相关产品推荐更多 >
万千商家帮你免费找货
0 人在求购买到急需产品
- 详细信息
- 询价记录
- 文献和实验
- 技术资料
- 英文名:
2-(6-Amino-3-imino-3H-xanthen-9-yl)benzoic acid methyl ester, hydrochloride
- 库存:
Cellstain- Rh123试剂(罗丹明123)
- 供应商:
研卉生物
- 规格:
1mg
规格性状
规格
特性:该产物为红色至红棕色粉末或固体,可溶于二甲基亚砜和甲醇。
NMR光谱:试验成功
溶于甲醇:试验成功
产品概述
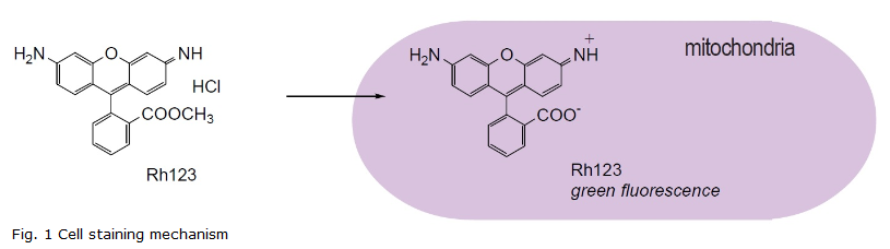
荧光染料罗丹明123(Rh123)是一种可对活细胞线粒体染色的细胞染色试剂。Rh123可透过细胞膜且在活细胞的线粒体内聚集,并发出黄绿色荧光。Rh123用于对许多种细胞进行染色,包括植物细胞和细菌。由于细胞内ATP的量与Rh123的荧光强度之间有相关性,此荧光染料被应用于检测细胞内的ATP。Rh123还用于癌症研究。

荧光特性
λex=507 nm, λem=529 nm
操作说明
染色步骤
1. 将0.4mg Rh123溶解到1ml DMSO中制备成1mM Rh123-DMSO溶液。
2. 用载玻片准备细胞。细胞数目应为5×104-5×105个/ml。
3. 孵育该载玻片,用PBS或Hank's液洗涤细胞。
4. 用培养基稀释1 mM Rh123溶液以制备1-20 µM Rh123缓冲液。
5. 将Rh123缓冲液a) 加入载玻片并在37℃下孵育30分钟至1小时。
6. 去除Rh123缓冲液并用培养基洗涤细胞。b)
7. 用带有荧光素滤光片的荧光显微镜观察细胞。
a) 加入细胞前将Rh123缓冲液放在37℃下孵育。
b) 洗涤细胞后为了固定,加入10%福尔马林缓冲液并孵育15-20分钟,接着用PBS洗涤。
【注意】
该产品通常以薄膜形式附着在管的底部。
在极少数情况下,由于运输过程中的振动,该产品可能会从管子的底部脱落,并粘附在管子的壁表面或盖的背面。打开之前,请先将内容物放下。 
文献
1) L. V. Johnson, M. L. Walsh and L. B. Chen, "Localization of mitochondria in living cells with rhodamine 123.", Proc. Natl. Acad. Sci. USA, 1980, 77(2), 990.
2) C. S. Downes, M. J. Ord , A. M. Mullinger, A. R. Collins and R. T. Johnson, "Novobiocin inhibition of DNA excision repair may occur through effects on mitochondrial structure and ATP metabolism, not on repair topoisomerases", Carcinogenesis, 1985, 6(9), 1343.cytes", Biochem. Biophys. Res. Commun., 1997, 236, 738.
常见问题Q&A
| Q1:使用Rh123的示例
|
|
A1:1)将细胞放在盖玻片上,孵育过夜。 2)如果您想治疗药物,请在此时进行。 =>用PBS清洗两次后,用化学药品处理。 3)用PBS洗涤两次后,添加Rh123。 =>首先,制成1 mg / mL DMSO溶液,并使最终浓度为0.1-0.02μg/ mL。 4)反应1小时(37℃)后,用PBS洗涤两次。 5)用10%中性福尔马林修复。 (无需强行修复。它似乎可以防止清洁时脱皮) 6)风干后,用甘油等样品 它基于J. Cell Biol。,133,211-220(1996),但已进行了一些更改。
|
|
Q2:细胞染料的激发波长和发射波长是多少。 |
| A2: |

风险提示:丁香通仅作为第三方平台,为商家信息发布提供平台空间。用户咨询产品时请注意保护个人信息及财产安全,合理判断,谨慎选购商品,商家和用户对交易行为负责。对于医疗器械类产品,请先查证核实企业经营资质和医疗器械产品注册证情况。
- 作者
- 内容
- 询问日期
文献和实验Nature 重磅:林圣彩院士团队七年攻坚!首次破解「神药」二甲双胍作用靶点之谜
2 与 v-ATPase 结合并抑制它的。通过质谱分析 PEN2 与溶酶体蛋白提取物孵育后的免疫沉淀。结果共检测到 1881 个蛋白质,其中 889 个蛋白质在二甲双胍处理后发生了改变。在这 889 种蛋白质中,有 123 种是定位于溶酶体的蛋白质。 在这 123 个候选基因中,他们通过细胞和体外的免疫共沉淀试验来验证了 v-ATPase 的辅助因子 ATP6AP1 以二甲双胍依赖的方式介导 PEN2 与 v-ATPase 的相互作用。此外,PEN2 与 ATP6AP1 结合位点的突变,也会削弱
以下检测方法:1、线粒体功能2、DNA Cycle3、Caspases4、Annexin V Assay5、DNA Fragmentation Assays基本上涵盖了细胞凋亡的各个期,对各种检测方法的原理和特点做一个简单介绍。线粒体功能检测的试剂盒有深圳达科为公司代理的试剂盒(产品编号为BVK250)和BD公司出售的盒Apo-Alert试剂盒。其检测主要采用阳离子型荧光染料。原理是:正常细胞中,染料可以在线粒体内聚集,发出明亮的红色荧光;而细胞凋亡后,其线粒体膜电位发生改变,染料无法进入线粒体,只能
的耐光性和良好的荧光量子产量著称。因此很多Alexa Fluor® 染料具有罗丹明核心结构,但是,传统罗丹明的化学结构很难从长波长的荧光染料延伸至远红外区域甚至是更具挑战性的近红外区域,而且生物偶联后其水溶性并不理想。Biotium 科学家发现从绿色到近红外多色荧光的罗丹明染料的新型化学方法。该方法被有效的应用于CF染料的产品中,尤其是远红外CF染料,而且通过这种方法制备的染料不仅水溶性极佳而且耐光性极好。图1. CF系列染料的稳定性,图示为CF633在5min中仍然具有稳定的荧光强度;而AF647
技术资料暂无技术资料 索取技术资料







