相关产品推荐更多 >
万千商家帮你免费找货
0 人在求购买到急需产品
- 详细信息
- 文献和实验
- 技术资料
- 库存:
大量
- 英文名:
Nodakenin
- 保质期:
1-3年
- 供应商:
上海沪震实业有限公司
- 保存条件:
常温或2-8℃保存
- 规格:
5mg/25mg
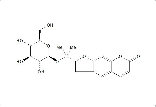
【Product Name】 Nodakenin
【CAS Number】 495-31-8
【Synonyms】 Nodakenin; (+)-Marmesinin
【中文名称】 紫花前胡苷
【Chemical Name】 7H-Furo[3,2-g][1]benzopyran-7-one, 2-[1-(β-D-glucopyranosyloxy)-1-methylethyl]-2,3-dihydro-, (2R)-
【Chemical Formula】 C20H24O9
【Molecular Weight】 408.40
【Chemotaxonomic Group】 香豆素类 Coumarins

相关标准品-对照品列表:
| HZ25748-25g | 米非司酮 | MifepHZistone | 84371-65-3 | 98% | 25g | 4888.00 |
| HZ25748-5g | 米非司酮 | MifepHZistone | 84371-65-3 | 98% | 5g | 1488.00 |
| HZ25749-10g | 1-苯氨基-4-(甲基氨基)蒽醌 | 1-Anilino-4-(methylamino)anthHZaquinone | 12769-16-3 | 10g | 0.00 | |
| HZ25751-25g | 对苯二甲酸二钠 | TeHZephthalic Acid Disodium Salt | 10028-70-3 | 99% | 25g | 400.00 |
| HZ25751-5g | 对苯二甲酸二钠 | TeHZephthalic Acid Disodium Salt | 10028-70-3 | 99% | 5g | 100.00 |
| HZ25753-1g | 脱氧可的松 | 11-Deoxy-17-HydHZoxycoHZticosteHZone | 152-58-9 | 98.0% | 1g | 650.00 |
| HZ25755-25g | 金阳碱 | Sildenafil CitHZate | 18850-57-5 | 98% | 25g | 600.00 |
| HZ25756-1g | 西布曲 | SiHZutHZamine | 106650-56-0 | 98% | 1g | 750.00 |
| HZ25756-5g | 西布曲 | SiHZutHZamine | 106650-56-0 | 98% | 5g | 2250.00 |
| HZ25757-100g | 琼脂糖 | AgaHZose | 9012-36-6 | 电泳级,1100g/c㎡ | 100g | 280.00 |
| HZ25758-1g | 芝麻素 | Sesamin | 607-80-7 | 98% | 1g | 388.00 |
风险提示:丁香通仅作为第三方平台,为商家信息发布提供平台空间。用户咨询产品时请注意保护个人信息及财产安全,合理判断,谨慎选购商品,商家和用户对交易行为负责。对于医疗器械类产品,请先查证核实企业经营资质和医疗器械产品注册证情况。
文献和实验摘要:以荧光分析法测定紫花前胡苷(NDK)含量为指标,比较紫花前胡中紫花前胡苷的溶剂热回流提取和超临界CO2萃取方法,优化最佳提取工艺。方法通过正交实验,采用超临界CO2提取技术对紫花前胡提取工艺条件进行考察,并与溶剂热回流提取结果比较,分析测定紫花前胡苷的含量。结果通过与传统提取方法进行比较,证明超临界CO2提取技术在紫花前胡苷的提取上具有明显优势。超临界CO2提取紫花前胡苷的最佳工艺为萃取压力20MPa,萃取温度50℃,CO2动态流量35L?h1。结论 不同工艺条件提取紫花前胡苷
LABELING MUSCLE ACTIN WITH CARBOXYFLUORESCEIN SUCCINIMIDYL ESTER
. 6.While vortexing,add 166 µl (8.31 mg)CFSE stock solution to 1 ml of buffer 2. 7.Mix dye solution immediately with actin solution,by gentle pipeting or stirring.Incubate at room temperature for 1 hr. 8.Centrifuge in a 50Ti rotor at 40,000 rpm,4℃ for 1 hr
到长球形(极轴 20~ 40微米)。外层与内层厚度相同或稍厚。暗明图案。沟膜具颗粒。染色体基数 x=( 7) 14,( 8) 16, 15。共 40余种,分布在喜马拉雅区至日本和智利。中国有 5属 35种 6变种。主产秦岭以南各省区。有些种类供观赏用;有的作食用或药用。 三叶木通、五叶木通等称白木通、八月炸、八月瓜藤。它们的根、藤、果含有木通苷( C31 H50 O4 )。药用能除湿利尿、消炎止痛、清热解毒、行气活血。对绿浓杆菌、大肠杆菌、伤寒杆菌、金黄色葡萄球菌有较强的抑制
技术资料暂无技术资料 索取技术资料










