相关产品推荐更多 >
万千商家帮你免费找货
0 人在求购买到急需产品
- 详细信息
- 文献和实验
- 技术资料
- 库存:
55
- 英文名:
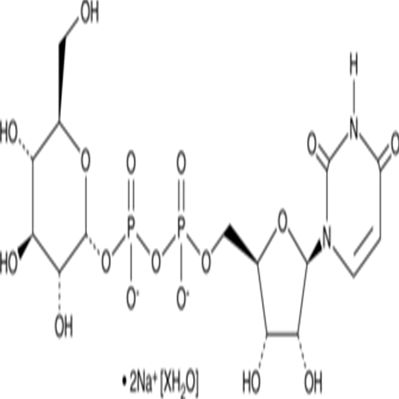
UDP-α-D-Glucose (sodium salt hydrate)
- 供应商:
上海莼试
- 保存条件:
-20°C
- 规格:
100 mg 1 g
分子式:C15H22N2O17P2·2Na [XH2O]

分子量:610.3
溶解度:PBS (pH 7.2): 10 mg/ml
储存条件:-20°C
General tips:For obtaining a higher solubility , please warm the tube at 37 ℃ and shake it in the ultrasonic bath for a while.
Shipping Condition:Evaluation sample solution : ship with blue ice All other available size: ship with RT , or blue ice upon request
UDP-α-D-Glucose is an endogenous nucleotide sugar involved in glycosyltransferase reactions in metabolism. It has been shown to bind the P2Y14 receptor (EC50 = 0.35 μM), an atypical P2Y receptor involved in the activation of dendritic cells and glial cells.1 It can also bind to and activate GPR17, inducing oligodendrocyte differentiation at a maximal concentration of 100 μM.21.Jacobson, K.A., Ivanov, A.A., de Castro, S., et al.Development of selective agonists and antagonists of P2Y receptorsPurinergic Signal.5(1)75-89(2009) 2.Lecca, D., Trincavelli, M.L., Gelosa, P., et al.The recently identified P2Y-like receptor GPR17 is a sensor of brain damage and a new target for brain repairPLoS One3(10)(2008)
商品属性:
| 货号 | CS-01Y68423 | 规格 | 100 mg 1 g |
| CAS号 | N/A | 分子量 | 610.3 |
| 含量 | >98.00% | 别名 | N/A |
| 分子式 | C15H22N2O17P2·2Na [XH2O] | 化学名 | N/A |
| 产地 | 国产 | 用途 | 仅供科研研究实验 |
抗逆滴加序列
每次向板内滴加抗原时,移液器滴头要与平面45度悬空,不要触碰到孔内的液体,由后向前依次滴加(即浓度由低往高滴加)。
抗感染反应期
抗原抗体在室温20~25℃下,必须反应30min以上,若环境温度低于室温,可将微量反应板置于恒温培养箱中,使二者充分反应。
旅游温度
磷酸盐缓冲液的pH值要在高压灭菌后进行滴定,往往在高压后pH值会有所改变,所以高压后再调一次pH值更为准确。磷酸盐缓冲液一经使用保存期不要超过3周。当pH<5.8时,红细胞会产生自凝现象;当pH>7.8时,图形洗脱加快,易造成肉眼观察产生误差;p H=7.2时,红细胞沉降最充分,图形最清晰。
当滴注 1%红细胞悬液时,应经常摇晃红细胞悬液,使红细胞均匀地分布在磷酸缓冲液中,以防止红细胞下降。
反应时间及温度
加入鸡红血球之后,反应板在室温(20~25℃)静置30~40min,对照孔血球下沉于孔底,即可判定结果。若室温达不到实验要求,需相应调整反应时间。当环境温度低于4℃时,红细胞发生自凝;高于37℃时,会发生反应物分离和红细胞溶血。
公司正在出售的产品:
| Recombnant Human CEACAM7, N-H | Recombnant human L-17A proten (Actve, HEK293) |
