相关产品推荐更多 >
万千商家帮你免费找货
0 人在求购买到急需产品
- 详细信息
- 文献和实验
- 技术资料
- 库存:
539
- 英文名:
Anti-His Affinity Gel
- 保质期:
1年
- 供应商:
北京百奥莱博科技有限公司
- 保存条件:
-20℃
特别声明:本产品及我公司所售其他产品均为科研类试剂产品,严禁用于药物、医疗及其他非科研用途。
北京百奥莱博主要从事生物试剂的生产和销*(代"售"),产品线涵盖Anti-His标签亲和纯化凝胶(国产,进口)在内的分子生物学试剂产品,还包括PCR及荧光定量PCR、核酸提取试剂盒类、样本核酸保护试剂、核酸提取、克隆与转化、蛋白纯化、蛋白检测、免疫组化、细胞凋亡与抗体等。
名称:Anti-His标签亲和纯化凝胶(国产,进口)
产地:国产|进口
品牌:百奥莱博
规格:1ml
编号:SY0435
Anti-His Affinity Gel(Anit-His亲和纯化凝胶)由高质量的鼠源 IgG1单克隆抗体与sepharose 4B gel 通过供价偶联制备,本产品具有较高的His标签融合蛋白加载容量(至少为0.6mg protein/mL凝胶),杂蛋白非特异结合少,可用于带有His标签的融合蛋白免疫沉淀(IP)和纯化。我公司提供的Anit-His亲和纯化凝胶可用于纯化N-端、C-端、4×His、5×His、6×His融合蛋白。
亚型:Mouse IgG1
纯化方法:Protein A
浓度:7.5g抗体/L凝胶
应用:蛋白纯化,免疫沉淀(IP)
蛋白结合量(Protein):≥0.6 mg蛋白/mL凝胶
储存缓冲液:TBS, 50% 甘油, pH 7.4,含有0.02%(w/v)叠氮*
储存条件:-20℃,有效期1年
欲咨询购买Anti-His标签亲和纯化凝胶(国产,进口),请致电北京百奥莱博科技有限公司,为您提供最全面周到的产品服务,除此之外,我公司正在促销以下产品:
·8%-16%梯度预制胶,12孔
编号:SY0370
英文名称:Precast Protein Gels, 8%-16%, 12 wells
规格:1盒(10块)
本品通过pH中性缓冲液制备,丙*(代"烯")酰胺与甲叉丙*(代"烯")酰胺配比是29:1,其规格为浓缩胶5%,分离胶8-16%,胶板尺寸10×8cm,凝胶厚度1 mm,12孔梳齿,单孔最大上样量25 µl。电泳及转膜缓冲液使用传统的tris-glycine缓冲液,蛋白条带直且尖锐。本品兼容Biorad,天能及北京六一的mini胶电泳槽及其他任何胶板宽度在10 cm的电泳槽。
蛋白电泳经常使用聚丙*(代"烯")酰胺凝胶来实现蛋白分离,此类凝胶一般由浓缩胶和分离胶两部分组成,前者起到将蛋白样品进行浓缩的作用,后者则是根据凝胶所使用的丙*(代"烯")酰胺单体和N,N-亚甲基双丙*(代"烯")酰胺(甲叉丙*(代"烯")酰胺)交联剂的浓度不同从而分离不同大小范围的蛋白质。与传统实验室自行配制凝胶相比,使用预制胶具有以下优点:1)即开即用,不用再配制N种溶液、灌胶、等胶凝固,节省了宝贵的时间和精力;2)不用接触几种具有积累性神经毒性的试剂(丙*(代"烯")酰胺/甲叉丙*(代"烯")酰胺:神经毒性和遗传毒性;TEMED:强神经毒;过硫*(代"酸")铵:可严重损伤呼吸道,眼睛,皮肤);3)大规模生产,胶与胶之间重复性好,质量稳定,不像手工灌胶那样结果差异大。
使用方法
1)剪开包装取出胶,撕去胶板底端橙色胶纸,将预制胶固定在电泳槽中,加入电泳缓冲液没过梳齿部位,双手按住梳子左右部位将其平稳缓慢(一定要慢,否则会将胶齿拔断或拔歪)拔出,在前后板的上方中央卡上一个“V”型卡(通过加固前后板,不仅可防止枪头上样用力过猛撬开两板产生缝隙,还可稳定跑胶质量,电泳过程中“V”型卡不可取出),上样后进行电泳,电泳后取出胶板,用镊子或小螺丝刀沿左右两板间的缝隙将两板别开,将胶取出,弃去塑料板。
2)电泳:使用《分子克隆》指定的tris-glycine电泳缓冲液(tris 25 mM, glycine 250 mM, SDS 0.1%),也可使用我司的Western Blot电泳电转通用缓冲液(SY0360)。推荐使用低压100V,15min换高压150V跑至电泳结束。
