相关产品推荐更多 >
万千商家帮你免费找货
0 人在求购买到急需产品
- 详细信息
- 文献和实验
- 技术资料
- 保存条件:
4℃干燥
- 保质期:
长期
- 英文名:
DTT
- 库存:
959
- 供应商:
北京百奥莱博科技有限公司
特别声明:本产品及我公司所售其他产品均为科研类试剂产品,严禁用于药物、医疗及其他非科研用途。
DTT 二硫苏糖醇(国产,进口)的品牌:百奥莱博,是优质的蛋白质研究产品,用于生化研究,本产品质量好,且极具价格优势,深为用户称道,了解更多DTT 二硫苏糖醇等蛋白质研究产品请联系我司咨询订购。
名称:DTT 二硫苏糖醇(国产,进口)
规格:10g
品牌:百奥莱博
产地:国产|进口
编号:SY0347
DTT即DL-Dithiothreitol,中文名称为二硫苏糖醇,也称作Cleland’s Reagent,是一种强效的还原剂,将-SH基保持在还原态,常用以还原蛋白和多肽中的二硫键,或更普遍用以防止蛋白半胱氨酸残基形成分子内和分子间的二硫键。DTT还具有抗氧化作用,对一些隐藏的二硫键(溶剂无法渗透发挥作用),DTT可借助变性条件下来还原二硫键,如高温或钠离子变性剂,如6 M盐酸胍,8 M尿素,或1% SDS。
与β-巯基乙醇相比,二者作用相似,但DTT 的刺激性和毒性都低于β-巯基乙醇,且粉末的稳定性也高于β-巯基乙醇。DTT的最佳工作pH范围为7.1-8.0,而在pH 6.5-9.0内都具有活性。蛋白巯基还原实验DTT的常用工作浓度是1-10 mM。
CAS NO. 3483-12-3
分子式 C4H10O2S2
分子量 154.2
纯度 >97%
溶解性:水中最大溶解度为50mg/ml,也溶于乙醇,氯*(代"仿"),乙酸乙酯。
储存条件:4℃干燥
结构式:

注意事项
1)DTT粉末的稳定性很高,但是储存液/工作液必须现配现用,多余液体需丢弃。
2)此产品可能有毒,为了您的安全和健康,请穿实验服并戴一次性手套操作。
想要了解更多关于DTT 二硫苏糖醇(国产,进口)的价格、品牌、厂家、说明书、促销信息,请和我们联系。此外我公司还销售下面的产品:
ARB10183 人α2纤溶酶抑制物(α2-PI)酶标法分析 Human α2-plasmin inhititor,α2-pi ELISA KIT
ARB10299 人不耐热肠毒素B亚单位(LTB)elisa测定使用说明书 Human heat-labile enterotoxin b subunit,ltb ELISA KIT
ARB13588 兔子血纤蛋白原降解产物(FDP)酶免分析 Rabbit fibrinogen degradation product,fdp ELISA KIT
H0301 新生牛血浆(去红细胞、无菌过滤) 100ml/500ml/500ml*20
3-异"青"酸酯基丙基三甲氧基硅烷 Boc-L-alaninol 15396-00-6
PY02-027 G-N增菌培养基 250克
8042-47-5 Mineral oil 矿物油/石蜡油
BL0857 兔抗-HRP纯化抗体
嘧啶 Diacetyl monoxime 289-95-2
BTN130699 RNase 抑制剂(小鼠源) Murine RNase Inhibitor
海柯皂苷元 Florfenicol 467-55-0
乙基纤维素 Sodium acetate anhydrous 9004-57-3
BL1417 "Western blotting(小鼠/兔IgG)
F030624 FITC标记兔抗牛IgG抗体 Rabbit Anti-Bovine IgG*FITC
ARB14089 牛白血病(ALV)Elisa定量检测
DN0701 组织/细胞基因组DNA快速提取试剂盒
CV0601 平末端DNA加A试剂盒
ARB13864 猪生长激素释放多肽(GHRP)ELISA代测服务 Porcine growth hormone releasing Peptide,ghrp ELISA KIT
ARB10395 人可溶性血管内皮细胞蛋白C受体(sEPCR)定量分析 Human soluble endothelial protein c receptor,sepcr ELISA KIT
HC0262 Conbitips Plus分液管
DTT 二硫苏糖醇(国产,进口)关键词:SY0347,DTT,DTT 二硫苏糖醇
BTN100810 超快蛋白银染试剂盒 Rapid Silver Stain for Protein
HC0095 离心管(圆底高速)
乙酰基乙酰苯胺 2-Aminoisobutyric Acid 102-01-2
NF-257 冻干抗人PA血清
005001 4%兔红细胞 100ml
BTN121114 非同位素探针杂交试剂盒 Nonradioactive Probe Hybridization Kit
ARB11534 人高尔基蛋白73(GP-73)elisa检测操作说明书 Human golgi protein 73,gp-73 ELISA KIT
F050302 人IgG抗体 Human IgG
PY02-138 苯丙氨酸脱羧酶培养基 250克
ARB10424 人布氏杆菌病(brucellosIs)定量分析 Human brucellosis (brucellosis) ELISA KIT
苏丹Ⅰ PUC18 842-07-9
F030426 胶体金标记兔抗大鼠IgG抗体 Rabbit Anti-Rat IgG*GOLD
BL1149 10×DNA上样缓冲液
H0701 山羊血浆(去红细胞、无菌过滤) 100ml/200ml/500ml/500ml*20瓶
DTT 二硫苏糖醇(国产,进口)关键词:SY0347,DTT,DTT 二硫苏糖醇
·胃蛋白酶抑制剂
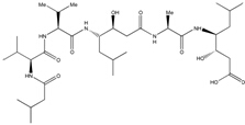
编号:SY0314
英文名称:Pepstatin
规格:5mg
Pepstatin,一种高度选择性酸性蛋白酶抑制剂,可与多种酸性蛋白酶(如胃蛋白酶、高血压蛋白原酶、组织蛋白酶、凝乳酶以及蛋白酶B 等)按照1:1的比例结合从而抑制其活性。Pepatatin还可抑制γ-分泌酶和逆转录酶,但不会抑制巯基蛋白酶、中性蛋白酶、丝氨酸蛋白酶等。
本品常作为一种组分与其他功能蛋白酶抑制剂共同使用,如蛋白酶抑制剂Cocktail(Yeasen Cat# 20123)。常见各种功能蛋白酶系列储存液浓度为:1)bestatin:1.7 mM,选择性抑制氨肽酶;2)E-64:0.22mM,选择性抑制半胱氨酸蛋白酶;3)Pepstatin A :2.5mM,选择性抑制天冬氨酰蛋白酶;4)AEBSF:18 mM,选择性抑制丝氨酸蛋白酶;5)disodium EDTA:86 mM,选择性抑制金属蛋白酶。
在配制本品储存液时,其浓度必须满足所用有机试剂用于工作液时至少做1000倍稀释,如可配制1-2.5mM的储存液。本品有效工作液浓度1µM,典型工作浓度范围0.5-1.0µg/ml。
英文别名:pepstatin A
CAS:26305-03-3
分子式:C34H63N5O9
分子量:685.9
外观:白色粉末
熔点:220-240℃
纯度:≥75%
溶解性:溶于乙醇、甲醇、DMSO,不溶于水
序列:Isoval-Val-Val-Sta-Ala-Sta
储存条件:4℃,有效期3年
结构式:

