相关产品推荐更多 >
万千商家帮你免费找货
0 人在求购买到急需产品
- 详细信息
- 技术资料
- 库存:
52
- 英文名:
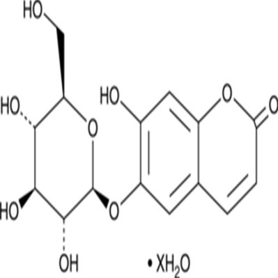
Esculin (hydrate)
- 供应商:
上海莼试
- 保存条件:
Store at -20°C
- 规格:
5 g 10 g 25 g 50 g
使用方法:
1.本蛋白酶抑制剂混合物为100×的储存液,使用时按照1:100的比例加入到裂解液中(例如,1ml裂解液中加入10μl蛋白酶抑制剂混合物),混匀后即可使用。根据需要,0.5M的EDTA也按照1:100的比例加入到裂解液中(如用于检测金属蛋白酶活性,则不宜添加EDTA)。含有蛋白酶抑制剂混合物的裂解液宜现用现配,不宜配制后冻存待后续使用。
2. 待所需的抑制剂添加完毕混匀后,就可以开始进行哺乳动物组织的裂解和蛋白提取。
商品属性:
产品描述:
分子式:C15H16O9.XH2O

分子量:340.3
溶解度:DMF: 25 mg/ml,DMSO: 16 mg/ml,Ethanol: 3 mg/ml,PBS (pH 7.2): 5 mg/ml
储存条件:Store at -20°C
General tips:For obtaining a higher solubility , please warm the tube at 37 ℃ and shake it in the ultrasonic bath for a while.
Shipping Condition:Evaluation sample solution : ship with blue ice All other available size: ship with RT , or blue ice upon request
Esculin is a coumarin that has been found in A. hippocastanum and has antioxidant and anti-inflammatory activities.1,2 It reduces the size of gastric ulcers and decreases increases in the levels of malondialdehyde (MDA) and the activity of myeloperoxidase (MPO) and catalase in a mouse model of ethanol-induced ulcers when used at a dose of 25 mg/kg.1 Esculin (20 mg/kg) decreases LPS-induced increases in the levels of TLR4, MyD88, IRAK4, and phosphorylated NF-?B in the lung, as well as levels of IL-1β, IL-6, and TNF-α in the bronchoalveolar lavage fluid (BALF) in a mouse model of acute lung injury.
注意事项:
抗逆滴加序列
每次向板内滴加抗原时,移液器滴头要与平面45度悬空,不要触碰到孔内的液体,由后向前依次滴加(即浓度由低往高滴加)。
抗感染反应期
抗原抗体在室温20~25℃下,必须反应30min以上,若环境温度低于室温,可将微量反应板置于恒温培养箱中,使二者充分反应。
旅游温度
磷酸盐缓冲液的pH值要在高压灭菌后进行滴定,往往在高压后pH值会有所改变,所以高压后再调一次pH值更为准确。磷酸盐缓冲液一经使用保存期不要超过3周。当pH<5.8时,红细胞会产生自凝现象;当pH>7.8时,图形洗脱加快,易造成肉眼观察产生误差;p H=7.2时,红细胞沉降最充分,图形最清晰。
当滴注 1%红细胞悬液时,应经常摇晃红细胞悬液,使红细胞均匀地分布在磷酸缓冲液中,以防止红细胞下降。
反应时间及温度
加入鸡红血球之后,反应板在室温(20~25℃)静置30~40min,对照孔血球下沉于孔底,即可判定结果。若室温达不到实验要求,需相应调整反应时间。当环境温度低于4℃时,红细胞发生自凝;高于37℃时,会发生反应物分离和红细胞溶血。
公司正在出售的产品:
1.本蛋白酶抑制剂混合物为100×的储存液,使用时按照1:100的比例加入到裂解液中(例如,1ml裂解液中加入10μl蛋白酶抑制剂混合物),混匀后即可使用。根据需要,0.5M的EDTA也按照1:100的比例加入到裂解液中(如用于检测金属蛋白酶活性,则不宜添加EDTA)。含有蛋白酶抑制剂混合物的裂解液宜现用现配,不宜配制后冻存待后续使用。
2. 待所需的抑制剂添加完毕混匀后,就可以开始进行哺乳动物组织的裂解和蛋白提取。
商品属性:
| 货号 | CS-01Y68033 | 规格 | 5 g 10 g 25 g 50 g |
| CAS号 | N/A | 分子量 | 340.3 |
| 含量 | >98.00% | 别名 | N/A |
| 分子式 | C15H16O9.XH2O | 化学名 | N/A |
| 产地 | 国产 | 用途 | 仅供科研研究实验 |
分子式:C15H16O9.XH2O

分子量:340.3
溶解度:DMF: 25 mg/ml,DMSO: 16 mg/ml,Ethanol: 3 mg/ml,PBS (pH 7.2): 5 mg/ml
储存条件:Store at -20°C
General tips:For obtaining a higher solubility , please warm the tube at 37 ℃ and shake it in the ultrasonic bath for a while.
