相关产品推荐更多 >
万千商家帮你免费找货
0 人在求购买到急需产品
- 详细信息
- 文献和实验
- 技术资料
- 库存:
大量
- 英文名:
Calceolarioside B
- 保质期:
1-3年
- 供应商:
上海沪震实业有限公司
- 保存条件:
常温或2-8℃保存
- 规格:
5mg/25mg
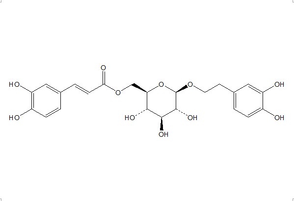
【Product Name】 Calceolarioside B
【CAS Number】 105471-98-5
【中文名称】 木通苯乙醇苷B
【Chemical Name】 β-D-Glucopyranoside, 2-(3,4-dihydroxyphenyl)ethyl,6-[3-(3,4-dihydroxyphenyl)-2-propenoate], (E)-
【Chemical Formula】 C23H26O11
【Molecular Weight】 478.45
【Chemotaxonomic Group】 简单苯丙素类 Simple Phenylpropanoids

相关标准品-对照品列表:
| H22321-包 | 直口尿沉渣管 | \N | \N | 12ml | 200只/包 | 144.00 |
| H22322-包 | 反口尿沉渣管 | \N | \N | 12ml | 200只/包 | 156.00 |
| H22323-包 | 带盖尿沉渣管 | \N | \N | 12ml | 200只/包 | 180.00 |
| H22324-只 | 双连试管 | \N | \N | 20ml | 1000只/包 | 0.00 |
| H22325-包 | 试管塞(各种颜色) | \N | \N | 12 | 1000只/包 | 60.00 |
| H22326-包 | 试管塞(各种颜色) | \N | \N | 13 | 1000只/包 | 60.00 |
| H22327-包 | 试管塞(各种颜色) | \N | \N | 15 | 1包 | 72.00 |
| H22328-只 | 多功能试管架 | \N | \N | 50孔 | 1只 | 58.80 |
| H22329-只 | 试管架 | \N | \N | 40孔/Φ18 | 1只 | 18.00 |
| H22330-只 | 不锈钢试管架 | \N | \N | 28孔/Φ16 | 1只 | 33.60 |
| H22331-只 | 不锈钢试管架 | \N | \N | 15孔/Φ15 | 1只 | 27.60 |
风险提示:丁香通仅作为第三方平台,为商家信息发布提供平台空间。用户咨询产品时请注意保护个人信息及财产安全,合理判断,谨慎选购商品,商家和用户对交易行为负责。对于医疗器械类产品,请先查证核实企业经营资质和医疗器械产品注册证情况。
文献和实验James Hardwick CNBr Cleavage Procedure
tube containing 200 microliters of 100mg/ml CNBr in 70% formic acid. CNBr stocks are 200 milligrams/ml in 70% formic acid and are stored at -70°C. 70% formic acid is made from 98-100% formic acid and MQH2O. Optional: If you want to know
1、 血清加3倍体积的蒸馏水,调节 pH至7.7(±)冷却到0℃。在激烈搅拌的条件下,加预冷的酒精(-20℃)到最终浓度为20%,保持在-5℃。产生的沉淀(a),含有大多数种类的免疫球蛋白。2、 沉淀a悬浮于25倍体积的0.15~20mol/l NaCl溶液(冷)中,加有0.05mol/l醋酸调节 pH到5.1,产生的沉淀(b),包括大部分的IgA和IgM,IgG留在上清液内。3、调节上清液的pH到7.4,加冷酒精(-20℃~-30℃)到最终浓度为25%,维持在-5℃。所得到的沉淀(c)含有
浅析染色质免疫沉淀(ChIP)技术在 DNA 与蛋白质相互作用研究中的重要性
] Kim, D.H., et al., MicroRNA-directed transcriptional gene silencing in mammalian cells. Proc Natl Acad Sci U S A, 2008. 105(42): p. 16230-5. [29] Borchert, G.M., W. Lanier, and B.L. Davidson, RNA polymerase III transcribes human microRNAs. Nat Struct
技术资料暂无技术资料 索取技术资料










