相关产品推荐更多 >
万千商家帮你免费找货
0 人在求购买到急需产品
- 详细信息
- 文献和实验
- 技术资料
- 保存条件:
低温运输
- 保质期:
长期
- 英文名:
BAL 31 Nuclease
- 库存:
618
- 供应商:
北京百奥莱博科技有限公司
特别声明:本产品及我公司所售其他产品均为科研类试剂产品,严禁用于药物、医疗及其他非科研用途。
百奥莱博专业生产供应BAL 31核酸酶怎么卖,我公司销*(代"售")全品类的分子生物学试剂,价格优惠,欢迎广大科研工作者垂询订购。
名称:BAL 31核酸酶怎么卖
品牌:百奥莱博
英文名:BAL 31 Nuclease
编号:BTN120409
产地:国产|进口
BAL 31核酸酶纯化自埃氏交替单胞菌BAL-31培养物。BAL-31核酸外切酶降解双链DNA的3´和5´末端,不切割分子内部。该酶同时还是高度特异性的单链核酸内切酶,在切刻、缺口、双链DNA单链区和双链RNA的单链区进行切割。其工作原理图如下:

产品特点:
1.从两端逐步对双链DNA进行切割,缺失的长度适合于100~1000个碱基左右。
2.加入EGTA可失活。
3.限制性酶切图谱的构建。
储存条件:低温运输,-20℃保存,有效期一年。
活性定义:1单位指在50μl反应体系,1X核酸酶BAL-31反应缓冲液,30℃条件下,10分钟从线性双链φX174 DNA(40μg/ml)的两端各切下200个碱基对所需要的酶量。
使用方法:
1.在离心管中加入下列溶液:
| 成分 | 用量 |
| pBR322 -Ava I fragment | 3μg(2.0pmol) |
| 2×反应 Buffer | 37.5μl |
| BAL 31 Nuclease | 3~6U |
| H2O | up to 75μl |
2.30℃保温。分别于1、2、3 min时各取样25μl。
3.加入20mM EGTA,65℃加热10分钟灭活酶。
4.用1% Agarose电泳确认DNA片段。
注意事项:
1.该核酸外切酶的双链产物是平齐末端和粘性末端的混合物。尽管要达到最佳连接效率需要用合适的聚合酶修复粘性末端,但该混合物仍可以直接进行克隆。
2.如果需要,可以在使用前用反应缓冲液稀释该酶。
3.只有在20mM EGTA存在条件下,酶的热失活才有效。
关于BAL 31核酸酶怎么卖的更详细说明,请致电我公司咨询,我们将以最饱满的热情为您提供解答,此外,我公司专业供应下列产品:
·pNPP干粉
编号:BTN131116
英文名称:p-nitrophenyl phosphate,disodiu*(代"m") salt
规格:1g
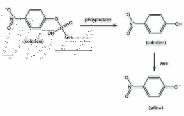
pNPP在ELISA应用中作为检测碱性磷酸酶的底物而被广泛使用。当碱性磷酸酶与PNPP反应后,形成黄色水溶性反应产物。该产物在405nm有光吸收,并可使用传统方法终止反应。其反应原理如下:
储存条件:常温运输,避光保存,有效期一年。
·生物素化山羊抗亲和素
编号:BTN131103
英文名称:Biotin Goat Anti Avidin Antibody
规格:0.5mg
本产品为生物素标记的山羊抗亲和素抗体,通过抗原表位或生物素结合位点与亲和素结合。本产品可以用来放大荧光信号。也是组织染色或细胞分选分析应用的理想选择。
储存条件:低温运输,-20℃保存,有效期一年。
·柱式酱油DNA提取试剂盒
编号:BTN130956
英文名称:Soy sauce DNA column extraction kit
规格:10次
本产品为生物素标记的山羊抗亲和素抗体,通过抗原表位或生物素结合位点与亲和素结合。本产品可以用来放大荧光信号。也是组织染色或细胞分选分析应用的理想选择。
储存条件:低温运输,-20℃保存,有效期一年。
·无机焦磷酸酶(PPase)(酵母)
编号:BTN130658
英文名称:Inorganic Pyrophosphatase(yeast)
规格:10U
无机焦磷酸酶催化无机焦磷酸盐水解生成正磷*(代"酸")盐,转录过程中可提高RNA的产量,其反应原理如下:
产品组成:
