万千商家帮你免费找货
0 人在求购买到急需产品
- 详细信息
- 文献和实验
- 技术资料
- 库存:
47
- 英文名:
Bilaid C
- CAS号:
2393866-13-0
- 供应商:
上海莼试
- 保存条件:
Store at -20°C
- 规格:
1 mg 5 mg
产品描述:
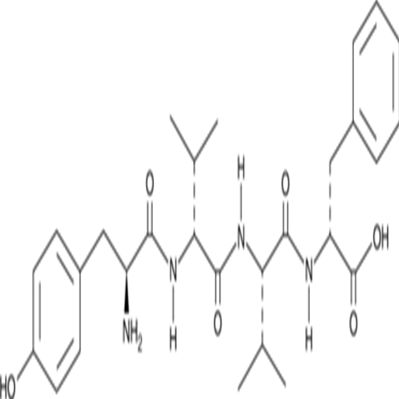
分子式:C28H38N4O6
分子量:526.6
溶解度:
储存条件:Store at -20°C
General tips:For obtaining a higher solubility , please warm the tube at 37 ℃ and shake it in the ultrasonic bath for a while.
Shipping Condition:Evaluation sample solution : ship with blue ice All other available size: ship with RT , or blue ice upon request
Bilaid C is a tetrapeptide μ-opioid receptor agonist (Ki = 210 nM in HEK293 cell membranes expressing the human receptor) that has been found in Penicillium.1 It inhibits forskolin-induced cAMP accumulation by 77% in HEK293 cells expressing the human μ-opioid receptor when used at a concentration of 10 μM. Bilaid C induces inward rectifying potassium channel (Kir) currents in rat locus coeruleus slices that endogenously express high levels of the μ-opioid receptor (EC50 = 4.2 μM).1.Dekan, Z., Sianati, S., Yousuf, A., et al.A tetrapeptide class of biased analgesics from an Australian fungus targets the μ-opioid receptorProc. Natl. Acad. Sci. USA116(44)22353-22358(2019)
商品属性:
注意事项:
抗逆滴加序列
每次向板内滴加抗原时,移液器滴头要与平面45度悬空,不要触碰到孔内的液体,由后向前依次滴加(即浓度由低往高滴加)。
抗感染反应期
抗原抗体在室温20~25℃下,必须反应30min以上,若环境温度低于室温,可将微量反应板置于恒温培养箱中,使二者充分反应。
旅游温度
磷酸盐缓冲液的pH值要在高压灭菌后进行滴定,往往在高压后pH值会有所改变,所以高压后再调一次pH值更为准确。磷酸盐缓冲液一经使用保存期不要超过3周。当pH<5.8时,红细胞会产生自凝现象;当pH>7.8时,图形洗脱加快,易造成肉眼观察产生误差;p H=7.2时,红细胞沉降最充分,图形最清晰。
当滴注 1%红细胞悬液时,应经常摇晃红细胞悬液,使红细胞均匀地分布在磷酸缓冲液中,以防止红细胞下降。
反应时间及温度
加入鸡红血球之后,反应板在室温(20~25℃)静置30~40min,对照孔血球下沉于孔底,即可判定结果。若室温达不到实验要求,需相应调整反应时间。当环境温度低于4℃时,红细胞发生自凝;高于37℃时,会发生反应物分离和红细胞溶血。
公司正在出售的产品:
使用方法:
1.本蛋白酶抑制剂混合物为100×的储存液,使用时按照1:100的比例加入到裂解液中(例如,1ml裂解液中加入10μl蛋白酶抑制剂混合物),混匀后即可使用。根据需要,0.5M的EDTA也按照1:100的比例加入到裂解液中(如用于检测金属蛋白酶活性,则不宜添加EDTA)。含有蛋白酶抑制剂混合物的裂解液宜现用现配,不宜配制后冻存待后续使用。
2. 待所需的抑制剂添加完毕混匀后,就可以开始进行哺乳动物组织的裂解和蛋白提取。
分子式:C28H38N4O6
分子量:526.6
溶解度:
储存条件:Store at -20°C
General tips:For obtaining a higher solubility , please warm the tube at 37 ℃ and shake it in the ultrasonic bath for a while.
