相关产品推荐更多 >
万千商家帮你免费找货
0 人在求购买到急需产品
- 详细信息
- 文献和实验
- 技术资料
- 库存:
大量
- 英文名:
Dihydrowithaferin A
- 保质期:
1-3年
- 供应商:
上海沪震实业有限公司
- 保存条件:
常温或2-8℃保存
- 规格:
5mg/10mg/25mg
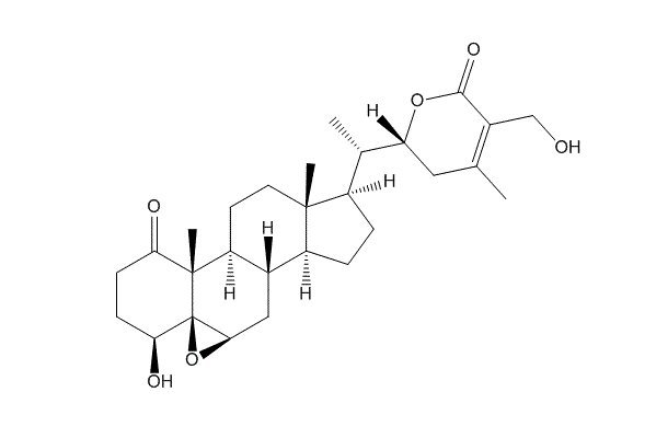
【Product Name】 Dihydrowithaferin A
【CAS Number】 5589-41-3
【中文名称】 二氢醉茄素A
【Chemical Name】 Ergost-24-en-26-oic acid, 5,6-epoxy-4,22,27-trihydroxy-1-oxo-, |?-lactone, (4|?,5|?,6|?,22R)-
【Chemical Formula】 C28H40O6
【Molecular Weight】 472.62
【Chemotaxonomic Group】 其他甾体化合物 Other Steroids

相关标准品-对照品列表:
| H22192-盒 | 盖玻片 | \N | \N | 22X22mm | 100片/盒 | 4.80 |
| H22193-盒 | 盖玻片 | \N | \N | 24X24mm | 100片/盒 | 5.20 |
| H22194-盒 | 盖玻片 | \N | \N | 24X32mm | 100片/盒 | 6.40 |
| H22195-盒 | 盖玻片 | \N | \N | 24X50mm | 100片/盒 | 9.00 |
| H22196-盒 | 盖玻片 | \N | \N | 24X60mm | 100片/盒 | 9.60 |
| H22197-盒 | 血盖片 | \N | \N | 0.5*22*26mm | 100片/盒 | 12.00 |
| H22198-盒 | 圆盖片 | \N | \N | ∮8mm | 100片/盒 | 6.40 |
| H22199-盒 | 圆盖片 | \N | \N | ∮12mm | 100片/盒 | 6.40 |
| H22200-盒 | 圆盖片 | \N | \N | ∮14mm | 100片/盒 | 6.40 |
| H22201-盒 | 圆盖片 | \N | \N | ∮16mm | 100片/盒 | 8.00 |
| H22202-盒 | 圆盖片 | \N | \N | ∮18mm | 100片/盒 | 8.00 |
| H22203-盒 | 圆盖片 | \N | \N | ∮20mm | 100片/盒 | 10.00 |
风险提示:丁香通仅作为第三方平台,为商家信息发布提供平台空间。用户咨询产品时请注意保护个人信息及财产安全,合理判断,谨慎选购商品,商家和用户对交易行为负责。对于医疗器械类产品,请先查证核实企业经营资质和医疗器械产品注册证情况。
文献和实验。 试剂和器材 一.试剂 50mmol/L pH6.5磷酸氢二钾-磷酸二氢钾缓冲液母液: A: 50 mmol/L K2HPO4: 称K2HPO41.74g加蒸馏水溶解后定容至200mL。 B: 50 mmol/LK2HPO4: 称KH2PO43.40g加蒸馏水溶解后定容至500mL。 取溶液A 31.5mL +溶液B 68.5mL, 调节pH至6.5。置4℃冰箱备用。 10mmol/L pH 6.5磷酸氢二钾-磷酸二氢钾缓冲液用上述母液
1. 石蜡切片脱蜡和水化后,用PBS(PH7.4)冲洗三次,每次5分钟。 PBS配制 (2000ml)PH7.4 氯化钠: 17g 磷酸二氢钠:0.4g 磷酸氢二钠:6.3g 2. 根据每一种抗体的要求,对组织抗原进行相应的修复。 我采用压力锅进行抗原修复,取一定量的修复液于压力锅中,加热至沸腾,将脱蜡水化后的组织切片置于不锈钢或耐高温塑料切片架上,放入已沸腾的缓冲液中,盖上锅盖,扣上压力阀,继续加热至喷气,从喷气开始计时,2分钟后,压力
关键词: 骨水泥 组织学 生物 力学 摘 要:我们研制了两种可被骨长入的骨水泥:一种是部分可吸收的骨水泥(PRC),以双酚x-甲基丙烯酸甘油酯(Bis-GMA)为基质,混合硅铝陶瓷和可吸收性聚合体颗粒调制成;另一种是磷酸钙骨水泥(CPC),由磷酸三钙、一水磷酸二氢钙、二水磷酸二钙和黄原胶组成。将这两种骨水泥分别植入家兔股骨和胫骨髁的骨缺损中,植入后2、4、12和24周取材,进行组织学观察和生物 力学测试。结果发现
技术资料暂无技术资料 索取技术资料










