万千商家帮你免费找货
0 人在求购买到急需产品
- 详细信息
- 文献和实验
- 技术资料
- 库存:
49
- 英文名:
JKE-1716
- CAS号:
2421118-05-8
- 供应商:
上海莼试
- 保存条件:
Store at -20°C
- 规格:
1 mg 5 mg 10 mg 25 mg
使用方法:
1.本蛋白酶抑制剂混合物为100×的储存液,使用时按照1:100的比例加入到裂解液中(例如,1ml裂解液中加入10μl蛋白酶抑制剂混合物),混匀后即可使用。根据需要,0.5M的EDTA也按照1:100的比例加入到裂解液中(如用于检测金属蛋白酶活性,则不宜添加EDTA)。含有蛋白酶抑制剂混合物的裂解液宜现用现配,不宜配制后冻存待后续使用。
2. 待所需的抑制剂添加完毕混匀后,就可以开始进行哺乳动物组织的裂解和蛋白提取。
商品属性:
产品描述:
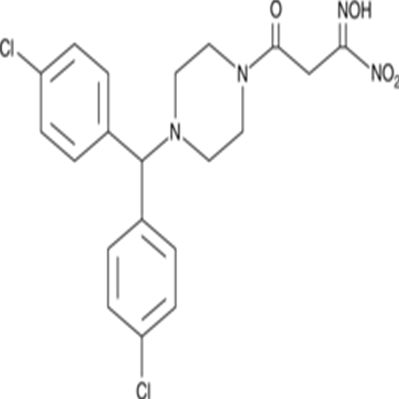
分子式:C20H20Cl2N4O4

分子量:451.3
溶解度:DMSO: soluble
储存条件:Store at -20°C
General tips:For obtaining a higher solubility , please warm the tube at 37 ℃ and shake it in the ultrasonic bath for a while.
Shipping Condition:Evaluation sample solution : ship with blue ice All other available size: ship with RT , or blue ice upon request
JKE-1716 is an inhibitor of glutathione peroxidase 4 (GPX4) and a derivative of the GPX4 inhibitor ML-210 .1 JKE-1716 reduces viability of LOX-IMVI cancer cells in a concentration-dependent manner and in a panel of additional cancer cell lines, an effect that can be blocked by the ferroptosis inhibitor ferrostatin-1 .1.Eaton, J.K., Furst, L., Ruberto, R.A., et al.Selective covalent targeting of GPX4 using masked nitrile-oxide electrophilesNat. Chem. Biol.16(5)497-506(2020)
注意事项:
抗逆滴加序列
每次向板内滴加抗原时,移液器滴头要与平面45度悬空,不要触碰到孔内的液体,由后向前依次滴加(即浓度由低往高滴加)。
抗感染反应期
抗原抗体在室温20~25℃下,必须反应30min以上,若环境温度低于室温,可将微量反应板置于恒温培养箱中,使二者充分反应。
旅游温度
磷酸盐缓冲液的pH值要在高压灭菌后进行滴定,往往在高压后pH值会有所改变,所以高压后再调一次pH值更为准确。磷酸盐缓冲液一经使用保存期不要超过3周。当pH<5.8时,红细胞会产生自凝现象;当pH>7.8时,图形洗脱加快,易造成肉眼观察产生误差;p H=7.2时,红细胞沉降最充分,图形最清晰。
当滴注 1%红细胞悬液时,应经常摇晃红细胞悬液,使红细胞均匀地分布在磷酸缓冲液中,以防止红细胞下降。
反应时间及温度
加入鸡红血球之后,反应板在室温(20~25℃)静置30~40min,对照孔血球下沉于孔底,即可判定结果。若室温达不到实验要求,需相应调整反应时间。当环境温度低于4℃时,红细胞发生自凝;高于37℃时,会发生反应物分离和红细胞溶血。
公司正在出售的产品:
1.本蛋白酶抑制剂混合物为100×的储存液,使用时按照1:100的比例加入到裂解液中(例如,1ml裂解液中加入10μl蛋白酶抑制剂混合物),混匀后即可使用。根据需要,0.5M的EDTA也按照1:100的比例加入到裂解液中(如用于检测金属蛋白酶活性,则不宜添加EDTA)。含有蛋白酶抑制剂混合物的裂解液宜现用现配,不宜配制后冻存待后续使用。
2. 待所需的抑制剂添加完毕混匀后,就可以开始进行哺乳动物组织的裂解和蛋白提取。
商品属性:
| 货号 | CS-01Y68603 | 规格 | 1 mg 5 mg 10 mg 25 mg |
| CAS号 | 2421118-05-8 | 分子量 | 451.3 |
| 含量 | >98.00% | 别名 | N/A |
| 分子式 | C20H20Cl2N4O4 | 化学名 | N/A |
| 产地 | 国产 | 用途 | 仅供科研研究实验 |
分子式:C20H20Cl2N4O4

分子量:451.3
溶解度:DMSO: soluble
储存条件:Store at -20°C
General tips:For obtaining a higher solubility , please warm the tube at 37 ℃ and shake it in the ultrasonic bath for a while.