| 组份 | 规格 |
| 无机焦磷酸酶(100U/mL) | 100μL |
| 10×Buffer | 1mL |
| 使用手册 | 1份 |
储存条件:低温运输,-20℃保存,有效期一年。
活性定义:1单位指标准反应条件下,[0.5ml反应体系中,100mM Tricine(pH7.2),2mM MgCl2和2mM PPi,于25℃反应10分钟]每分钟催化从无机焦磷酸盐生成1μmol磷酸盐的酶量。
BAL 31核酸酶怎么卖关键词:BAL 31 Nuclease,BAL 31核酸酶,BTN120409
·核酸稀释液,测OD专用
编号:BTN131179
英文名称:Diluent for NA OD Detection
规格:250mL
测定核酸的OD需要一定的pH和盐浓度,本产品就是根据这一特点开发的、专门用于溶解和稀释核酸样品的溶液。
储存条件:常温运输和保存,有效期一年。
·FTA卡血液样品DNA提取试剂盒
编号:BTN130933
英文名称:FTA blood sample DNA extraction kit
规格:50次
测定核酸的OD需要一定的pH和盐浓度,本产品就是根据这一特点开发的、专门用于溶解和稀释核酸样品的溶液。
储存条件:常温运输和保存,有效期一年。
·Denhardt溶液(非同位素探针)
编号:BTN91104B
英文名称:Denhardt Solution
规格:250mL
本产品是最经典的、用于核酸膜杂交时降低膜对标记探针的非特异结合的试剂,早在Southern杂交出现前10年由Denhardt发明,该产品可用与Southern(含单拷贝基因)、Northern、非同位素杂交(B型规格),与硝酸纤维素膜、尼龙膜等各种常用的核酸杂交介质兼容。A和B分别适用于同位素和非同位素探针。
储存条件:低温运输、-20℃保存、有效期一年。
·NP-40裂解液
编号:BTN131009
英文名称:NP-40 Lysis Buffer
规格:100mL
NP-40裂解液是一种比较温和的细胞组织裂解液。NP-40裂解液裂解得到的蛋白样品可以用于常规的Western、IP和co-IP等。
产品特点:
1. 本产品裂解能力强度温和,对膜蛋白的处理能力一般;对核蛋白的提取能力较好;对胞浆蛋白、胞浆磷酸化蛋白和各种转录因子处理效果很好。
2. 本产品含有各种蛋白酶和磷酸蛋白酶抑制剂,能有效防止各种蛋白酶对目的蛋白的降解。
3. 本产品的主要成分为50mM Tris(pH7.4),150mM NaCl,1% NP-40以及sodiu*(代"m") pyrophosphate,β-glycerophosphate,sodiu*(代"m") orthovanadate,sodiu*(代"m") fluoride,EDTA,leupeptin等多种抑制剂,可以有效抑制蛋白降解。
4. 用NP-40裂解液裂解得到的蛋白样品,可以用BCA法蛋白浓度测定试剂盒测定蛋白浓度。由于含有较高浓度的去垢剂,不能用Bradford法测定由本裂解液裂解得到样品的蛋白浓度。
储存条件:低温运输,-20℃保存,有效期一年。
使用方法:
对于培养细胞样品:
1. 融解NP-40 裂解液,混匀。取适当量的裂解液,在使用前数分钟内加入PMSF,使PMSF的最终浓度为1mM。
2. 对于贴壁细胞:去除培养液,用PBS、生理盐水或无血清培养液洗一遍(如果血清中的蛋白没有干扰,可以不洗)。按照6孔板每孔加入150-250微升裂解液的比例加入裂解液。用枪吹打数下,使裂解液和细胞充分接触。通常裂解液接触细胞1-2秒后,细胞就会被裂解。对于悬浮细胞:离心收集细胞,用手指把细胞用力弹散。按照6孔板每孔细胞加入150-250微升裂解液的比例加入裂解液。再用手指轻弹以充分裂解细胞。充分裂解后应没有明显的细胞沉淀。如果细胞量较多,必需分装成50-100万细胞/管,然后再裂解。
3. 充分裂解后,10000-14000g离心3~5分钟,取上清,即可进行后续的PAGE、Western和免疫沉淀等操作。
裂解液用量说明 :通常6孔板每孔细胞加入150 微升裂解液已经足够,但如果细胞密度非常高可以适当加大裂解液的用量到200 微升或250 微升。
