相关产品推荐更多 >
万千商家帮你免费找货
0 人在求购买到急需产品
- 详细信息
- 文献和实验
- 技术资料
- 库存:
55
- 英文名:
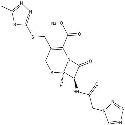
Cefazolin (sodium salt)
- CAS号:
27164-46-1
- 供应商:
上海莼试
- 保存条件:
4°C, protect from light
- 规格:
10mM (in 1mL DMSO) 250mg 500mg 1g
1.本蛋白酶抑制剂混合物为100×的储存液,使用时按照1:100的比例加入到裂解液中(例如,1ml裂解液中加入10μl蛋白酶抑制剂混合物),混匀后即可使用。根据需要,0.5M的EDTA也按照1:100的比例加入到裂解液中(如用于检测金属蛋白酶活性,则不宜添加EDTA)。含有蛋白酶抑制剂混合物的裂解液宜现用现配,不宜配制后冻存待后续使用。
2. 待所需的抑制剂添加完毕混匀后,就可以开始进行哺乳动物组织的裂解和蛋白提取。
商品属性:
| 货号 | CS-01Y72054 | 规格 | 10mM (in 1mL DMSO) 250mg 500mg 1g |
| CAS号 | 27164-46-1 | 分子量 | 476.5 |
| 含量 | >98.00% | 别名 | Ancef ,Biazolina,Elzogram,Gramaxin,Kefzolan,Kezolin,NSC 291561,SKF 41558 |
| 分子式 | C14H13N8O4S3 Na | 化学名 | (6R)-3-[[(5-methyl-1,3,4-thiadiazol-2-yl)thio]methyl]-8-oxo-7R-[[2-(1H-tetrazol-1-yl)acetyl]amino]-5-thia-1-azabicyclo[4.2.0]oct-2-ene-2-carboxylic acid, monosodium salt |
| 产地 | 国产 | 用途 | 仅供科研研究实验 |
分子式:C14H13N8O4S3 Na

分子量:476.5
溶解度:≥ 25.5mg/mL in DMSO
储存条件:4°C, protect from light
General tips:For obtaining a higher solubility , please warm the tube at 37 ℃ and shake it in the ultrasonic bath for a while.
Shipping Condition:Evaluation sample solution : ship with blue ice All other available size: ship with RT , or blue ice upon request
Cefazolin is a semisynthetic antibiotic with a broad spectrum of antibacterial activity. Cefazolin has exhibited high activity against Gram-positive bacteria and Gram-negative bacteria [1].In vitro: In cultured MG-63 human osteosarcoma cell line, cefazolin (100 μg/ml) showed little or no effect on osteoblast replication. Cefazolin (200μg/ml) significantly decreased cell replication, and 10,000 μg/ml caused cell death [2].In vivo: In patients with normal and various degrees of compromised renal function, administration of cefazolin significantly decreased the urinary concentration and percentage of the dose excreted in the urine [3]. The half-life of cefazolin in serum of normal persons was 1.9 hr and as long as 35 hr in severely uremic patients. In uremic patients, cefazolin was well tolerated [4].
注意事项:
抗逆滴加序列
每次向板内滴加抗原时,移液器滴头要与平面45度悬空,不要触碰到孔内的液体,由后向前依次滴加(即浓度由低往高滴加)。
抗感染反应期
抗原抗体在室温20~25℃下,必须反应30min以上,若环境温度低于室温,可将微量反应板置于恒温培养箱中,使二者充分反应。
旅游温度
磷酸盐缓冲液的pH值要在高压灭菌后进行滴定,往往在高压后pH值会有所改变,所以高压后再调一次pH值更为准确。磷酸盐缓冲液一经使用保存期不要超过3周。当pH<5.8时,红细胞会产生自凝现象;当pH>7.8时,图形洗脱加快,易造成肉眼观察产生误差;p H=7.2时,红细胞沉降最充分,图形最清晰。
当滴注 1%红细胞悬液时,应经常摇晃红细胞悬液,使红细胞均匀地分布在磷酸缓冲液中,以防止红细胞下降。
反应时间及温度
加入鸡红血球之后,反应板在室温(20~25℃)静置30~40min,对照孔血球下沉于孔底,即可判定结果。若室温达不到实验要求,需相应调整反应时间。当环境温度低于4℃时,红细胞发生自凝;高于37℃时,会发生反应物分离和红细胞溶血。
公司正在出售的产品:
| Dopropidil | D-Ribonolactone |
| Butyrylcarnitine | CCK ELISA Kit |
| Inosine | GLP-1 ELISA Kit |
| Guggulsterone | 人心肌转录因子GATA4 ELISA Kit |
| Geldanamycin | IP-10/CXCL10 ELISA Kit |
| L-Uridine | TFPI ELISA Kit |
| DL-Dopa | Aβ1-40 ELISA Kit |
| AUY922 (NVP-AUY922) | 人L选择素(L-Selectin/CD62L)试剂盒 ELISA |
| Hesperitin | BGP/Gehrelin ELISA Kit |
| Fluorouracil (Adrucil) | sFAS/Apo-1 ELISA Kit |
| Edoxaban impurity 6 | ADH/VP/AVP ELISA Kit |
| Dulcite (Dulcitol) | ANA ELISA Kit |
| Leupeptin, Microbial | Cefazolin (sodium salt)IFNα-Ab ELISA Kit |
| FR 180204 | Sc1-70-Ab ELISA Kit |
| CSF ELISA Kit | Jo1/HRS ELISA Kit |
风险提示:丁香通仅作为第三方平台,为商家信息发布提供平台空间。用户咨询产品时请注意保护个人信息及财产安全,合理判断,谨慎选购商品,商家和用户对交易行为负责。对于医疗器械类产品,请先查证核实企业经营资质和医疗器械产品注册证情况。
文献和实验Sodium (23 Na) imaging has a place somewhere between 1 H-MRI and MR spectroscopy (MRS). Like MRS it potentially provides information on metabolic processes, but only one single resonance of ionic 23 Na is observed. Therefore pulse sequences
Na。原子量 23。所有植物都含有钠,但对茎叶植物来说恐不是不可缺少的。钠对包括甜菜在内的若干盐生植物的生长,以及对适应高盐环境的蓝藻类的生长都具有促进作用。尤其是对鱼腥藻( Anabaena)是不可缺少的,在缺乏钾时钠可以部分地代替钾的作用。对许多动物来说,钠是维持体液渗透压不可缺少的成分,具有增加活细胞透性的作用。另外,对哺乳类来说,钠对血量的维持、体液的贮存、以及皮肤和肾脏的排泄都有夫系,这种钠的代谢是受副肾皮质激素(盐皮质激素)的调节。钠是脊椎动物血浆组成中的主要阳离子,在人体
The synthetic pentasaccharide Arixtra or Fondaparinux is an indirect anti-Xa that effectively inhibits thrombin generation via its binding to anti-thrombin, the co-factor for Xa. A well-executed and designed clinical development
技术资料暂无技术资料 索取技术资料