3)转膜:使用《分子克隆》的 tris-glycine 电转缓冲液(含 20%甲醇或乙醇),操作与实验室原有操作完全相同。也可以使用我司的Western Blot电泳电转通用缓冲液(SY0360),无需添加甲醇,无需冰浴,但是需要另行添加20%乙醇,恒压80V电转60 min。
储存条件:4℃,有效期一年。
注意事项
1)您的安全和健康,请穿实验服并戴一次性手套操作。本品含有的部分试剂如丙*(代"烯")酰胺和甲叉双丙*(代"烯")酰胺有毒,对人体有害,请注意适当防护。
2) 电转缓冲液建议使用新配制的缓冲液,试剂纯度不够,反复使用或长期放置过的缓冲液会降低电泳效果。传统《分子克隆》的tris-glycine 电泳及电转缓冲液是不用 NaOH 和 HCl 调整 pH,因为引入的*离子和*离子会影响电泳效果。
3)电泳前请务必撕去胶板底端的胶纸。
4)拔掉梳子后,如果偶尔出现胶齿不直的情况,可用注射器针头将胶齿拨正。
5)本预制胶对于Biorad和天能的电泳内外槽存在微小泄露,可通过两种方式解决本问题:一是内槽加满意缓冲液,外槽液面加至距内槽液面3-5mm,从而可防止在电泳过程中内槽液面逐步下降。另一种解决方式是将Biorad的硅胶封闭垫取出后反过来安装,使其没有凸起的平滑面朝外,从而防止漏液。
Anti-His标签亲和纯化凝胶(国产,进口)关键词:SY0435,Anti-His Affinity Gel,Anti-His标签亲和纯化凝胶
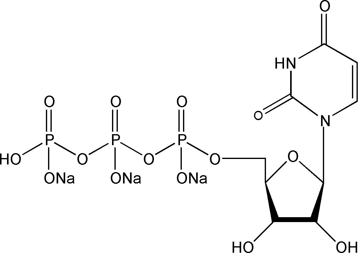
·尿苷三磷酸溶液(100 mM)(UTP)
编号:SY0054
英文名称:UTP Solution(100 mM)
规格:1ml
UTP即Uridine-5-triphosphate,中文名为尿苷-5’-三磷酸,可用于分子生物学中多种相关应用,如体外转录、RNA扩增、siRNA合成等。UTP还可参与半乳糖代谢,在此代谢途径中活化形式的UDP-半乳糖转换为UDP-葡萄糖,后者进入糖原合成途径。
本产品为纯度≥99%(HPLC)的UTP三*盐配制所得的无色透明水溶液, pH (25℃)= 7.0±0.1,浓度为100mM,且无DNase和RNase污染。
英文别名:Uridine-5-triphosphate, trisodiu*(代"m") salt
CAS:63-39-8 (acid form); 19817-92-6 (3Na salt)
分子式:C9H12N2Na3O15P3
分子量:550.09 (acid form: 484.09)
纯度:HPLC ≥99%
外观:无色透明液体
结构式:
储存条件:-20℃,有效期2年。
·一氧化*(代"氮")检测探针
编号:SY0595
英文名称:DAF-FM DA Solution (5mM in DMSO)
规格:100T
本品为溶解于DMSO的淡黄色溶液,浓度为5mM。本品适用于检测细胞内的一氧化*(代"氮")水平,推荐工作浓度为1-10µM。如果收集细胞后再装载探针,通常至少可以检测100个样品。
DAF-FM DA即4-Amino-5-Methylamino-2,7-Difluorofluorescein Diacetate,也称DAF-FM Diacetate,是最新一代用于一氧化*(代"氮")(nitric oxide, NO)定量检测的探针,其检测原理为:DAF-FM DA可以穿过活细胞膜(cell-permeable),进入细胞后可以被胞浆内的酯酶催化形成不能穿过细胞膜的DAF-FM。DAF-FM本身仅有很弱的荧光,光量子约0.005,但在与NO反应后生成荧光素-*骈三氮唑(benzotriazole),发强烈绿色荧光,光量子约0.81。Ex~495nm,Em~515nm。任何可以检测荧光素(fluorescein)的仪器,包括荧光显微镜、激光共聚焦显微镜、流式细胞仪、荧光分光光度计或荧光酶标仪都可以用于该荧光探针的检测。
DAF-FM DA是最新一代NO检测探针,与以往最成功且应用最广泛的一氧化*(代"氮")荧光检测探针DAF-2 Diacetate相比较,具有多方面的改进:1)DAF-FM DA和NO加合反应形成的荧光产物在pH5.5以上不受pH影响;2)DAF-FM DA和NO加合反应形成的产物荧光更加稳定,不容易淬灭,这样更加便于检测;3)DAF-FM DA对一氧化*(代"氮")的检测灵敏度更高,其最低检测浓度可达到3nM,而DAF-2 Diacetate的最低检测浓度约为5nM。
