相关产品推荐更多 >
万千商家帮你免费找货
0 人在求购买到急需产品
- 详细信息
- 文献和实验
- 技术资料
- 库存:
211
- 英文名:
Intracellular calcium fluorescence probe
- 保质期:
6个月
- 供应商:
北京百奥莱博科技有限公司
- 保存条件:
-20℃
特别声明:本产品及我公司所售其他产品均为科研类试剂产品,严禁用于药物、医疗及其他非科研用途。
北京百奥莱博供应的北京细胞内*离子荧光探针(Fluo-4 AM)品牌用于生化科研试验,本产品质量好,且极具价格优势,深为用户称道,了解更多细胞内*离子荧光探针(Fluo-4 AM)等探针标记及检测产品请联*(代"系")我司咨询订购。
名称:北京细胞内*离子荧光探针(Fluo-4 AM)品牌
规格:25微升
品牌:百奥莱博
英文名:Intracellular calcium fluorescence probe
产地:国产|进口
编号:YT948
本品是最常用的检测细胞内*离子浓度的荧光探针之一.用于细胞内*离子检测时,Fluo-4 AM的常用浓度为0.5-5μM。通常用含有0.5-5μM的Fluo-4 AM的适当溶液和细胞一起在20-37℃孵育10-60分钟进行荧光探针装载,随后适当洗涤,洗涤后可以考虑适当再孵育20-30分钟以确保Fluo-4 AM在细胞内充分转变成Fluo-4。本Fluo-4 AM(*离子荧光探针) 是配制于无水DMSO (anhydrous DMSO)中的储存母液,浓度为2mM。
分子式:C51H50F2N2O23
分子量:1096.95
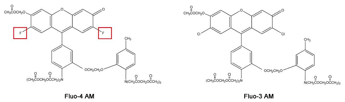
Fluo-4 AM在Fluo-3 AM的基础上改进而成,其特点是加载更快并且在相同条件下荧光更加明亮。Fluo-4 AM将Fluo-3 AM结构中的*原子替换成了*原子,导致它的最大激发波长会向短波长处偏离12nm左右。这个波长更接近于氩激光器的波长488nm,所以用氩激光器激发时,Fluo-4的荧光强度会比Fluo-3强一倍。由于Fluo-4与*离子的亲和力和Fluo-3相近,所以使用上和Fluo-3也基本相同,可以使用激光共聚焦显微镜、荧光酶标仪等荧光检测仪器来测定细胞内*离子浓度的变化。Fluo-4 AM和Fluo-3 AM的结构式参考下图。

Fluo-4 AM是Fluo-4的乙酰甲酯衍生物,是一种可以穿透细胞膜的荧光染料。Fluo-4 AM的荧光非常弱,其荧光不会随*离子浓度升高而增强。Fluo-4 AM进入细胞后可以被细胞内的酯酶剪切形成Fluo-4,从而被滞留在细胞内。Fluo-4可以和*离子结合,结合*离子后可以产生较强的荧光,最大激发波长为494nm,最大发射波长为516nm。实际检测时推荐使用的激发波长为488nm左右,发射波长为512-520nm。Fluo-4的激发光谱和发射光谱参考下图。

注意事项:
1. Fluo-4 AM遇水极易分解,建议第一次使用时,母液分装并密封保存,同时注意保持干燥。
2. Fluo-4 AM在4℃、冰浴等较低温度情况下会凝固而粘在离心管管底、管壁或管盖内,可以20-25℃水浴温育片刻至全部融解后使用。
3. 探针的工作浓度、细胞量、孵育温度和时间等需要根据不同实验预先摸索。
4. 荧光染料均存在淬灭问题,请尽量注意避光,以减缓荧光淬灭。
储存条件:-20℃,有效期6个月。
北京细胞内*离子荧光探针(Fluo-4 AM)品牌正在火爆热销,除此之外,为您推荐下别热销产品:
BL1171 真菌基因组DNA提取试剂盒
CBZ-甘*酸 5′-CTP,3Na 1138-80-3
PY08-005 伊红美兰琼脂平板 9CM 10皿/盒,用于革兰氏阴性肠杆菌尤其是大肠杆菌的分离和鉴定
F050321 猫IgG抗体 The cat IgG
