相关产品推荐更多 >
万千商家帮你免费找货
0 人在求购买到急需产品
- 详细信息
- 技术资料
- 供应商:
上海汇谱仪器有限公司
| Cat. Number |
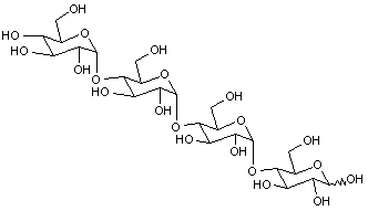
麦芽糖系列标准品
|
||||||||||||||||||||||||||||||
| Chemical Name |
麦芽糖标准品-麦芽糖、麦芽三糖、麦芽四糖、麦芽五糖、麦芽六糖、麦芽七糖
|
||||||||||||||||||||||||||||||
| Storage condition |
RT
|
||||||||||||||||||||||||||||||
| References |
CAS Number:6363-53-7
[HPLC Conditions]
MALTOTRIOSE analytical standard, ampule of 100 mg
Maltotetraose, Dp4
Maltopentaose, Dp5
Maltohexaose , Dp6 麦芽六糖 100 mg
analytical standard, ampule of 100 mg
Maltononaose DP9 - 10 mg Maltodecaose DP10 - 10 mg |
风险提示:丁香通仅作为第三方平台,为商家信息发布提供平台空间。用户咨询产品时请注意保护个人信息及财产安全,合理判断,谨慎选购商品,商家和用户对交易行为负责。对于医疗器械类产品,请先查证核实企业经营资质和医疗器械产品注册证情况。
技术资料暂无技术资料 索取技术资料








