相关产品推荐更多 >
万千商家帮你免费找货
0 人在求购买到急需产品
- 详细信息
- 文献和实验
- 技术资料
- 保存条件:
2-8度冷藏
- 保质期:
2年
- 英文名:
Beijing Asnail Biotechnology Co., Ltd
- 库存:
大量
- 供应商:
北京阿斯雷尔生物技术有限公司
- CAS号:
136098-07-2
- 规格:
1.0mg
货号: H1008
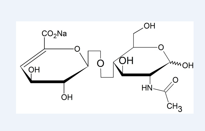
中文名称: 肝素不饱和二糖IV-A,钠盐
英文名称: Heparin disaccharide IV-A, sodium salt
分子式: C14H20NNaO11
分子量: 401.3
CAS登记号: 136098-07-2
附加描述: 肝素二糖IV-A是由硫酸乙酰肝素经肝素酶III降解后产生的不饱和二糖,可作为HPLC法肝素结构解析的对照品,或进行化学修饰。
【肝素二糖IV-A的订购信息】
包装规格: 1.0 mg
不同包装规格请咨询北京阿斯雷尔生物技术有限公司。
【关于肝素二糖和肝素酶】
肝素二糖是以肝素或硫酸乙酰肝素为起始材料,经肝素酶降解后分离纯化得到的。
肝素二糖和肝素酶是对肝素和低分子肝素进行结构表征的重要工具,其常见用途包括:二糖谱,1,6-成环率测试。
【关于Asnail和阿斯雷尔】
Asnail是阿斯雷尔旗下品牌,其产品线包括肝素酶、发色底物、凝血因子和寡糖对照品等。
北京阿斯雷尔生物技术有限公司成立于2017年,公司业务范围包括实验室仪器耗材、动物血制品研发生产和诊断试剂行业产品开发。
实验室仪器耗材方向,针对生物技术及制药产业,血栓与止血产业和汽车高分子材料产业三个产品方向,阿斯雷尔筛选出对应的仪器设备、试剂耗材的组合。
风险提示:丁香通仅作为第三方平台,为商家信息发布提供平台空间。用户咨询产品时请注意保护个人信息及财产安全,合理判断,谨慎选购商品,商家和用户对交易行为负责。对于医疗器械类产品,请先查证核实企业经营资质和医疗器械产品注册证情况。
文献和实验Overexpression and Purification of Bacterial Topoisomerase IV
Escherichia coli topoisomerase IV (topo IV) was discovered by Kato et al. (1 ), who showed that the predicted open reading frames from the parC and parE genes encoded proteins with a high degree of amino acid similarity to gyrA and gyrB
小鼠IV型胶原(Collagen IV)ELISA试剂盒 说明书
上海西唐生物科技有限公司 021-55229872, 65333639 www.westang.com 小鼠IV 型胶原 ( Collagen IV )ELISA 试剂盒 ( 用于血清、血浆、细胞培养上清液和其它生物体液内 ) 原理 本实验采用双抗体夹心 ABC-ELISA 法。用抗小鼠 Collagen IV 单抗包被于酶标板上,标准品和样品中的
大鼠IV型胶原(Collagen IV)ELISA试剂盒 说明书
上海西唐生物科技有限公司 021-55229872, 65333639 www.westang.com 大鼠 IV 型胶原 (Collagen IV)ELISA 试剂盒 ( 用于血清、血浆、细胞培养上清液和其它生物体液内 ) 原理 本实验采用双抗体夹心 ABC-ELISA 法。用抗大鼠 Collagen IV 单抗包被于酶标板上,标准品和样品中的 Collagen IV 与单抗结合,加入
技术资料暂无技术资料 索取技术资料