| VEGF-C Antbody Blockng Peptde | 性发育转录因子蛋白DMO封闭多肽 |
| phopho-MNK1 (Thr250) Antbody Blockng Peptde | RA互动/干扰蛋白1封闭多肽 |
| KNG1 Antbody Blockng Peptde | 急性髓细胞白血病1蛋白封闭多肽 |
| CDH11 Antbody Blockng Peptde | 胚胎干细胞关键蛋白2封闭多肽 |
| HC82 Antbody Blockng Peptde | 双同源框蛋白4封闭多肽 |
| Collagen Antbody Blockng Peptde | 扭转原肠胚形成同源蛋白1封闭多肽 |
| EndoG Antbody Blockng Peptde | 磷酸泛酰半胱氨酸合成酶封闭多肽 |
| phopho-R2 (er731) Antbody Blockng Peptde | 细胞色素B还原酶1封闭多肽 |
| MMP2 Antbody Blockng Peptde | 唾液酸结合性免疫球蛋白样凝集素5封闭多肽 |
| YNPR Antbody Blockng Peptde | 胞浆型磷脂酶A2封闭多肽 |
| DRC1 Antbody Blockng Peptde | FAM155A蛋白封闭多肽 |
| Recombnant human Meotheln, N-H | UDP-α-D-Glucose (sodium salt hydrate)锌指蛋白783封闭多肽 |
| Recombnant human RBP4 proten, H (HEK293) | LEPREL1蛋白封闭多肽 |
| 8号染色体开放阅读框K29封闭多肽 | 成蛋白相关蛋白1封闭多肽 |
1.本蛋白酶抑制剂混合物为100×的储存液,使用时按照1:100的比例加入到裂解液中(例如,1ml裂解液中加入10μl蛋白酶抑制剂混合物),混匀后即可使用。根据需要,0.5M的EDTA也按照1:100的比例加入到裂解液中(如用于检测金属蛋白酶活性,则不宜添加EDTA)。含有蛋白酶抑制剂混合物的裂解液宜现用现配,不宜配制后冻存待后续使用。
2. 待所需的抑制剂添加完毕混匀后,就可以开始进行哺乳动物组织的裂解和蛋白提取。
风险提示:丁香通仅作为第三方平台,为商家信息发布提供平台空间。用户咨询产品时请注意保护个人信息及财产安全,合理判断,谨慎选购商品,商家和用户对交易行为负责。对于医疗器械类产品,请先查证核实企业经营资质和医疗器械产品注册证情况。
文献和实验Measurement of Cell Membrane Toxicity by Means of 2-Deoxy-D-Glucose
The membrane theory of toxicity (1 ) emanates from the fact that the plasma membrane is the first barrier met by a toxic agent on reaching the cell, and was first advanced to explain the toxic effects of heavy metals. The vital regulatory
Sodium (23 Na) imaging has a place somewhere between 1 H-MRI and MR spectroscopy (MRS). Like MRS it potentially provides information on metabolic processes, but only one single resonance of ionic 23 Na is observed. Therefore pulse sequences
Na。原子量 23。所有植物都含有钠,但对茎叶植物来说恐不是不可缺少的。钠对包括甜菜在内的若干盐生植物的生长,以及对适应高盐环境的蓝藻类的生长都具有促进作用。尤其是对鱼腥藻( Anabaena)是不可缺少的,在缺乏钾时钠可以部分地代替钾的作用。对许多动物来说,钠是维持体液渗透压不可缺少的成分,具有增加活细胞透性的作用。另外,对哺乳类来说,钠对血量的维持、体液的贮存、以及皮肤和肾脏的排泄都有夫系,这种钠的代谢是受副肾皮质激素(盐皮质激素)的调节。钠是脊椎动物血浆组成中的主要阳离子,在人体
技术资料暂无技术资料 索取技术资料








