相关产品推荐更多 >
万千商家帮你免费找货
0 人在求购买到急需产品
- 详细信息
- 文献和实验
- 技术资料
- 库存:
502
- 英文名:
CTP Solution(100 mM)
- 保质期:
2年
- 供应商:
北京百奥莱博科技有限公司
- 保存条件:
-20℃
特别声明:本产品及我公司所售其他产品均为科研类试剂产品,严禁用于药物、医疗及其他非科研用途。
北京百奥莱博专业生产销*(代"售")北京胞苷三磷酸溶液(100 mM)(CTP)品牌,我公司供应的分子生物学试剂品类齐全,且具有优势价格,欢迎新老客户垂询订购。
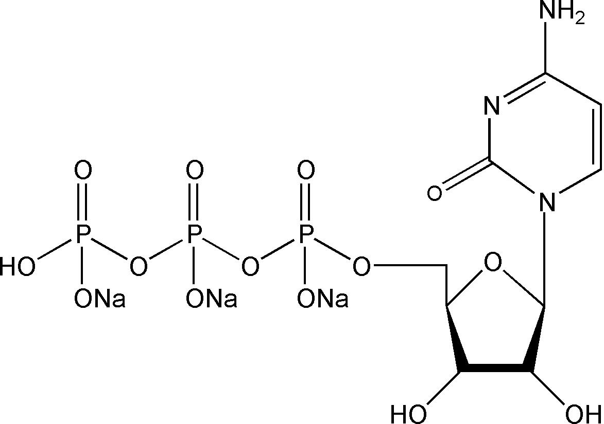
名称:胞苷三磷酸溶液(100 mM)(CTP)
英文名:CTP Solution(100 mM)
品牌:百奥莱博
产地:国产|进口
规格:1ml
CTP即Cytidine-5-triphosphate,中文名为胞苷三磷酸,可用于分子生物学中多种相关应用,如体外转录、RNA扩增,以及胆碱和乙醇胺的合成等。
本产品为纯度≥99%(HPLC)的CTP三*盐配制所得的无色透明水溶液, pH (25℃)= 7.0±0.1,浓度为100mM,且无DNase,RNase和磷酸酶污染。
英文别名:Cytidine-5-triphosphate,trisodiu*(代"m") salt
CAS:65-47-4 (acid form)
分子式:C9H13N3Na3O14P3
分子量:549.1(acid form: 483.15)
外观:无色透明溶液
纯度:≥99%(HPLC)
结构式:
储存条件:-20℃,有效期2年。
关键词:100 mM,Cytidine-5-triphosphate,trisodiu*(代"m") salt,65-47-4,胞苷三磷酸溶液
北京胞苷三磷酸溶液(100 mM)(CTP)品牌极具性价比,此外,我公司正火爆促销以下产品:
| 编号 | 名称 |
| SY0470 | 细胞周期与细胞凋亡检测试剂盒 |
| SY0612 | 重组人IFN-α2a |
| SY0756 | DAB显色试剂盒紫蓝色(WB) |
| SY0588 | 内质网蓝色荧光探针(活细胞) |
| SY0264 | DEPC水(无DNase、RNase ) |
| SY0500 | Hoechst 33342/PI双染试剂盒 |
| SY0312 | AEBSF |
| SY0482 | 喜树碱溶液(5mM) |
| SY0248 | 强力*化乙锭去除剂 |
| SY0070 | NFAT-Luc荧光素酶报告基因质粒 |
| SY0656 | HRP标记小鼠抗V5-Tag单克隆抗体 |
| SY0350 | 5×非变性蛋白上样缓冲液 |
| SY0175 | GRE-GFP报告基因质粒 |
| SY0281 | 零背景TOPO-TA克隆试剂盒 |
| SY0182 | CREB-GFP报告基因质粒 |
| SY0224 | PPAR-GFP报告基因质粒 |
| SY0437 | 髓鞘少突胶质细胞糖蛋白(MOG) (35-55) |
| SY0558 | 活细胞示踪剂CMFDA(绿色) |
| SY0584 | 细胞膜深红色荧光探针 |
| SY0653 | 兔抗HA-Tag多克隆抗体 |
| SY0493 | 罗丹明123 |
| SY0678 | Alexa Fluor 790标记山羊抗兔IgG(H+L) |
| SY0198 | E2F-GFP报告基因质粒 |
| SY0517 | *化可的松 |
| SY0655 | 小鼠抗V5-Tag单克隆抗体 |
| SY0589 | iFluor 647标记鬼笔环肽(远红) |
| SY1066 | Bcl-2抑制剂(GDC-0199) |
| SY0061 | STAT3萤火虫荧光素酶报告基因质粒 |
| SY0282 | 零背景TOPO-TA克隆试剂盒(不含MCS多克隆酶切位点) |
| SY0311 | 磷酸酶抑制剂混合物(100×) |
| SY0039 | 2×即用型PCR预混溶液(热启动高保真) |
| SY0294 | 耐热逆转录酶II |
| SY0703 | R-藻红蛋白标记山羊抗大鼠IgG(H+L)F(ab)2片段 |
| SY0318 | 免疫印迹及免疫沉淀用(WB/IP)裂解液 |
| SY0524 | 胰酶溶液(0.25%),含酚红 |
| SY0436 | 人β-淀粉样多肽 1-42 |
| SY0685 | Cy3标记山羊抗小鼠IgG(H+L) |
| SY0652 | 小鼠抗HA-Tag单克隆抗体 |
风险提示:丁香通仅作为第三方平台,为商家信息发布提供平台空间。用户咨询产品时请注意保护个人信息及财产安全,合理判断,谨慎选购商品,商家和用户对交易行为负责。对于医疗器械类产品,请先查证核实企业经营资质和医疗器械产品注册证情况。
文献和实验颜料。低廉的工业颜料带入了更多未知复杂的成分污染样品。 2. 释放剂。主要用于帮助吸头在成形后迅速与模具脱离。在此情况下,添加剂越多,在移液过程中可能会发生化学反应的概率就会越高。《Science》曾有文章发表显示,吸头中检测出含有油酸酰胺和 DiHEMDA 会影响分子生物学的实验结果。 因此,高品质的吸头不可以有添加剂。但由于对生产工艺要求比较高,完全不加添加剂的吸头品牌在市场上却是凤毛麟角。 三、 吸头的品质(生物污染) 现在越来越多的高要求的实验需要吸头无 RNA 酶
法定薄层色谱扫描仪世界只有瑞士卡玛、上海科哲、德国迪塞克、日本岛津公司四家生产,上海科哲是国内唯一的法定薄层色谱扫描仪生产商,日本岛津公司产品为中国苏州生产。四家生产商的产品都可以满足一般的分析需要并保证相应的质量,如何选用不同品牌成为一个问题。主要要根据使用单位的性质与需求进行选购:服务、价格、产品性能价格比、目标客户; 从服务上来讲,瑞士卡玛、上海科哲比较专业,都可以提供薄层色谱解决方案;岛津薄层产品不是公司主要业务、产品线也比较单一,不可能提供比较专业的服务;德国
操作说明 1.槽内加入液体介质,液体介质液面不能低于工作台板30mm。 2.液体介质的选用: A:工作温度低于5℃时,液体介质一般选用酒精。 B:工作温度5~80℃时,液体介质一般选用纯净水。 C:工作温度80~90℃时,液体介质一般选用15%甘油水溶液。 D:工作温度90~100℃时, 液体介质一般选用油。 3.循环泵的连接 A:内循环泵的连接
技术资料暂无技术资料 索取技术资料