ARB11371 人前列腺素E2(PGE2)含量测试 Human prostaglandin e2,pg-e2 ELISA KIT
ARB10835 人抗纺锤体抗体(MSA)ELISA代测服务 Human mitotic spindle appaRatus antibody,msa ELISA KIT
ARB10091 人C型凝集素结构域家族4成员E(CLEC4E)ELISA检测服务 Human c-type lectin domain family 4 member e,clec4e ELISA KIT
BTN130424 SP交换介质 SP Medium
L-甘-甘-异白三肽 Nigrosine water soluble 69242-40-6
ARB12231 大鼠血栓调节蛋白(TM)定量分析 Rat thrombomodulin,tm ELISA KIT
聚胞苷酸 D-(-)p-hydroxyphenylgcine Dane salt 24939-03-5
ARB13267 小鼠*脱氧核苷尿嘧啶(BrdU)尿液中含量检测 Mouse bromodeoxyuridine,brdu ELISA KIT
阿奇霉素 PS-8A 83905-01-5
羟丙基甲基纤维素 Sodium ascorbate 9004-65-3
罗丹宁 Basic Blue 26 141-84-4
ARB10719 人军团菌抗体IgA(LP Ab-IgA)ELISA代测服务 Human legionella antibody iga,lp ab-iga ELISA KIT
ARB13847 猪巨噬细胞炎性蛋白1α(MIP-1α/CCL3)检测服务 Porcine macrophage inflammatory protein 1α,mip-1α ELISA KIT
BTN130899 GAL指示剂培养基 GAL Indicator Medium
北京细胞内*离子荧光探针(Fluo-4 AM)品牌关键词:Fluo-4 AM,细胞内*离子荧光探针(Fluo-4 AM),YT948,Intracellular calcium fluorescence probe
·TG1甘油菌
编号:YT026
英文名称:E.coli TG1
规格:200μl
本产品是收集生长在对数期的TG1菌,加入含有甘油的细菌冻存液制备而成。可以直接划平板或小量、大量培养。TG1常用于质粒扩增和质粒构建。TG1和DH5α、JM109等常见大肠杆菌相比,其生长速度快很多。用于质粒构建时,可以缩短构建周期。
注意事项:
1. 使用本甘油菌时可以不必完全融解,在甘油菌表面蘸取少量涂板或进行液体培养即可。也可以完全融解后使用,但随着冻融次数的增加细菌的活力会逐渐下降。
2. 为保证菌种纯正,避免其它细菌污染,尽量先划平板然后再挑单克隆菌落进行后续操作。
储存条件:-20℃,有效期一年。
·GFP抗体
编号:YT780
英文名称:anti-GFP antibody
规格:>40次
本抗体是用全长的来源于水母的GFP(green fluorescent protein)免疫rabbit,然后用protein A和抗原多肽亲和柱经过两步纯化得到的高纯度抗体。本抗体用于常规的Western检测,如果稀释比例为1:1000,则至少可以检测40次。
本GFP抗体可以识别GFP以及GFP的一些突变体例如EGFP(enhanced green fluorescent protein)。
GFP或其突变体EGFP等被广泛用于基因表达效率的检测,以及和目的蛋白融合表达用于检测目的蛋白的表达和分布。本GFP抗体不仅可以检测GFP或其适当的突变体,也可以检测和GFP或其适当的突变体融合表达的蛋白。
产品组份:
GFP抗体————40μl
Western一抗稀释液————40ml
抗体参数:
免疫原物种:水母
免疫原:水母的GFP
宿主:兔
用途:WB,IP,IF
抗体识别位点:Full length GFP