Shipping Condition:Evaluation sample solution : ship with blue ice All other available size: ship with RT , or blue ice upon request
Bilaid C is a tetrapeptide μ-opioid receptor agonist (Ki = 210 nM in HEK293 cell membranes expressing the human receptor) that has been found in Penicillium.1 It inhibits forskolin-induced cAMP accumulation by 77% in HEK293 cells expressing the human μ-opioid receptor when used at a concentration of 10 μM. Bilaid C induces inward rectifying potassium channel (Kir) currents in rat locus coeruleus slices that endogenously express high levels of the μ-opioid receptor (EC50 = 4.2 μM).1.Dekan, Z., Sianati, S., Yousuf, A., et al.A tetrapeptide class of biased analgesics from an Australian fungus targets the μ-opioid receptorProc. Natl. Acad. Sci. USA116(44)22353-22358(2019)
商品属性:
| 货号 | CS-01Y76017 | 规格 | 1 mg 5 mg |
| CAS号 | 2393866-13-0 | 分子量 | 526.6 |
| 含量 | >95.00% | 别名 | N/A |
| 分子式 | C28H38N4O6 | 化学名 | N/A |
| 产地 | 国产 | 用途 | 仅供科研研究实验 |
抗逆滴加序列
每次向板内滴加抗原时,移液器滴头要与平面45度悬空,不要触碰到孔内的液体,由后向前依次滴加(即浓度由低往高滴加)。
抗感染反应期
抗原抗体在室温20~25℃下,必须反应30min以上,若环境温度低于室温,可将微量反应板置于恒温培养箱中,使二者充分反应。
旅游温度
磷酸盐缓冲液的pH值要在高压灭菌后进行滴定,往往在高压后pH值会有所改变,所以高压后再调一次pH值更为准确。磷酸盐缓冲液一经使用保存期不要超过3周。当pH<5.8时,红细胞会产生自凝现象;当pH>7.8时,图形洗脱加快,易造成肉眼观察产生误差;p H=7.2时,红细胞沉降最充分,图形最清晰。
当滴注 1%红细胞悬液时,应经常摇晃红细胞悬液,使红细胞均匀地分布在磷酸缓冲液中,以防止红细胞下降。
反应时间及温度
加入鸡红血球之后,反应板在室温(20~25℃)静置30~40min,对照孔血球下沉于孔底,即可判定结果。若室温达不到实验要求,需相应调整反应时间。当环境温度低于4℃时,红细胞发生自凝;高于37℃时,会发生反应物分离和红细胞溶血。
公司正在出售的产品:
| RuBi-Glutamate | Cyclo(his-pro) TFA |
| Aloperine | P53(P53)检测试剂盒 |
| Chitosamine hydrochloride | 环磷酸鸟苷(cGMP)试剂盒elisa |
| Isoprenaline HCl | 诱导型一氧化合成酶(iNOS)检测试剂盒 |
| GOAT-IN-1 | 一氧化合成酶(NOS)检测试剂盒elisa |
| 5(S),15(S)-DiHETE | 内皮型一氧化合成酶(eNOS)试剂盒ELISA |
| Dabigatran ethyl ester | 脂蛋白磷脂酶A2(Lp-PL-A2)ELISA检测试剂盒 |
| H-Aib-OH | Coagulation Factor XIII B Polypeptide(F13B)ELISA Kit |
| MitoPBN | 抗IVIgG抗ELISA检测试剂盒 |
| beta-Nicotinamide adenine dinucleotide | 抗IgE受抗试剂盒ELISA |
| Arylquin 1 | 胰岛素原(PI)检测试剂盒 |
| 8-Hydroxyguanosine | 甲状腺过氧化物酶(TPO)检测试剂盒elisa |
| Firibastat | Bilaid CαL岩藻糖苷酶(AFU)试剂盒elisa |
| A939572 | P物质(SP)检测试剂盒 |
| γ氨基丁酸(GABA)检测试剂盒 | P物质受(SP-R)ELISA检测试剂盒 |
1.本蛋白酶抑制剂混合物为100×的储存液,使用时按照1:100的比例加入到裂解液中(例如,1ml裂解液中加入10μl蛋白酶抑制剂混合物),混匀后即可使用。根据需要,0.5M的EDTA也按照1:100的比例加入到裂解液中(如用于检测金属蛋白酶活性,则不宜添加EDTA)。含有蛋白酶抑制剂混合物的裂解液宜现用现配,不宜配制后冻存待后续使用。
2. 待所需的抑制剂添加完毕混匀后,就可以开始进行哺乳动物组织的裂解和蛋白提取。
风险提示:丁香通仅作为第三方平台,为商家信息发布提供平台空间。用户咨询产品时请注意保护个人信息及财产安全,合理判断,谨慎选购商品,商家和用户对交易行为负责。对于医疗器械类产品,请先查证核实企业经营资质和医疗器械产品注册证情况。
文献和实验相关实验
广义的细胞色素 c是含有血红素 c的细胞色素之总称。通常是指主要存在于高等动植物、酵母、霉菌等线粒体中的细胞色素 c,起着传递电子的作用。为分子量约 1.3万的碱性蛋白质,还原型的吸收带为 550、 520、 415毫微米,氧化型为 407毫微米。α 因此很早便被研究,并获得结晶。不仅一级结构而且立体结构也已清楚(图 1)。其结构基本上是生物界共有的。由细胞色素 c氧化酶〔细胞色素( a+ a3 )复合体〕氧化。在呼吸链中从细胞色素 c开始接受电子,各种还原酶都已清楚
也称为底土层,一般不受成土因子的影响,因而是一般不具有 A层和 B层特性的土壤层次,在 A层或 B层发达的土壤中,在这些层次之下存在有 C层。
主要显示着丝粒结构异染色质, 及其它区段的异染色质部分。标本可用酸 (HCl)及碱〔Ba(OH)2 〕变性处理, 再经2xSSC在60℃中温育1小时, 最后用Giemsa染料染色显带。
技术资料暂无技术资料 索取技术资料
Bilaid C
¥600 - 3200