·ERRE-GFP报告基因质粒
编号:SY0215
英文名称:ERRE GFP Reporter Plasmid
规格:1μg
ERRE-GFP报告基因是用于检测ERRE转录活性水平为目的的报告基因。ERRE(ERR alpha response element) 是ERRα反应元件, ERRα优先结合ERRE中的位点。
ERRE-GFP报告基因主要应用于Estrogen Receptor Related Receptor信号通路、药物研究、相关基因的调控和功能的研究。
pGMERRE-GFP是我公司改造后的哺乳动物真核表达载体,在其多克隆位点插入了多个ERRE结合位点,可以高效地检测ERRE的激活水平。由于载体采用了GFP作为报告基因,更便于后续的检测。同时,对载体中预测出的其它转录因子以外的结合位点进行了适当的突变,增加了质粒的转录因子结合特异性。另外,由于质粒体积减小,使得ERRE-GFP报告基因更易于转染。
质粒图谱

pGM ERRE -GFP质粒测序引物
5’-TAGCAAAATAGGCTGTCCC-3’
使用说明
pGMERRE-GFP可以采用常规转染方法转染哺乳动物细胞。
注意事项
1)本质粒未经我公司允许不得用于任何商业用途,也不得移交给订货人实验室以外的任何人或单位。
2)为了您的健康,实验操作时请穿实验服和带一次性手套。
储存条件:-20℃。
我公司强烈推荐蛋白质研究系列产品,热情期待您的咨询选购DTT 二硫苏糖醇(国产,进口)。
风险提示:丁香通仅作为第三方平台,为商家信息发布提供平台空间。用户咨询产品时请注意保护个人信息及财产安全,合理判断,谨慎选购商品,商家和用户对交易行为负责。对于医疗器械类产品,请先查证核实企业经营资质和医疗器械产品注册证情况。
文献和实验相关专题 蛋白纯化技术专题 DTT( 二硫苏糖醇)是实验室常用的还原试剂,常被用于蛋白质保存以及蛋白二硫键的还原。DTT的入特点是极易被氧化,稳定性较差,一般DTT常保存于-20度中可以长达数年。 DTT是一种很强的还原剂,其还原性很大程度上是由于其氧化状态六元环(含二硫键)的构象稳定性。它的氧化还原电势在pH为7时为-0.33伏。 DTT特点与DDT的保存 DTT是一种常用还原剂,有抗氧化作用,进口
试剂与设备 1. 表达待检测蛋白质的细菌 2. 50mmol/L Tris-Cl (pH7.4) 3. 2×SDS凝胶加样缓冲液 100mmol/L Tris-Cl (pH 6.8)200mmol/L 二硫苏糖醇(DTT)4% SDS(电泳级)0.2% 溴酚蓝20% 甘油不含有二硫苏糖醇(DTT)的2×SDS凝胶加样缓冲液可保存于室温,临用前须从1mol/L二硫苏糖醇储存液现用现加于上述缓冲液中。
是异硫氰酸胍和苯酚,没有特殊去除多糖和多酚的试剂,所以对于大多数多糖多酚的植物无法成功提取,即使添加了如2-巯基乙醇、二硫苏糖醇(DTT)或半胱氨酸之类的防止酚氧化的试剂也很难提取。RNeasy Plant Mini Kit主要裂解液是盐酸胍或则异硫氰酸胍,有些公司进行改进之后添加了诸如PVP40等结合多酚的试剂,亦无法取得让人满意的结果。 百泰克公司在RNA提取方面积累了丰富的实践经验,开发出通用植物总RNA快速提取试剂盒(货号:RP3301或RP3302),使客户几乎不需要再查很多
技术资料暂无技术资料 索取技术资料