GFP分子量:~27kD
推荐稀释比例:WB(1:200-1000),IP(1:100),IF(1:200)
注意事项:
1. 在Western实验后,请注意回收稀释的抗体。回收的抗体在进行Western实验时至少可以重复使用10次。稀释后的抗体,包括已经使用过的稀释抗体,4℃保存。
2. 回收后重复使用的抗体,使用方法同新鲜稀释的抗体。如果在重复使用过程中发现抗体出现轻微混浊现象,可以10000g离心1-3分钟,取上清用于后续检测。如果回收的抗体出现明显的絮状物或长霉长菌等情况,则可以考虑废弃该抗体。
3. 对于本抗体,Western检测时一抗要4℃缓慢摇动过夜,如果仅短时间与一抗孵育检测效果较差。
储存条件:-20℃,有效期一年。
北京细胞内*离子荧光探针(Fluo-4 AM)品牌关键词:Fluo-4 AM,细胞内*离子荧光探针(Fluo-4 AM),YT948,Intracellular calcium fluorescence probe
DNA Marker I(100~600bp)
ARB13310 口蹄疫非结构蛋白3AB抗体ELISA检测服务
ARB12353 大鼠阿立新A(OrexIn A)代做ELISA实验 Rat orexin a ELISA KIT
BTN130976 Oligo(dT)再生溶液 Oligo(dT)Recharger
ARB12770 小鼠P物质(SP)Elisa方法检测 Mouse substance p,sp ELISA KIT
L-丙交酯 Ferric citrate 4511-42-6
PP0501 新型快速蛋白染色试剂盒
甲**(代"胺")蓝染色液(0.5%,磷酸盐法) 100ml
9012-54-8 Cellulase 纤维素酶
BL0971 大鼠外周血淋巴细胞分离液
人工胃液(无菌) 500ml
PY02-210 胰-亚硫*(代"酸")盐-环丝*酸琼脂基础 250克
ARB13579 兔子白介素9(IL-9)酶标法分析 Rabbit interleukin 9,IL-9 ELISA KIT
BL0870 羊抗兔IgG免疫血清 0.5ml
BTN120615 dATP溶液,100mM dATP Solution
我公司生产供应销*(代"售")的探针标记及检测产品正全系列现货促销,满分期待您的垂询选购北京细胞内*离子荧光探针(Fluo-4 AM)品牌。
风险提示:丁香通仅作为第三方平台,为商家信息发布提供平台空间。用户咨询产品时请注意保护个人信息及财产安全,合理判断,谨慎选购商品,商家和用户对交易行为负责。对于医疗器械类产品,请先查证核实企业经营资质和医疗器械产品注册证情况。
文献和实验清洗在三次,加2&;mu;m的Fluo-3/AM,避光,37度,30分钟 2。细胞负载后,用D&;rsquo;-HANKS清洗二次 3。在confocal上分析细胞内钙离子浓度
rongshenghao 加入激活剂或抑制剂后打算用Fura-2或者Fluo-3测量细胞内钙离子浓度 问: 1.Fura-2和Fluo-3区别? 2.测量的是游离钙还是总钙呀? 3.还有什么需要注意的? 谢了! 2010tiger Fura-2采用双波长检测,Fluo-3是单波长检测,Fura-2的激发波长是340nm和380nm,发射波长为510nm。Fluo-3的激发波长是506nm
wori1123 我的研究课题需要动态观察细胞内钙离子浓度,大概每隔10秒观察一次,想跟大虾们请教下怎么样能解决连续观察时温度的恒定问题,因为试了好多次都不行,谢谢 DarrenWONG 您要观察多久?几分钟?几小时? 用Fluo-4的Flexstation 或 Flipr (Molecular Devices公司)可以实时检测细胞钙流(比如加药后),可以控制温度、湿度,但是读出来的荧光信号,没有
技术资料暂无技术资料 索取技术资料










