISA 试剂盒 96T/48T 试剂盒 组装/原装
染料木苷(标准品) Genistin 质量规格:HPLC≥98%,标准品 小鼠肌红蛋白(MYO/MB)ELISA试剂盒 ,英文名: MYO/MB ELISA Kit
小鼠饥饿素(GHRL)ELISA试剂盒 ,英文名: GHRL ELISA Kit 秦皮乙素(标准品) 6,7-Dihydroxycoumarin 质量规格:HPLC≥98%,标准品
小鼠肌动蛋白相关蛋白2/3复合体亚基4(ARPC4)ELISA试剂盒 ,英文名: ARPC4 ELISA Kit 秦皮乙素;6,7-二羟基香豆素;七叶亭 6,7-Dihydroxycoumarin 质量规格:HPLC≥98%
小鼠肌钙蛋白Ⅰ(cTnⅠ)ELISA试剂盒 ,英文名: cTnⅠ ELISA Kit 茄尼醇 Solanesol 质量规格:>90%,BR
小鼠肌钙蛋白Ⅰ(Tn-Ⅰ)ELISA检测试剂盒MouseoponinⅠ,Tn-Ⅰ 96T/48T 橙皮素 Hesperitin 质量规格:>97%,BR
小鼠肌钙蛋白Ⅰ(Tn-Ⅰ)ELISA试剂盒 ,英文名: Tn-Ⅰ ELISA Kit 青阳参苷元A(标准品) Qingyangshengenin A 质量规格:HPLC≥98%,标准品
小鼠肌钙蛋白T()ELISA试剂盒 ,英文名: ELISA Kit 青阳参苷元B(标准品) Qingyangshengenin B 质量规格:HPLC≥98%,标准品
小鼠肌钙蛋白T(Tn-T)ELISA试剂盒 ,英文名: Tn-T ELISA Kit 4'-去甲氧基表鬼臼毒素(标准品) 4'-Demethylepipodophyllotoxin 质量规格:HPLC≥98%,标准品
小鼠肌肝(Cr)ELISA试剂盒 组装/原装 去甲氧基姜黄素(标准品) Demethoxycurcumin 质量规格:HPLC≥98%,标准品
小鼠肌苷三0酸酶(ITPA)ELISA试剂盒 ,英文名: ITPA ELISA Kit 去甲异波尔定(标准品) Norisoboldine 质量规格:HPLC≥98%,标准品
小鼠肌酐(Cr)ELISA试剂盒 ,英文名: Cr ELISA Kit 去氢二异丁香酚(标准品) Dehydrodiisoeugenol 质量规格:HPLC≥98%,标准品
风险提示:丁香通仅作为第三方平台,为商家信息发布提供平台空间。用户咨询产品时请注意保护个人信息及财产安全,合理判断,谨慎选购商品,商家和用户对交易行为负责。对于医疗器械类产品,请先查证核实企业经营资质和医疗器械产品注册证情况。
技术资料暂无技术资料 索取技术资料
党参炔苷136085-37-5
询价