对于组织样品:
1. 把组织剪切成细小的碎片。
2. 融解NP-40 裂解液,混匀。取适当量的裂解液,在使用前数分钟内加入PMSF,使PMSF的最终浓度为1mM。
3. 按照每20 毫克组织加入150-250微升裂解液的比例加入裂解液。(如果裂解不充分可以适当添加更多的裂解液,如果需要高浓度的蛋白样品,可以适当减少裂解液的用量。)
4. 用玻璃匀浆器匀浆,直至充分裂解。
5. 充分裂解后,10000-14000g离心3~5分钟,取上清,即可进行后续的PAGE、Western和免疫沉淀等操作。
6. 如果组织样品本身非常细小,可以适当剪切后直接加入裂解液裂解,通过强烈vortex使样品裂解充分。然后同样离心取上清,用于后续实验。直接裂解的优点是比较方便,不必使用匀浆器,缺点是不如使用匀浆器那样裂解得比较充分。
备注:
1. 为取得最佳的使用效果,尽量避免过多的反复冻融。可以适当分装后使用。
2. 裂解样品的所有步骤都需在冰上或4℃进行。
BAL 31核酸酶怎么卖关键词:BAL 31 Nuclease,BAL 31核酸酶,BTN120409
·Bradford法蛋白定量试剂盒
编号:BTN80814
英文名称:Bradford Protein Assay Kit
规格:100mL
Bradford法测定蛋白质浓度是最为常用的蛋白检测方法之一,在酸性条件下,考马斯亮蓝染料能与蛋白质结合形成复合物,其最大吸光值也由465nm转移到595nm,通过颜色的强弱测定蛋白质浓度的高低。本产品是基于Bradford法蛋白检测原理开发的产品。
产品特点:
1.快速,10-20个样品只需要10分钟即可完成测定。
2.稳定,加样混匀后2分钟既可测定,1小时内吸光度变化不超过10%。
3.线性范围在 50~1000μg/mL。
4.最小测量体积为1-20μL,最低测量蛋白量为0.5μg。
5.即开即用,不需要单独购买每个成分再配制。
6.有常规和微量两种检测模式。
7.不受绝大部分样品中的化学物质的影响。巯基乙醇的浓度可高达1M,二硫苏糖醇的浓度可高达5mM。
8.但受略高浓度的表面活性剂影响,各种蛋白质与染料的结合效率可能有差异。
试剂盒组成:
| 成分 | 规格 |
| 溶液A | 100ml |
| BSA标准(2mg/mL) | 1ml |
| 滤纸 | 20张 |
| 说明书 | 1份 |
储存条件:常温运输和保存,BSA 标准-20℃保存,有效期一年。
使用方法:
一、常规检测流程:
此方法在蛋白浓度30-1000μg/mL范围内呈现R2 = 0.996的直线线性回归,可精确定量蛋白浓度在此范围内的蛋白样品。
1.制备 1×工作液。溶液A与无菌水按1:4 比例充分混合即为1×工作液(例:4mL溶液A+ 16mL 无菌水 = 20mL 1×工作液)。
2.滤纸过滤。过滤后的工作液室温条件下可稳定使用1-2 星期。
3.检测:蛋白样品与1×工作液按1:50 比例混合(例:100μl蛋白样品 + 5mL 1×工作液,适用于3mL的比色杯;40μl蛋白样品 + 2mL 1×工作液,适用于1mL的比色杯;20μl蛋白样品 + 1mL 1×工作液,适用于平底透明96孔板)。
4.加样后,充分混匀。
5.室温放置5分钟。
6.检测吸光度。波长设定 = 595nm。
注意事项:
1.不同型号、规格的滤纸,具有不同的孔径,导致可通过的分子各不相同。请使用本公司指定提供的滤纸,否则会导致不同的测定结果。
2.检测样品之前,应首先制备蛋白标准曲线。一般可使用BSA。
a)常规检测:建议使用下述浓度的BSA。
0μg/mL、31.25μg/mL、62.5μg/mL、125μg/mL、250μg/mL、500μg/mL、750μg/mL、1000μg/mL
b)微量检测:建议使用下述浓度的BSA。
0μg/mL、2.5μg/mL、5μg/mL、7.5μg/mL、10μg/mL、20μg/mL。
3.检测细胞提取物或纯化蛋白样品,应使用相应的缓冲液制备蛋白标准曲线。
4.用 96孔板测定时,应确保没有气泡,否则会绝对增加吸光度的读数。