Shipping Condition:Evaluation sample solution : ship with blue ice All other available size: ship with RT , or blue ice upon request
JKE-1716 is an inhibitor of glutathione peroxidase 4 (GPX4) and a derivative of the GPX4 inhibitor ML-210 .1 JKE-1716 reduces viability of LOX-IMVI cancer cells in a concentration-dependent manner and in a panel of additional cancer cell lines, an effect that can be blocked by the ferroptosis inhibitor ferrostatin-1 .1.Eaton, J.K., Furst, L., Ruberto, R.A., et al.Selective covalent targeting of GPX4 using masked nitrile-oxide electrophilesNat. Chem. Biol.16(5)497-506(2020)
注意事项:
抗逆滴加序列
每次向板内滴加抗原时,移液器滴头要与平面45度悬空,不要触碰到孔内的液体,由后向前依次滴加(即浓度由低往高滴加)。
抗感染反应期
抗原抗体在室温20~25℃下,必须反应30min以上,若环境温度低于室温,可将微量反应板置于恒温培养箱中,使二者充分反应。
旅游温度
磷酸盐缓冲液的pH值要在高压灭菌后进行滴定,往往在高压后pH值会有所改变,所以高压后再调一次pH值更为准确。磷酸盐缓冲液一经使用保存期不要超过3周。当pH<5.8时,红细胞会产生自凝现象;当pH>7.8时,图形洗脱加快,易造成肉眼观察产生误差;p H=7.2时,红细胞沉降最充分,图形最清晰。
当滴注 1%红细胞悬液时,应经常摇晃红细胞悬液,使红细胞均匀地分布在磷酸缓冲液中,以防止红细胞下降。
反应时间及温度
加入鸡红血球之后,反应板在室温(20~25℃)静置30~40min,对照孔血球下沉于孔底,即可判定结果。若室温达不到实验要求,需相应调整反应时间。当环境温度低于4℃时,红细胞发生自凝;高于37℃时,会发生反应物分离和红细胞溶血。
公司正在出售的产品:
| Recombnant Human UMF1 proten | VAP Antbody Blockng Peptde |
| ZNF837 Antbody Blockng Peptde | 细胞色素C氧化酶蛋白6A1封闭多肽 |
| C1orf129 Antbody Blockng Peptde | 轴突蛋白2封闭多肽 |
| phopho-MYL9 (Thr19 + er20) Antbody Blockng Peptde | Rap2A封闭多肽 |
| UMF1 Antbody Blockng Peptde | 重组人核突触蛋白 |
| Cytokeratn 13 Antbody Blockng Peptde | CTB蛋白封闭多肽 |
| MYH Antbody Blockng Peptde | 重组人腺苷受体A3蛋白 |
| C3orf18 Antbody Blockng Peptde | FM样酪氨酸激酶3封闭多肽+O15197 |
| KCNA2B Antbody Blockng Peptde | 肿瘤抑制基因PTEN封闭多肽 |
| GTT2 Antbody Blockng Peptde | 精子顶端体相关蛋白7封闭多肽 |
| C-Met/Met/HGFR Antbody Blockng Peptde | 防御素β-118/β-defenn 118封闭多肽 |
| DLX4 Antbody Blockng Peptde | 富含亮氨酸重复蛋白6封闭多肽 |
| LYVE-1 Antbody Blockng Peptde | JKE-1716趋化素样因子超家族成员2封闭多肽 |
| CCDC82 Antbody Blockng Peptde | 3号染色体开放阅读框70封闭多肽 |
| 磷酸化肿瘤抑制基因P53封闭多肽 | 中性胆固醇酯水解酶1封闭多肽 |
风险提示:丁香通仅作为第三方平台,为商家信息发布提供平台空间。用户咨询产品时请注意保护个人信息及财产安全,合理判断,谨慎选购商品,商家和用户对交易行为负责。对于医疗器械类产品,请先查证核实企业经营资质和医疗器械产品注册证情况。
文献和实验相关实验
of Environmental Sciences,2012, 24(9): 1709-1716.
分类群的基本单位之一。因为在分类学上,群的基本标准是种,而在命名法上,根据双名法的规定属是基本标准,所以种名是受属名的制约。J.p.To-urnefort(1716)首先确定分类学上的概念,而林奈(C.von Linné, 1737)亦由此而把重点放在形态上,即将类似的种集合成群。如樱、松、槭等植物一般的差别大体上多与属相当;而蚊、狐、鹿等动物则跨数属的也不少。近年来对一向含有多数种的属,因若干性状的不同而有划为多个属的倾向。例如,蓼属(Polygonum)被划
向日葵 向日葵 (Helianthus annuus) 菊科向日葵属的1种。原产北美,1716年后欧洲栽培作油料作物。中国栽培向日葵已有近400年的历史。高大、粗壮的一年生草本,叶大型,互生,卵形或卵圆形,头状花序极大,花盘直径10~30厘米,单生茎端,下垂,边花为舌状花,黄色,无性,不结实,中央盘花两性、管状,棕色或紫色,结实。瘦果倒卵形或卵状长圆形。果皮坚硬。食用或油用向日葵即一般所称的向日葵与野生的向日葵(H.annuussilvestris)及观赏
技术资料暂无技术资料 索取技术资料
JKE-1716
¥600 - 3200









