相关产品推荐更多 >
万千商家帮你免费找货
0 人在求购买到急需产品
- 详细信息
- 文献和实验
- 技术资料
- 库存:
496
- 英文名:
Dexamethasone (10mM in DMSO)
- 保质期:
长期
- 供应商:
北京百奥莱博科技有限公司
- 保存条件:
-20℃
特别提示:包括地塞米松溶液(10mM in DMSO)在内,本公司的所有产品仅可用于科研实验,严禁用于临床医疗及其他非科研用途!
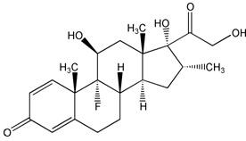
产品名称:地塞米松溶液(10mM in DMSO)
英文名称:Dexamethasone (10mM in DMSO)
产品规格:25mg
CAS#:50-02-2
地塞米松(Dexamethasone),一种抗炎糖皮质素,对细胞存活、细胞信号的转导和基因表达具有一系列的影响,如:可抑制一氧化*(代"氮")合酶的诱导作用(IC50=5 nM);可通过刺激Na+-K+泵增强大动脉平滑肌细胞阳离子的运输作用;可降低周期蛋白A和Cdk2的活性;抑制骨细胞G1/S的过渡;抑制Rb蛋白的磷酸化作用;诱导人胸腺细胞凋亡发生。
本品为溶于DMSO的储存液,浓度10mM。一般而言,500-1000nM 的地塞米松于37℃作用6h足可诱导凋亡发生。
中文别名:21α-乙酰氧基-9α-*-11β,17α-二羟基-16α-甲基孕甾-1,4-二烯-3,20-二酮 9α-*-16α-甲基*化泼尼松 9-*-11,17,21-三羟基-16-甲基(11b,16a)-孕甾-1,4-二烯-3,20-二酮德沙美松
英文别名:9α-Fluoro-16α-methylprednisolone,PrednisoloneF,(11β,16α)-9-Fluoro-11,17,21-trihydroxy-16-methylpregna-1,4-diene-3,20-dione,9α-Fluoro-16α-methyl-11β,17α,21-trihydroxy-1,4-pregnadiene-3,20-dione
CAS:50-02-2
分子式:C22H29FO5
分子量:392.46
外观:无色液体(10mM in DMSO)
储存条件:-20℃
结构式
风险提示:丁香通仅作为第三方平台,为商家信息发布提供平台空间。用户咨询产品时请注意保护个人信息及财产安全,合理判断,谨慎选购商品,商家和用户对交易行为负责。对于医疗器械类产品,请先查证核实企业经营资质和医疗器械产品注册证情况。
文献和实验潭深水静 请教各位园友: 新买的 anisomycin用什么溶液溶解保存。 谢谢! 潭深水静 主要用来刺激p-38,有用生理盐水稀释到终浓度的 但不知道用什么来溶解配母液 yhwangcams 根据sigma的说明,可以用多种溶液配制母液: solubility ethanol: 12 mg/mL solubility H2O: 2 mg/mL
:高脂实验样本该如何处理? A1:高脂实验样本含有脂肪,不是均质溶液,若直接上样,会影响抗原抗体的结合,导致测值不准确。建议先大转速(5000×g)离心,静置 10min 后,取中层较澄清液体,再用大转速(≥5000×g)离心一次,取中下层清液,用于检测。 Q2:实验样本稀释方案是怎样的? A2:试剂盒检测范围不等同于实验样本中待测物的浓度范围。实验前,建议通过相关文献预估实验样本中待测物的浓度,并通过预实验确定实验样本的实际浓度情况。 如果您的检测样本需要稀释,参考稀释方案如下: 稀释 100
在合成黄连素、菸酸肌醇酯、蔗糖脂肪酸多酯和中药萃取生产都已应用。 4、在医疗中的应用 DMSO对许多药物具有溶液性、渗透性、本身具有消炎、止痛,促进血液循环和伤口愈合,并有利尿、销静作用。能增加药物吸收和提高疗效,因此在国外叫做“万能药”。各种药物溶解在DMSO中,不用口服和注射,涂在皮肤上就能渗入体内,开辟了给药新途径。更重要的是提高了病区局部药物含量,降低身体其他 的药物危害。国外在医疗上的研究报道很多,我国由沈阳药学院、北京药物研究所、中国药物检测中心等在60
技术资料暂无技术资料 索取技术资料