5.此检测试剂不受绝大部分样品中的化学物质的影响。巯基乙醇的浓度可高达1M,二硫苏糖醇的浓度可高达5mM。但受略高浓度的表面活性剂影响。若SDS高于0.1%,TritonX-100高于0.1%,Tween20,60,80高于0.06%,可取少量样品加水稀释到适当浓度,再行测定。
二、微量检测流程:
此方法在蛋白浓度1~20μg/mL范围内呈现R2=0.992的直线线性回归,可精确定量蛋白浓度在此范围内的蛋白样品。
1.蛋白样品与溶液A按4:1比例混合,例:
| 蛋白样品 | 溶液A | 适用性 |
| 400μL | 100μL | 平底透明96孔板 |
| 2mL | 0.5mL | 1mL的比色杯 |
| 4mL | 1mL | 3mL的比色杯 |
2.加样后,充分混匀。
3.室温放置5分钟。
4.检测吸光度。波长设定= 595nm。
注意事项:
1.Bradford蛋白浓度测定的显色反应受许多去污剂的影响。应避免使用SDS,Triton X-100,Tween等溶解蛋白样品。对于难溶解的蛋白样品,可用1MNaOH 溶解和稀释。
2.Bradford蛋白浓度测定的显色反应依赖于蛋白中精*酸残基的数目,因此不同蛋白间测定的差异可能较大。
3.标准品曲线配制时,如果吸量不准确或者加样枪不精确会造成标准曲线相关系数减小,可根据需要使用倍比梯度稀释的方法来配制,或者使用精确度高的加样枪。
4.由于Bradford法在蛋白浓度增高到一定时候,颜色反应并不成比例增加,因此得到的标准曲线只是在一定范围内可以近似看成直线,每次应按照实际测得的标准曲线计算出相对精确的蛋白浓度。
5.不像其它一些蛋白浓度测定方法(包括Lowry法),Bradford法测定蛋白浓度不受绝大部分样品中的化学物质的影响。样品中巯基乙醇的浓度可高达1M,二流苏糖醇的浓度可高达5mM。但受略高浓度的去垢剂影响。需确保SDS低于0.125%,Triton X-100低于0.125%,Tween 20低于0.06%,可以考虑用超纯水稀释,透析/除盐,ACETONE/TCA沉淀蛋白后重溶于超纯水等方法来消除干扰物质的影响。
我公司正在优惠促销工具酶等系列产品,期待您的咨询选购BAL 31核酸酶怎么卖。
风险提示:丁香通仅作为第三方平台,为商家信息发布提供平台空间。用户咨询产品时请注意保护个人信息及财产安全,合理判断,谨慎选购商品,商家和用户对交易行为负责。对于医疗器械类产品,请先查证核实企业经营资质和医疗器械产品注册证情况。
文献和实验相关专题 Bal31核酸酶 是由海生菌(Alteromonas espeliana)提取的。该酶具有高度特异的单链脱氧核糖核酸内切酶活性,也可在缺口或超螺旋卷曲瞬间出现的单链区域降解双链环状DNA或在3′或5′端,渐进地降解双链线性DNA。Bal 31核酸酶具有核糖核酸酶活性,能降解rRNA和tRNA。该酶反应需要Ca2+和Mg2+为辅助因子。Ca2+的特异螯合剂EDTA可终止该酶的水解反应。Bal 31核酸酶
British antilewisite一词的略语,即二硫基丙醇( 2, 3- dimercaptopropanal),它是糜烂性毒气 ClCH=CHASCl2 的一种解毒剂,其分子式是 CH2 OHCHSHCH2 SH。这里 SH基的存在对解毒作用特别重要,因为它能致活 ClCH= CHASCl2 对 SH酶产生的毒害。如果在放射线照射以前,预先给细菌加上这种解毒剂,则放射线的作用将会减弱,所以它又可作为辐射防护剂使用。通常是与Ⅲ价的砷化物形成不溶解的、非电离性
The BAL 31 Nucleases (EC 3.1.11)
The extracellular nucleases commonly called the BAL 31 nuclease take their name from the designation given the marine bacterium producing them, which was originally classified as Pseudomonas BAL 31 (1 ) and reclassified as belonging to the small
技术资料暂无技术资料 索取技术资料










