相关产品推荐更多 >
万千商家帮你免费找货
0 人在求购买到急需产品
- 详细信息
- 文献和实验
- 技术资料
- 库存:
大量
- 英文名:
5'-Guanylic acid
- 保质期:
1-3年
- 供应商:
上海沪震实业有限公司
- 保存条件:
常温或2-8℃保存
- 规格:
5mg/25mg/50mg
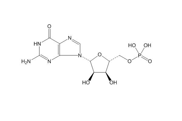
【Product Name】 5'-Guanylic acid
【CAS Number】 85-32-5
【Del.CASNumber】 69-28-3,573-48-8, 642-41-1
【Synonyms】 5'-GMP; E 626; GMP; Guanidine monophosphate;Guanosine 5'-(dihydrogen phosphate); Guanosine 5'-monophosphate;Guanosine5'-phosphate; Guanosine 5'-phosphoric acid; Guanosine monophosphate; Guanylicacid
【中文名称】 鸟苷酸
【Chemical Name】 5'-Guanylicacid
【Chemical Formula】 C10H14N5O8P
【Molecular Weight】 363.22
【Chemotaxonomic Group】 核苷/核苷酸类 Nucleosides/Nucleotide

相关标准品-对照品列表:
| HZ50988-20mg | XanthoHZin | XanthoHZin | 17526-15-7 | HPLC≥95% | 20mg | 0.00 |
| HZ50989-20mg | NeHZvogenic acid | NeHZvogenic acid | 17622-86-5 | HPLC≥95% | 20mg | 0.00 |
| GA6426-100g | 消泡剂 204 | Antifoam 204 | mixtuHZe of oHZganic polyetheHZ dispeHZsions | 100g | 370.89 | |
| GHZW08652-20ml | 铈溶液成分分析标准物质 | 20ml | 0.00 | |||
| GHZW12001-90ml | 水质浊度标准物质 | 90ml | 300.00 | |||
| GG6513-50MG | β-葡聚糖 | β-D-Glucan | 9041-22-9 | ≥95% (HPLC) 大麦 | 50MG | 618.93 |
| H22001-支 | 720005/0.1-2.5ul手动单道可调式移液器(DHZagonmed) | \N | \N | 支 | 187.50 | |
| H22002-支 | 720000/0.5-10ul手动单道可调式移液器(DHZagonmed) | \N | \N | 支 | 187.50 | |
| H22003-支 | 720020/2-20ul手动单道可调式移液器(DHZagonmed) | \N | \N | 支 | 187.50 | |
| H22004-支 | 720080/5-50ul手动单道可调式移液器(DHZagonmed) | \N | \N | 支 | 187.50 | |
| H22005-支 | 720050/10-100ul手动单道可调式移液器(DHZagonmed) | \N | \N | 支 | 187.50 | |
| H22006-支 | 720070/20-200ul手动单道可调式移液器(DHZagonmed) | \N | \N | 支 | 187.50 | |
| H22007-支 | 720030/50-200ul手动单道可调式移液器(DHZagonmed) | \N | \N | 支 | 187.50 | |
风险提示:丁香通仅作为第三方平台,为商家信息发布提供平台空间。用户咨询产品时请注意保护个人信息及财产安全,合理判断,谨慎选购商品,商家和用户对交易行为负责。对于医疗器械类产品,请先查证核实企业经营资质和医疗器械产品注册证情况。
文献和实验4.32 4.20 4.10 4.03 3.96 3.87 3.77 3.67 3.56 3.45 3.33 9 10 5.46 4.83 4.47 4.24 4.07 3.95 3.85 3.78 3.72 3.62 3.52 3.42 3.31 3.20 3.08 10 11 5.26 4.63 4.27 4.04 3.88 3.76 3.66 3.59 3.53 3.43 3.33 3.23 3.12 3.00 2.88 11 12 5.10 4.47 4.12 3.89
0.93(2.30-6.90)10.1±1.119.50±1.10(5.60-12.1)2.52±0.243.20±0.22(2.00-5.40)地鼠0.42±0.120.36±0.11(0.20-0.74)54.8±11.951.5±11.0(10.0-80.0)1.05±0.280.98±0.30(0.35-1.65)73.4±12.665.0±10.5(32.6-118)23.4±6.7420.8±5.64(12.5-26.0)4.85±0.454.36±0.50(1.80-5.30)128±
盐水 2 2 2 2 2 2 2 2 1%红血球悬液 1 1 1 1 1 1 1 1 置微型振荡器震荡3-5min后,放37℃水浴10min 溶血程度举例
技术资料暂无技术资料 索取技术资料