CAS:254109-22-3
分子式:C25H18F2N2O7
分子量:496.42
纯度:>98%
储存条件:-20℃避光,有效期12个月
结构式

Anti-His标签亲和纯化凝胶(国产,进口)关键词:SY0435,Anti-His Affinity Gel,Anti-His标签亲和纯化凝胶
ARB10929 人吡哆醛/吡哆醇维生素B6磷酸酶(PDXP)血清中含量检测 Human pyridoxal/pyridoxine vitamin b6-phosphatase,pdxp ELISA KIT
TEN缓冲液(1×,pH8.0) 500ml
F030435 胶体金标记山羊抗鸡IgY IgG抗体 Polyclonal Goat Anti-Chicken IgY(IgG)*GOLD
门冬酰胺酶 Sodium stearate 9015-68-3
9025-56-3 半纤维素酶 Hemicellulase
PY01-139 胎牛血清 200克
组蛋白A(小牛胸腺) TAME 9064-47-5
2-脱氧-D-葡萄糖 Boc-L-aspartic acid 4-benzyl ester 154-17-6
ARB11456 人特异性免疫球蛋白E(sIgE)酶联免疫定量检测 Human specific immunoglobulin e,sige ELISA KIT
ARB10812 人抗存活素抗体/生存蛋白(Surv)检测服务 Human anti-survivin antibody,surv ELISA KIT
碳酸铈 HEPPSO sodiu*(代"m") salt 54451-25-1
ARB11018 人尿苷二磷酸葡萄糖神经酰胺葡萄糖基转移酶(UGCG)elisa检测 Human udp-glucose ceramide glucosyltransferase ELISA KIT
Tris-HCl缓冲液(pH6.4) 0.1mol/L 500ml
SJ0199 Malt Extract 麦芽提取物
酒石酸铜 Potassium tartrate hemihydrate 815-82-7或17263-56-8
9001-75-6 Pepsin1:3000 胃蛋白酶 1:3000
PY02-301 双歧杆菌生化用基础培养基 250克
我公司强烈推荐蛋白质研究系列产品,热情期待您的咨询选购Anti-His标签亲和纯化凝胶(国产,进口)。
风险提示:丁香通仅作为第三方平台,为商家信息发布提供平台空间。用户咨询产品时请注意保护个人信息及财产安全,合理判断,谨慎选购商品,商家和用户对交易行为负责。对于医疗器械类产品,请先查证核实企业经营资质和医疗器械产品注册证情况。
文献和实验国产新冠药物登顶 NEJM,疗效不输 Paxlovid,且不良事件更少
病毒的药物——VV116,其作为对严重急性呼吸综合征具有有效活性的口服抗病毒药物,同时是我国首个国产靶向新冠病毒 RNA 复制酶的小分子药物抑制剂。 2022 年 12 月 28 日,上海瑞金医院赵任教授、宁光院士、上海仁济医院皋源教授等团队联合在国际医学顶刊 NEJM 杂志上发表研究论文 VV116 versus Nirmatrelvir–Ritonavir for Oral Treatment of Covid-19。 该研究首次报告感染奥密克戎病毒且具有高危症状的患者的 3 期临床
11 月 13 日,首都机场出入境检验检疫局检疫人员对一批申报为「塑胶板」(申报货值 50 美元,收货人显示为北京美术学院)的快件进行查验,传说中的塑胶板长这样:此「塑胶板」实际上为 36 瓶胎牛血清、生物试剂等产品。检验检疫部门对发货和收获人的情况进行排查布控,共查获牛血清 93 瓶,其中美国牛血清 21 瓶,新西兰牛血清 1 瓶,墨西哥牛血清 1 瓶,澳大利亚牛血清 70 瓶。检验检疫部门将 4 批涉案牛血清做了相关实验室检测,结果发现牛病毒性腹泻病毒核酸阳性和抗体阳性。牛病毒性腹泻是农业
1、【仪器名称】:进口代谢笼。 2、【仪器型号】:2602动物器具。 3、【生产厂家】:意大利TECNIPLAST公司。 4、【检测适用范围】:完全地分离粪便和尿液,尿液不会被污染。 5、【仪器使用优点、缺点】:独特的漏斗和锥形体设计保证了粪便和尿液的分离收集,尿液不会被污染
技术资料暂无技术资料 索取技术资料