Shipping Condition:Evaluation sample solution : ship with blue ice All other available size: ship with RT , or blue ice upon request
Esculin is a coumarin that has been found in A. hippocastanum and has antioxidant and anti-inflammatory activities.1,2 It reduces the size of gastric ulcers and decreases increases in the levels of malondialdehyde (MDA) and the activity of myeloperoxidase (MPO) and catalase in a mouse model of ethanol-induced ulcers when used at a dose of 25 mg/kg.1 Esculin (20 mg/kg) decreases LPS-induced increases in the levels of TLR4, MyD88, IRAK4, and phosphorylated NF-?B in the lung, as well as levels of IL-1β, IL-6, and TNF-α in the bronchoalveolar lavage fluid (BALF) in a mouse model of acute lung injury.
注意事项:
抗逆滴加序列
每次向板内滴加抗原时,移液器滴头要与平面45度悬空,不要触碰到孔内的液体,由后向前依次滴加(即浓度由低往高滴加)。
抗感染反应期
抗原抗体在室温20~25℃下,必须反应30min以上,若环境温度低于室温,可将微量反应板置于恒温培养箱中,使二者充分反应。
旅游温度
磷酸盐缓冲液的pH值要在高压灭菌后进行滴定,往往在高压后pH值会有所改变,所以高压后再调一次pH值更为准确。磷酸盐缓冲液一经使用保存期不要超过3周。当pH<5.8时,红细胞会产生自凝现象;当pH>7.8时,图形洗脱加快,易造成肉眼观察产生误差;p H=7.2时,红细胞沉降最充分,图形最清晰。
当滴注 1%红细胞悬液时,应经常摇晃红细胞悬液,使红细胞均匀地分布在磷酸缓冲液中,以防止红细胞下降。
反应时间及温度
加入鸡红血球之后,反应板在室温(20~25℃)静置30~40min,对照孔血球下沉于孔底,即可判定结果。若室温达不到实验要求,需相应调整反应时间。当环境温度低于4℃时,红细胞发生自凝;高于37℃时,会发生反应物分离和红细胞溶血。
公司正在出售的产品:
| Recombnant Fall armyworm FRCE_020670 proten , N-H tag | HP90AB1 Antbody Blockng Peptde |
| Z DNA bndng proten Antbody Blockng Peptde | TEFF1 Antbody Blockng Peptde |
| GKP Antbody Blockng Peptde | NAALADL1 Antbody Blockng Peptde |
| FAM3B Antbody Blockng Peptde | NR4A2 Antbody Blockng Peptde |
| MACC1 Antbody Blockng Peptde | RREB1 Antbody Blockng Peptde |
| DDT3 Antbody Blockng Peptde | CRHR1 Antbody Blockng Peptde |
| LC22A7 Antbody Blockng Peptde | GL54D Antbody Blockng Peptde |
| LC36A1 Antbody Blockng Peptde | NOC2家族样蛋白封闭多肽 |
| DXDC1 Antbody Blockng Peptde | Recombnant AR-Cov-2 pke RBD proten (N501Y), H |
| CCDC37 Antbody Blockng Peptde | BAC4 Antbody Blockng Peptde |
| CK5 Antbody Blockng Peptde | PANXC Antbody Blockng Peptde |
| EBPL Antbody Blockng Peptde | VGLL3 Antbody Blockng Peptde |
| C19orf45 Antbody Blockng Peptde | Esculin (hydrate)TBC1D13 Antbody Blockng Peptde |
| NUDT15 Antbody Blockng Peptde | RNA polymerae CTD repeat YPTP (phopho 5) Antbody Blockng Peptde |
| NKX2-6 Antbody Blockng Peptde | LC47A1 Antbody Blockng Peptde |
风险提示:丁香通仅作为第三方平台,为商家信息发布提供平台空间。用户咨询产品时请注意保护个人信息及财产安全,合理判断,谨慎选购商品,商家和用户对交易行为负责。对于医疗器械类产品,请先查证核实企业经营资质和医疗器械产品注册证情况。
技术资料暂无技术资料 索取技术资料
Esculin (hydrate)
¥600 - 3200








